Présentation

Article

1 - DOMAINES D’APPLICATIONS DE LA THERMOHYDRAULIQUE

2 - CARACTÉRISATION DE L’ÉTAT DU FLUIDE

3 - PERTES DE CHARGE

4 - TRANSFERT THERMIQUE

5 - SÛRETÉ DES REP

Archive | Réf : BN3050 v1

Pertes de charge
Thermohydraulique des réacteurs à eau sous pression

Auteur(s) : Christophe HERER, Daniel GALLORI

Date de publication : 10 avr. 2000

Pour explorer cet article
Télécharger l'extrait gratuit

Vous êtes déjà abonné ?Connectez-vous !

Sommaire

Présentation

RÉSUMÉ

La chaleur produite dans le cœur d’un réacteur nucléaire est transférée au fluide du circuit primaire. Dans les générateurs de vapeur, le circuit primaire échange cette chaleur en vaporisant l'eau du circuit secondaire. Il est nécessaire d’évacuer une certaine quantité d’énergie à l’extérieur. Ces exemples relèvent tous de phénomènes analysés par la thermohydraulique, à savoir l’hydraulique avec transfert de chaleur et possible changement de phase (condensation ou ébullition). Cet article traite des domaines d’application de la thermohydraulique. Les notions nécessaires pour le dimensionnement et pour les analyses de sûreté des réacteurs à eau sous pression sont explicitées.

Lire cet article issu d'une ressource documentaire complète, actualisée et validée par des comités scientifiques.

Lire l’article

Auteur(s)

  • Christophe HERER : Diplômé de l’Institut National Polytechnique de Toulouse - Ingénieur expert au département développement de la Division études-procédés de Framatome (Paris)

  • Daniel GALLORI : Diplômé de l’Université de Pise (Italie) - Ingénieur au département développement de la Division études-procédés de Framatome

INTRODUCTION

Dans le réacteur à eau sous pression (REP), l’énergie de fission se dégrade en chaleur transférée au fluide (l’eau) du circuit primaire. Dans les générateurs de vapeur, le circuit primaire échange cette chaleur en vaporisant l’eau du circuit secondaire, le travail de la vapeur entraînant ensuite la turbine. La thermohydraulique est l’étude du transfert de la chaleur couplée à l’hydraulique des écoulements. Par exemple, dans le cœur des réacteurs à eau sous pression où les éléments combustibles transfèrent la chaleur au fluide. La thermohydraulique s’intéresse donc à l’état du fluide, à son mode de circulation et aux échanges thermiques dans le réacteur, dans les situations normales d’exploitation, d’incidents et d’accidents y compris les plus graves afin que les critères de sûreté se trouvent respectés en toutes circonstances (cf. articles de la rubrique « Sûreté et protection » du traité).

Après une brève présentation des domaines d’application de la thermohydraulique, la deuxième partie de cet exposé décrit l’ensemble des étapes nécessaires pour parvenir à la connaissance du taux de présence des phases. Les conséquences sur l’écoulement de la coexistence de deux phases dans un écoulement de fluide sont exposées dans une troisième partie. En fonction de l’état du fluide et de sa vitesse, les caractéristiques des échanges thermiques sont précisées dans la quatrième partie. Enfin les aspects relatifs à la sûreté des réacteurs apparaissent dans la dernière partie.

Cet article est réservé aux abonnés.
Il vous reste 93% à découvrir.

Pour explorer cet article
Téléchargez l'extrait gratuit

Vous êtes déjà abonné ?Connectez-vous !


L'expertise technique et scientifique de référence

La plus importante ressource documentaire technique et scientifique en langue française, avec + de 1 200 auteurs et 100 conseillers scientifiques.
+ de 10 000 articles et 1 000 fiches pratiques opérationnelles, + de 800 articles nouveaux ou mis à jours chaque année.
De la conception au prototypage, jusqu'à l'industrialisation, la référence pour sécuriser le développement de vos projets industriels.

VERSIONS

Il existe d'autres versions de cet article :

DOI (Digital Object Identifier)

https://doi.org/10.51257/a-v1-bn3050


Cet article fait partie de l’offre

Génie nucléaire

(172 articles en ce moment)

Cette offre vous donne accès à :

Une base complète d’articles

Actualisée et enrichie d’articles validés par nos comités scientifiques

Des services

Un ensemble d'outils exclusifs en complément des ressources

Des modules pratiques

Opérationnels et didactiques, pour garantir l'acquisition des compétences transverses

