Présentation

Article

1 - LIMITES DE LA MINIATURISATION

2 - ONDES ÉVANESCENTES, SOUVERAINES DU NANOMONDE

  • 2.1 - Qu'est-ce qu'une onde évanescente ?
  • 2.2 - Intérêt

3 - FRANCHIR LA BARRIÈRE THÉORIQUE

4 - RECHERCHES ACTUELLES

5 - CONCLUSION

Article de référence | Réf : NM7100 v1

Recherches actuelles
La nano-imagerie par microscopie optique en champ proche

Auteur(s) : Paul-Arthur LEMOINE, Yannick DE WILDE

Date de publication : 10 oct. 2007 | Read in English

Pour explorer cet article
Télécharger l'extrait gratuit

Vous êtes déjà abonné ?Connectez-vous !

Sommaire

Présentation

RÉSUMÉ

Depuis plus d'un siècle, il était admis pour des raisons théoriques que la résolution optimale des microscopes classiques était limitée à environ 250 nm. La microscopie optique en champ proche permet aujourd'hui de dépasser cette barrière. En se basant sur l'observation de la lumière diffractée par l'objet à seulement quelques nanomètres de sa surface, cette optique nouvelle donne accès au comportement des matériaux en réponse à une excitation électromagnétique avec une résolution de quelques nanomètres, ce qui constitue une avancée technologique spectaculaire dans le domaine.

Lire cet article issu d'une ressource documentaire complète, actualisée et validée par des comités scientifiques.

Lire l’article

INTRODUCTION

Depuis plus d'un siècle, il était admis pour des raisons théoriques que la résolution optimale des microscopes classiques était limitée à environ 250 nm. La microscopie optique en champ proche permet aujourd'hui de dépasser cette barrière. En se basant sur l'observation de la lumière diffractée par l'objet à seulement quelques nanomètres de sa surface, cette optique nouvelle nous donne accès au comportement des matériaux en réponse à une excitation électromagnétique avec une résolution de quelques nanomètres, ce qui constitue une avancée technologique spectaculaire dans le domaine.

Cet article est réservé aux abonnés.
Il vous reste 95% à découvrir.

Pour explorer cet article
Téléchargez l'extrait gratuit

Vous êtes déjà abonné ?Connectez-vous !


L'expertise technique et scientifique de référence

La plus importante ressource documentaire technique et scientifique en langue française, avec + de 1 200 auteurs et 100 conseillers scientifiques.
+ de 10 000 articles et 1 000 fiches pratiques opérationnelles, + de 800 articles nouveaux ou mis à jours chaque année.
De la conception au prototypage, jusqu'à l'industrialisation, la référence pour sécuriser le développement de vos projets industriels.

DOI (Digital Object Identifier)

https://doi.org/10.51257/a-v1-nm7100


Cet article fait partie de l’offre

Optique Photonique

(225 articles en ce moment)

Cette offre vous donne accès à :

Une base complète d’articles

Actualisée et enrichie d’articles validés par nos comités scientifiques

Des services

Un ensemble d'outils exclusifs en complément des ressources

Des modules pratiques

Opérationnels et didactiques, pour garantir l'acquisition des compétences transverses

Doc & Quiz

Des articles interactifs avec des quiz, pour une lecture constructive

ABONNEZ-VOUS

Lecture en cours
Présentation

4. Recherches actuelles

4.1 Plasmonique

HAUT DE PAGE

4.1.1 Qu'est-ce qu'un plasmon ?

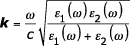
La plasmonique est une nouvelle voie de recherche en pleine expansion qui repose sur l'étude et la caractérisation d'une certaine catégorie d'ondes évanescentes : les plasmons de surface. Du fait d'un apport énergétique, il peut se produire à la surface d'un conducteur, sous certaines conditions, une mise en oscillation collective des nuages électroniques des atomes qui se traduit par la présence d'une onde électromagnétique évanescente, appelée « plasmon de surface ». Comme toute onde, celle-ci est en partie caractérisée par son équation de dispersion qui régit sa propagation. Cette équation relie les paramètres ω = 2πf (en rad · s–1), qui est la pulsation de l'onde (avec f la fréquence temporelle d'oscillation du champ électromagnétique) et le vecteur d'onde (en m–1). Dans le cas d'une onde se propageant dans le vide à la vitesse de la lumière, l'équation de dispersion est :

avec :

c
 : 
(m · s–1) vitesse de la lumière dans le vide.

