Présentation

Article

1 - INTRODUCTION

2 - POURQUOI FAIRE PETIT ?

3 - STABILITÉ

4 - PROPRIÉTÉS OPTIQUES

5 - FABRICATION DES COLLOÏDES

6 - QUEL AVENIR POUR LES COLLOÏDES ?

Article de référence | Réf : NM3200 v1

Propriétés optiques
Colloïdes et nanosciences

Auteur(s) : Jean-Marc DI MEGLIO

Date de publication : 10 sept. 2007 | Read in English

Pour explorer cet article
Télécharger l'extrait gratuit

Vous êtes déjà abonné ?Connectez-vous !

Sommaire

Présentation

RÉSUMÉ

Le terme de nanoparticule est associé autant aux particules de taille nanométrique, comme le nom l’indique, qu’aux particules dont la taille est égale jusqu’à parfois des centaines de nanomètres. Les nanoparticules sont ainsi des colloïdes de petite taille. Elles possèdent des paramètres d'échelle, de structure et de stabilité (électrostatique et stérique)qui leur sont bien spéficiques . De même, leurs propriétés optiques comme la diffusion de la lumière ou encore les matériaux à bandes interdites sont étonnantes, jusqu'à leur procédé de fabrication.

Lire cet article issu d'une ressource documentaire complète, actualisée et validée par des comités scientifiques.

Lire l’article

Auteur(s)

  • Jean-Marc DI MEGLIO

INTRODUCTION

Les nanoparticules devraient, comme leur nom le suggérerait, être des particules de taille nanométrique. Bien souvent, et peut-être par effet de l'engouement actuel pour les nanotechnologies, on appelle aussi nanoparticules des particules dont la taille est égale à des dizaines, voire des centaines de nanomètres. Les nanoparticules sont des colloïdes de petite taille.

Cet article est réservé aux abonnés.
Il vous reste 93% à découvrir.

Pour explorer cet article
Téléchargez l'extrait gratuit

Vous êtes déjà abonné ?Connectez-vous !


L'expertise technique et scientifique de référence

La plus importante ressource documentaire technique et scientifique en langue française, avec + de 1 200 auteurs et 100 conseillers scientifiques.
+ de 10 000 articles et 1 000 fiches pratiques opérationnelles, + de 800 articles nouveaux ou mis à jours chaque année.
De la conception au prototypage, jusqu'à l'industrialisation, la référence pour sécuriser le développement de vos projets industriels.

DOI (Digital Object Identifier)

https://doi.org/10.51257/a-v1-nm3200

CET ARTICLE SE TROUVE ÉGALEMENT DANS :

Accueil Ressources documentaires Matériaux Matériaux fonctionnels - Matériaux biosourcés Surfaces et structures fonctionnelles Colloïdes et nanosciences Propriétés optiques

Accueil Ressources documentaires Sciences fondamentales Nanosciences et nanotechnologies Nanosciences : concepts, simulation et caractérisation Colloïdes et nanosciences Propriétés optiques

Accueil Ressources documentaires Innovation Nanosciences et nanotechnologies Nanosciences : concepts, simulation et caractérisation Colloïdes et nanosciences Propriétés optiques

Accueil Ressources documentaires Sciences fondamentales Nanosciences et nanotechnologies Nanomatériaux : propriétés Colloïdes et nanosciences Propriétés optiques


Cet article fait partie de l’offre

Nanosciences et nanotechnologies

(148 articles en ce moment)

Cette offre vous donne accès à :

Une base complète d’articles

Actualisée et enrichie d’articles validés par nos comités scientifiques

Des services

Un ensemble d'outils exclusifs en complément des ressources

Des modules pratiques

Opérationnels et didactiques, pour garantir l'acquisition des compétences transverses

Doc & Quiz

Des articles interactifs avec des quiz, pour une lecture constructive

ABONNEZ-VOUS

Lecture en cours
Présentation

4. Propriétés optiques

4.1 Diffusion de la lumière

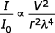
Les dispersions colloïdales diffusent fortement la lumière et cet effet est communément désigné sous le nom d'effet Tyndall (John Tyndall, 1820-1893, physicien irlandais) (figure 8).