Doc & Quiz

Des articles interactifs avec des quiz, pour une lecture constructive

ABONNEZ-VOUS

Lecture en cours
Présentation

3. Pertes de charge

3.1 Écoulements du fluide

HAUT DE PAGE

3.1.1 Régimes d’écoulement

Considérons un écoulement permanent, incompressible, adiabatique. Dans ces conditions, le champ de vitesse est à divergence nulle. La conservation de la quantité de mouvement s’écrit :

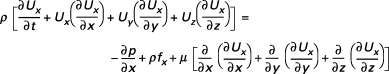
Le tenseur des contraintes représente la force s’exerçant à l’encontre du mouvement du fluide. La composante sur x s’écrit suivant la loi de Newton :

Avec la généralisation de la loi de Newton, on obtient en coordonnées cartésiennes pour la première composante (en x) :

qui représente la somme des forces appliquées au fluide :

  • le différentiel de pression qui met en mouvement le fluide ;

  • les forces extérieures volumiques (gravité en écoulement vertical) ;

  • la résistance à l’écoulement due à la viscosité dynamique.

En écoulement bidimensionnel permanent en conduite, le développement en coordonnées cylindriques de la composante axiale (Uz) dévient :

avec

Cependant, les équations des écoulements des fluides présentent un caractère non linéaire (terme de transport...

Cet article est réservé aux abonnés.
Il vous reste 94% à découvrir.

Pour explorer cet article
Téléchargez l'extrait gratuit

Vous êtes déjà abonné ?Connectez-vous !


L'expertise technique et scientifique de référence

La plus importante ressource documentaire technique et scientifique en langue française, avec + de 1 200 auteurs et 100 conseillers scientifiques.
+ de 10 000 articles et 1 000 fiches pratiques opérationnelles, + de 800 articles nouveaux ou mis à jours chaque année.
De la conception au prototypage, jusqu'à l'industrialisation, la référence pour sécuriser le développement de vos projets industriels.

Cet article fait partie de l’offre

Génie nucléaire

(172 articles en ce moment)

Cette offre vous donne accès à :

Une base complète d’articles

Actualisée et enrichie d’articles validés par nos comités scientifiques

Des services

Un ensemble d'outils exclusifs en complément des ressources

Des modules pratiques

Opérationnels et didactiques, pour garantir l'acquisition des compétences transverses

Doc & Quiz

Des articles interactifs avec des quiz, pour une lecture constructive

ABONNEZ-VOUS

Lecture en cours
Pertes de charge
Sommaire
Sommaire

BIBLIOGRAPHIE

  • (1) - MEYER (C.A.), al -   Steam Tables. Thermodynamic and Transport Properties of Steam  -  ASME Press 6th Ed. (1993). Cette référence contient les programmes Fortran des tables en unités anglaises sur disquette.

  • (2) - GARDLAND (W.J.), al -   Extensions to the Approximation Functions for the fast Calculation of Saturated water properties  -  . Nucl. Eng. Des. 136, 381 (1992).

  • (3) - BERGLES (A.E.), COLLIER (J.G.), DELHAYE (J.M.), HEWITT (G.F.), MAYINGER (F.) -   Two-Phase flow and heat transfer in the power and process industries  -  . McGraw Hill (1981).

  • (4) - THOM (J.R.S.) -   Prediction of pressure Drop during forced convection boiling of water  -  . Int. J. Heat Mass Transfer 7, 709-724 (1964).

  • (5) - WINTERTON (R.H.S.) -   Thermal design of Nuclear reactors  -  . Pergamon Press (1981).

  • (6) - MARTINELLI (R.C.), NELSON (D.B.) -   Prediction of pressure Drop...

Cet article est réservé aux abonnés.
Il vous reste 95% à découvrir.

Pour explorer cet article
Téléchargez l'extrait gratuit

Vous êtes déjà abonné ?Connectez-vous !


L'expertise technique et scientifique de référence

La plus importante ressource documentaire technique et scientifique en langue française, avec + de 1 200 auteurs et 100 conseillers scientifiques.
+ de 10 000 articles et 1 000 fiches pratiques opérationnelles, + de 800 articles nouveaux ou mis à jours chaque année.
De la conception au prototypage, jusqu'à l'industrialisation, la référence pour sécuriser le développement de vos projets industriels.

Cet article fait partie de l’offre

Génie nucléaire

(172 articles en ce moment)

Cette offre vous donne accès à :

Une base complète d’articles

Actualisée et enrichie d’articles validés par nos comités scientifiques

Des services

Un ensemble d'outils exclusifs en complément des ressources

Des modules pratiques

Opérationnels et didactiques, pour garantir l'acquisition des compétences transverses

Doc & Quiz

Des articles interactifs avec des quiz, pour une lecture constructive

ABONNEZ-VOUS