Dans le cas d'un plasmon de surface, l'équation de dispersion fait intervenir la constante diélectrique de la surface métallique ε1 et celle du milieu environnant ε2  , qui dépendent toutes deux de ω :

En règle générale, on observe les plasmons à une interface entre un métal et l'air. Or εair = 1.

D'où : ...

Cet article est réservé aux abonnés.
Il vous reste 95% à découvrir.

Pour explorer cet article
Téléchargez l'extrait gratuit

Vous êtes déjà abonné ?Connectez-vous !


L'expertise technique et scientifique de référence

La plus importante ressource documentaire technique et scientifique en langue française, avec + de 1 200 auteurs et 100 conseillers scientifiques.
+ de 10 000 articles et 1 000 fiches pratiques opérationnelles, + de 800 articles nouveaux ou mis à jours chaque année.
De la conception au prototypage, jusqu'à l'industrialisation, la référence pour sécuriser le développement de vos projets industriels.

Cet article fait partie de l’offre

Optique Photonique

(225 articles en ce moment)

Cette offre vous donne accès à :

Une base complète d’articles

Actualisée et enrichie d’articles validés par nos comités scientifiques

Des services

Un ensemble d'outils exclusifs en complément des ressources

Des modules pratiques

Opérationnels et didactiques, pour garantir l'acquisition des compétences transverses

Doc & Quiz

Des articles interactifs avec des quiz, pour une lecture constructive

ABONNEZ-VOUS

Lecture en cours
Recherches actuelles
Sommaire
Sommaire

BIBLIOGRAPHIE

  • (1) -   *  -  http://fr.wikipedia.org/wiki/Th%C3%A9orie de la diffraction, Wikipédia, article sur la théorie de la diffraction

  • (2) - LAHMANI (M.), DUPAS (C.), HOUDY (P.) -   Les nanosciences : nanotechnologies et nanophysique.  -  Éditions Belin, p. 134 à 136 (2004).

  • (3) - SYNGE (E.H.) -   A suggested method for extending microscopic resolution into the ultra-microscopic region.  -  Philos. Mag., 6, p. 356 à 362 (1928).

  • (4) - ASH (E.A.), NICHOLLS (G.) -   Super-resolution aperture scanning microscope.  -  Nature, 237, p. 510 à 512 (1972).

  • (5) - POHL (D.W.) et al -   Optical stethoscopy : image recording with resolution λ/20.  -  Appl. Phys. Lett., 44, p. 651 à 653 (1984).

  • (6) - LEWIS (A.), ISAACSON (M.), HAROOTUNIAN (A.), MURRAY (A.) -   *  -  Ultramicroscopy 13, 227 (1984).

  • ...

Cet article est réservé aux abonnés.
Il vous reste 94% à découvrir.

Pour explorer cet article
Téléchargez l'extrait gratuit

Vous êtes déjà abonné ?Connectez-vous !


L'expertise technique et scientifique de référence

La plus importante ressource documentaire technique et scientifique en langue française, avec + de 1 200 auteurs et 100 conseillers scientifiques.
+ de 10 000 articles et 1 000 fiches pratiques opérationnelles, + de 800 articles nouveaux ou mis à jours chaque année.
De la conception au prototypage, jusqu'à l'industrialisation, la référence pour sécuriser le développement de vos projets industriels.

Cet article fait partie de l’offre

Optique Photonique

(225 articles en ce moment)

Cette offre vous donne accès à :

Une base complète d’articles

Actualisée et enrichie d’articles validés par nos comités scientifiques

Des services

Un ensemble d'outils exclusifs en complément des ressources

Des modules pratiques

Opérationnels et didactiques, pour garantir l'acquisition des compétences transverses

Doc & Quiz

Des articles interactifs avec des quiz, pour une lecture constructive

ABONNEZ-VOUS