Présentation

Article

1 - PROCÉDÉS DE FABRICATION

2 - FICHE PRODUIT BISPHÉNOL A

  • 2.1 - Propriétés physico-chimiques
  • 2.2 - Précautions d’emploi

Archive | Réf : J6165 v1

Procédés de fabrication
Bisphénol A ou diphénylolpropane (DPP)

Auteur(s) : Gilles LEFEBVRE, Claude RAIMBAULT

Date de publication : 10 déc. 1998

Pour explorer cet article
Télécharger l'extrait gratuit

Vous êtes déjà abonné ?Connectez-vous !

Sommaire

Présentation

Auteur(s)

Lire cet article issu d'une ressource documentaire complète, actualisée et validée par des comités scientifiques.

Lire l’article

INTRODUCTION

Le bisphénol A ou diphénylolpropane (DPP) est une matière première pour la fabrication des polycarbonates et des résines époxy, on l’utilise aussi dans la fabrication de résines polyesters insaturées, de résines polyarylates et d’ignifugeants.

Deux types de procédés coexistent actuellement dans le monde.

L’avantage économique des procédés de catalyse hétérogène réside dans le coût d’investissement plus bas résultant de l’emploi d’un catalyseur non corrosif. Par ailleurs, l’absence d’eaux usées à recycler réduit l’importance des installations de recyclage.

Par contre, les procédés, en phase homogène, utilisant l’acide chlorhydrique opèrent à température plus basse ce qui favorise l’isomère 4-4 ′ par rapport aux autres sous-produits. Enfin, ils ne comportent pas de recyclage de l’acétone et ne nécessitent pas de purification supplémentaire pour éliminer l’isomère 2-4 ′.

Cet article est réservé aux abonnés.
Il vous reste 93% à découvrir.

Pour explorer cet article
Téléchargez l'extrait gratuit

Vous êtes déjà abonné ?Connectez-vous !


L'expertise technique et scientifique de référence

La plus importante ressource documentaire technique et scientifique en langue française, avec + de 1 200 auteurs et 100 conseillers scientifiques.
+ de 10 000 articles et 1 000 fiches pratiques opérationnelles, + de 800 articles nouveaux ou mis à jours chaque année.
De la conception au prototypage, jusqu'à l'industrialisation, la référence pour sécuriser le développement de vos projets industriels.

DOI (Digital Object Identifier)

https://doi.org/10.51257/a-v1-j6165


Cet article fait partie de l’offre

Opérations unitaires. Génie de la réaction chimique

(370 articles en ce moment)

Cette offre vous donne accès à :

Une base complète d’articles

Actualisée et enrichie d’articles validés par nos comités scientifiques

Des services

Un ensemble d'outils exclusifs en complément des ressources

Des modules pratiques

Opérationnels et didactiques, pour garantir l'acquisition des compétences transverses

Doc & Quiz

Des articles interactifs avec des quiz, pour une lecture constructive

ABONNEZ-VOUS

Lecture en cours
Présentation

1. Procédés de fabrication

Le lecteur pourra se reporter aux références , , .

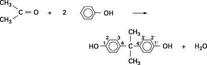
Le bisphénol A est obtenu par condensation de deux molécules de phénol avec une molécule d’acétone en présence d’un catalyseur acide :

En plus de l’isomère 4-4′ représenté ci-dessus, il se forme, en quantités variables selon les procédés, de l’isomère 2-4′.

La qualité époxy peut renfermer jusqu’à 5 % d’isomère 2-4′, qualité indésirable pour les polycarbonates qui nécessitent une teneur inférieure à 0,2 % (qualité polycarbonate).

Les procédés commerciaux se distinguent les uns des autres par la nature du catalyseur acide mis en œuvre.

Les procédés classiques opèrent en phase liquide homogène renfermant un acide fort, le plus souvent l’acide chlorhydrique.

Des procédés plus récents utilisent un catalyseur acide solide constitué par une résine échangeuse d’ions.

1.1 Procédés en phase homogène

La réaction de condensation phénol-acétone a lieu en phase liquide dans une série de réacteurs vitrifiés (ou verrés) agités. Elle est catalysée par HCl gazeux, qui se dissout dans le milieu réactionnel, et s’effectue en présence d’un grand excès de phénol.

Dans le procédé Rhône-Poulenc (figure 1), la réaction de condensation s’effectue en 40 et 50 C dans une série de réacteurs en cascade. L’acétone est pratiquement totalement convertie en sortie des réacteurs.

On réalise ensuite une distillation sous pression réduite...

Cet article est réservé aux abonnés.
Il vous reste 95% à découvrir.

Pour explorer cet article
Téléchargez l'extrait gratuit

Vous êtes déjà abonné ?Connectez-vous !


L'expertise technique et scientifique de référence

La plus importante ressource documentaire technique et scientifique en langue française, avec + de 1 200 auteurs et 100 conseillers scientifiques.
+ de 10 000 articles et 1 000 fiches pratiques opérationnelles, + de 800 articles nouveaux ou mis à jours chaque année.
De la conception au prototypage, jusqu'à l'industrialisation, la référence pour sécuriser le développement de vos projets industriels.

Cet article fait partie de l’offre

Opérations unitaires. Génie de la réaction chimique

(370 articles en ce moment)

Cette offre vous donne accès à :

Une base complète d’articles

Actualisée et enrichie d’articles validés par nos comités scientifiques

Des services

Un ensemble d'outils exclusifs en complément des ressources

Des modules pratiques

Opérationnels et didactiques, pour garantir l'acquisition des compétences transverses

Doc & Quiz

Des articles interactifs avec des quiz, pour une lecture constructive

ABONNEZ-VOUS

Lecture en cours
Procédés de fabrication
Sommaire
Sommaire

BIBLIOGRAPHIE

  • (1) -   *  -  Hydrocarbon Processing Petrochemical Processes 97, vol. 76, n 3, mars 1997.

  • (2) -   *  -  European Chemical News Chemscope, oct.-nov. 1990.

  • (3) -   *  -  Chemical Week, vol 146, n 14, avril 1990.

Cet article est réservé aux abonnés.
Il vous reste 92% à découvrir.

Pour explorer cet article
Téléchargez l'extrait gratuit

Vous êtes déjà abonné ?Connectez-vous !


L'expertise technique et scientifique de référence

La plus importante ressource documentaire technique et scientifique en langue française, avec + de 1 200 auteurs et 100 conseillers scientifiques.
+ de 10 000 articles et 1 000 fiches pratiques opérationnelles, + de 800 articles nouveaux ou mis à jours chaque année.
De la conception au prototypage, jusqu'à l'industrialisation, la référence pour sécuriser le développement de vos projets industriels.

Cet article fait partie de l’offre

Opérations unitaires. Génie de la réaction chimique

(370 articles en ce moment)

Cette offre vous donne accès à :

Une base complète d’articles

Actualisée et enrichie d’articles validés par nos comités scientifiques

Des services

Un ensemble d'outils exclusifs en complément des ressources

Des modules pratiques

Opérationnels et didactiques, pour garantir l'acquisition des compétences transverses

Doc & Quiz

Des articles interactifs avec des quiz, pour une lecture constructive

ABONNEZ-VOUS