Article | REF: J1260 V1

Polymerization catalysis

Author: Thierry SENNINGER

Publication date: June 10, 1998 | Lire en français

You do not have access to this resource.
Click here to request your free trial access!

Already subscribed? Log in!

Automatically translated using artificial intelligence technology (Note that only the original version is binding) > find out more.

    A  |  A

    Overview

    Read this article from a comprehensive knowledge base, updated and supplemented with articles reviewed by scientific committees.

    Read the article

    AUTHOR

    • Thierry SENNINGER: Engineer from the École Nationale Supérieure des Industries Chimiques de Nancy (France) - Doctorate from Claude Bernard University (Lyon I) - Research Engineer at Groupement de Recherches de Lacq (Elf Group)

     INTRODUCTION

    The second half of the 20th century saw considerable progress in the chemistry and technology of plastic materials. A few figures suffice to convince us of this. In 1940, global plastics production stood at around one million tonnes; today, it's close to one hundred million tonnes! Initially conceived as substitutes for natural products, plastics have rapidly established themselves in many fields, to the detriment of other materials such as metals. One important reason for this breakthrough is the relatively low cost of the raw materials and energy required to manufacture and shape plastics, combined with new properties, the first of which is the favorable weight/performance ratio.

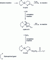
    Polymerization catalysis using transition metal complexes occupies a very important place among all synthesis methods, whether for mass-produced polymers (polyolefins) or specialty polymers (carbon monoxide-ethylene copolymers or polycycloolefins). Known since the 1950s, with the discovery of catalytic systems based on chromium (Phillips) or titanium (Ziegler), this type of catalysis has never ceased to evolve, leading to more productive, more selective processes and enriching the range of plastics with new products. The reason for this is undoubtedly the abundance and low cost of the raw materials used (olefins, carbon monoxide).

    Polyolefins account for a significant proportion of polymers produced by polymerization catalysis. In the late 1950s, catalytically produced polyolefins accounted for only a small share of thermoplastic materials. By 1960, this share had already risen to 20% worldwide! In a short space of time, the discovery of Ziegler catalysis had an enormous impact on the chemical industry, with polyolefins rapidly becoming widely available.

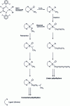
    In recent years, a further step has been taken with the arrival on the market of polymers obtained using new catalysts (metallocene catalysis, Shell's palladium catalysis). Some predict that these new products could eventually compete with conventional plastics such as ethylene-vinyl acetate (EVA) copolymers, polyamides and polycarbonates. Organometallic chemistry has made a considerable contribution to explaining and elucidating the mechanisms involved, and above all to synthesizing new, well-defined organometallic species.

    The aim of this article is to present the main polymerization catalysts involving transition metals and the polymer materials derived from them.

    Note :

    For more details on other general polymerization techniques, readers may refer to the specialized chapter in the Plastiques et Composites Treatise .

    You do not have access to this resource.

    Exclusive to subscribers. 97% yet to be discovered!

    You do not have access to this resource.
    Click here to request your free trial access!

    Already subscribed? Log in!


    The Ultimate Scientific and Technical Reference

    A Comprehensive Knowledge Base, with over 1,200 authors and 100 scientific advisors
    + More than 10,000 articles and 1,000 how-to sheets, over 800 new or updated articles every year
    From design to prototyping, right through to industrialization, the reference for securing the development of your industrial projects

    This article is included in

    Unit operations. Chemical reaction engineering

    This offer includes:

    Knowledge Base

    Updated and enriched with articles validated by our scientific committees

    Services

    A set of exclusive tools to complement the resources

    Practical Path

    Operational and didactic, to guarantee the acquisition of transversal skills

    Doc & Quiz

    Interactive articles with quizzes, for constructive reading

    Subscribe now!

    Ongoing reading
    Polymerization catalysis