Overview
Read this article from a comprehensive knowledge base, updated and supplemented with articles reviewed by scientific committees.
Read the articleAUTHOR
-
Joseph DAVIDOVITS: Professor - Geopolymer Institute, Saint-Quentin (Aisne), France
INTRODUCTION
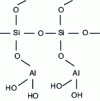
Geopolymers are the reciprocal of organic polymers. Instead of petroleum derivatives and the carbon chain, we use mineral matter composed of silica and alumina. This geosynthesis makes it possible to produce materials that can replace certain plastics, but they have no dangerous solvents, do not burn and do not give off toxic gases or fumes. Like a rock, they resist chemical attack and the erosion of time. Raw materials are mainly minerals of geological origin, hence the name "geopolymer". Geopolymers can be classified into two main groups: entirely inorganic geopolymers and geopolymers containing a certain amount of organic matter. In the early days of research, the information available was very limited. Most of it came from the mineralogy and crystallography of clays, particularly kaolinite. It was difficult to predict and understand the chemical reactivity and geopolymerization mechanism based on the geometric structural representation in the form of a tetrahedron, pentahedron or hexahedron, still commonly used in many publications. Hence the need to introduce writing that emphasizes chemical reaction groups, essentially based on analogy with the chemistry of polysilicones.
In this article, the geopolymer is essentially an inorganic chemical compound or a mixture of compounds consisting of units, for example silico-oxide (—Si—O—Si—O—), silico-aluminate (—Si—O—Al—O—), ferro-silico-aluminate (—Fe—O—Si—O—Al—O—) or alumino-phosphate (—Al—O—P—— O ), created by a geopolymerization process. It enables the manufacture of materials used in ceramic applications, high-tech fibrous composites for the automotive, aerospace and defense industries, organic solvent-free fire-resistant paints and adhesives, biomaterials for bone prostheses, and new environmentally-friendly cements with zero CO 2 greenhouse gas emissions. A new class of hybrid materials with organic and geopolymeric matrices enables the mechanical and physical properties of the geopolymer itself to be improved. The shortcoming of geopolymers is their ceramic character, i.e. their lack of elasticity. The incorporation of organics aims to improve this mechanical property.
There are two main synthesis routes:
in alkaline media (Na + , K + , Li + , Ca 2+ , Cs 2+ , etc.), often confused with the simple alkaline activation of cements;
in acid medium with phosphoric acid and humic acids.
The alkaline route is the most important in terms...
Exclusive to subscribers. 97% yet to be discovered!
You do not have access to this resource.
Click here to request your free trial access!
Already subscribed? Log in!
The Ultimate Scientific and Technical Reference
This article is included in
Functional materials - Bio-based materials
This offer includes:
Knowledge Base
Updated and enriched with articles validated by our scientific committees
Services
A set of exclusive tools to complement the resources
Practical Path
Operational and didactic, to guarantee the acquisition of transversal skills
Doc & Quiz
Interactive articles with quizzes, for constructive reading
Geopolymer chemistry. Introduction
Bibliography
Website
Geopolymer Institute http://www.geopolymer.org/
Event
GEOPOLYMER CAMP, takes place every year in Saint-Quentin (Aisne), 2nd week of July. http://www.geopolymer.org/camp
Patents
Selected from INPI's Espacenet database, Paris
Inorganic polymer, FR2464227
Synthetic inorganic polymer of the silicoaluminate family and process for its preparation EP0026687
Expanded mineral materials based on silico-aluminates of the K-Poly(Sialate) and/or (Na,K)-Poly(Sialate-siloxo) type FR2512805
Process for producing floor...
Directory
Laboratories – Design offices – Schools – Research centers (non-exhaustive list)
École supérieure physique et chimie industrielles, Physico-chemistry of Polymers and Dispersed Media http://www.ppmd.espci.fr
French Petroleum Institute http://www.ifp.fr
...Exclusive to subscribers. 97% yet to be discovered!
You do not have access to this resource.
Click here to request your free trial access!
Already subscribed? Log in!
The Ultimate Scientific and Technical Reference