Lorsque les particules colloïdales sont très petites ( , avec R rayon des particules et λ longueur d'onde des radiations lumineuses), non conductrices et telles que leur indice de réfraction n obéisse à (n0 indice de réfraction du milieu continu), le rapport de l'intensité diffusée I à l'intensité incidente I0 a été établi par Rayleigh à partir d'un argument dimensionnel :

( 8 )

avec :

V
 : 
∝ R  3 volume des particules diffusantes,
r
 : 
distance de l'observateur aux mêmes particules.

La dépendance en λ4 fait que le spectre de la lumière diffusée est déplacé vers les courtes longueurs d'onde par rapport à celui de la lumière incidente. Éclairée en lumière blanche, une solution colloïdale diffuse dans le bleu dans ces conditions de Rayleigh comme le montre bien la figure 8 (le spectre de la lumière transmise est naturellement quant à lui déplacé vers le rouge).

Exemple :

la couleur bleue du ciel ...

Cet article est réservé aux abonnés.
Il vous reste 95% à découvrir.

Pour explorer cet article
Téléchargez l'extrait gratuit

Vous êtes déjà abonné ?Connectez-vous !


L'expertise technique et scientifique de référence

La plus importante ressource documentaire technique et scientifique en langue française, avec + de 1 200 auteurs et 100 conseillers scientifiques.
+ de 10 000 articles et 1 000 fiches pratiques opérationnelles, + de 800 articles nouveaux ou mis à jours chaque année.
De la conception au prototypage, jusqu'à l'industrialisation, la référence pour sécuriser le développement de vos projets industriels.

Cet article fait partie de l’offre

Nanosciences et nanotechnologies

(148 articles en ce moment)

Cette offre vous donne accès à :

Une base complète d’articles

Actualisée et enrichie d’articles validés par nos comités scientifiques

Des services

Un ensemble d'outils exclusifs en complément des ressources

Des modules pratiques

Opérationnels et didactiques, pour garantir l'acquisition des compétences transverses

Doc & Quiz

Des articles interactifs avec des quiz, pour une lecture constructive

ABONNEZ-VOUS

Lecture en cours
Propriétés optiques
Sommaire
Sommaire

BIBLIOGRAPHIE

  • (1) - GRAHAM (T.) -   Liquid diffusion applied to analysis.  -  Philosophical Transactions of the Royal Society of London, 151, 183-224 (1861).

  • (2) - DI MEGLIO (J.-M.) -   Les États de la Matière. De la molécule au matériau.  -  Masson Sciences – Dunod (2001).

  • (3) - DI MEGLIO (J.-M.) -   La matière molle.  -  Physique Chimie, A 1 195. Techniques de l'Ingénieur (1994).

  • (4) - FARADAY (M.) -   Experimental relations of gold (and other metals) to light.  -  Philosophical Transactions of the Royal Society of London, 147, 145-181 (1857).

  • (5) - TURKEVICH (J.), STEVENSON (P.C.), HILLIER (J.) -   A study of the nucleation and growth processes in the synthesis of colloidal gold.  -  Discussions of the Faraday Society, 11, 55-75 (1951).

  • (6) - LIU (Y.), TSAPIS (N.), EDWARDS (D.A.) -   Investigating sustained-release nanoparticles...

Cet article est réservé aux abonnés.
Il vous reste 93% à découvrir.

Pour explorer cet article
Téléchargez l'extrait gratuit

Vous êtes déjà abonné ?Connectez-vous !


L'expertise technique et scientifique de référence

La plus importante ressource documentaire technique et scientifique en langue française, avec + de 1 200 auteurs et 100 conseillers scientifiques.
+ de 10 000 articles et 1 000 fiches pratiques opérationnelles, + de 800 articles nouveaux ou mis à jours chaque année.
De la conception au prototypage, jusqu'à l'industrialisation, la référence pour sécuriser le développement de vos projets industriels.

Cet article fait partie de l’offre

Nanosciences et nanotechnologies

(148 articles en ce moment)

Cette offre vous donne accès à :

Une base complète d’articles

Actualisée et enrichie d’articles validés par nos comités scientifiques

Des services

Un ensemble d'outils exclusifs en complément des ressources

Des modules pratiques

Opérationnels et didactiques, pour garantir l'acquisition des compétences transverses

Doc & Quiz

Des articles interactifs avec des quiz, pour une lecture constructive

ABONNEZ-VOUS