Archive | Réf : BE8030 v1

Équations cubiques
Propriétés thermodynamiques - Détermination pour les fluides purs

Auteur(s) : Christophe COQUELET, Dominique RICHON

Date de publication : 10 oct. 2007

Pour explorer cet article
Télécharger l'extrait gratuit

Vous êtes déjà abonné ?Connectez-vous !

Sommaire

Présentation

RÉSUMÉ

Les informations concernant la thermodynamique des équilibres entre phases sous pression sont essentielles en génie énergétique, car de nombreux procédés industriels fonctionnent sous pression. Beaucoup de modèles ont été proposés pour la représentation fidèle des propriétés thermodynamiques. Aujourd’hui, de nouveaux modèles thermodynamiques, encore plus précis, sont développés. Ces modèles serviront à réduire le nombre de points expérimentaux à déterminer. Ils permettront de dimensionner des unités et d'améliorer la compréhension des phénomènes physiques mis en jeux.

Lire cet article issu d'une ressource documentaire complète, actualisée et validée par des comités scientifiques.

Lire l’article

Auteur(s)

  • Christophe COQUELET : Maître-assistant à l'École des mines de Paris - Docteur de l'École des mines de Paris - Professeur agrégé de l'université ; ancien élève de l'ENS Cachan - Ingénieur ENSIACET

  • Dominique RICHON : Directeur de recherche à l'École des mines de Paris - Responsable du laboratoire CEP/TEP

INTRODUCTION

Les informations concernant la thermodynamique des équilibres entre phases sous pression sont essentielles en génie énergétique. En effet, de nombreux procédés industriels fonctionnent sous pression : traitement du gaz naturel, extraction par fluides supercritiques, procédés géologiques (séquestration), réfrigération, etc. À ce jour, beaucoup de modèles ont été proposés (corps purs et mélanges) pour la représentation fidèle des propriétés thermodynamiques, prenant en compte les comportements des différents systèmes couramment rencontrés dans le domaine industriel. Toutefois, grâce aux informations précises fournies par les expériences effectuées en laboratoire, de nouveaux modèles thermodynamiques, encore plus précis, pourront être développés. Ces modèles serviront, d'une part, à réduire le nombre de points expérimentaux à déterminer (modèles prédictifs) et, d'autre part, ils permettront d'effectuer le dimensionnement des unités et d'améliorer la compréhension des phénomènes physiques mis en jeux. L'évaluation énergétique des procédés nécessite également des modèles thermodynamiques très précis. C'est à partir des modèles thermodynamiques que l'on peut évaluer et effectuer les bilans énergétiques, entropiques et exergétiques. Ainsi, on ne peut se contenter, lors du calcul d'un coefficient de performance d'un cycle de réfrigération (par exemple), d'utiliser des modèles thermodynamiques dont l'incertitude sur le calcul de la densité est trop importante. De même que l'utilisation du gaz parfait a une utilisation très limitée.

Cet article est réservé aux abonnés.
Il vous reste 95% à découvrir.

Pour explorer cet article
Téléchargez l'extrait gratuit

Vous êtes déjà abonné ?Connectez-vous !


L'expertise technique et scientifique de référence

La plus importante ressource documentaire technique et scientifique en langue française, avec + de 1 200 auteurs et 100 conseillers scientifiques.
+ de 10 000 articles et 1 000 fiches pratiques opérationnelles, + de 800 articles nouveaux ou mis à jours chaque année.
De la conception au prototypage, jusqu'à l'industrialisation, la référence pour sécuriser le développement de vos projets industriels.

VERSIONS

Il existe d'autres versions de cet article :

DOI (Digital Object Identifier)

https://doi.org/10.51257/a-v1-be8030


Cet article fait partie de l’offre

Physique énergétique

(74 articles en ce moment)

Cette offre vous donne accès à :

Une base complète d’articles

Actualisée et enrichie d’articles validés par nos comités scientifiques

Des services

Un ensemble d'outils exclusifs en complément des ressources

Des modules pratiques

Opérationnels et didactiques, pour garantir l'acquisition des compétences transverses

Doc & Quiz

Des articles interactifs avec des quiz, pour une lecture constructive

ABONNEZ-VOUS

Lecture en cours
Présentation

2. Équations cubiques

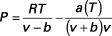
Ces équations ne sont que des améliorations de l'équation dite VdW (plus particulièrement de l'expression de la pression moléculaire qui comprend le paramètre attractif a). En 1949, Redlich et Kwong Propriétés thermodynamiques- Détermination pour les fluides purs[2] ont proposé une première modification. En 1972, Soave Propriétés thermodynamiques- Détermination pour les fluides purs[3] a modifié l'expression du terme attractif en faisant intervenir une fonction dépendant de la température. L'équation de Redlich, Kwong et Soave (RKS) qui s'applique pour les composés non polaires (ou légèrement polaires) est la suivante :

( 4 )

La détermination des paramètres a et b de cette équation s'effectue de la même manière qu'avec celle de Van der Waals au point critique : avec Ωa = 0,42748, Ωb = 0,086 640 et

Cette équation permet de mieux corréler les données expérimentales dans un plus large domaine et d'améliorer la représentation de la zone critique.

En 1976, Peng et Robinson Propriétés thermodynamiques- Détermination pour les fluides purs...

Cet article est réservé aux abonnés.
Il vous reste 95% à découvrir.

Pour explorer cet article
Téléchargez l'extrait gratuit

Vous êtes déjà abonné ?Connectez-vous !


L'expertise technique et scientifique de référence

La plus importante ressource documentaire technique et scientifique en langue française, avec + de 1 200 auteurs et 100 conseillers scientifiques.
+ de 10 000 articles et 1 000 fiches pratiques opérationnelles, + de 800 articles nouveaux ou mis à jours chaque année.
De la conception au prototypage, jusqu'à l'industrialisation, la référence pour sécuriser le développement de vos projets industriels.

Cet article fait partie de l’offre

Physique énergétique

(74 articles en ce moment)

Cette offre vous donne accès à :

Une base complète d’articles

Actualisée et enrichie d’articles validés par nos comités scientifiques

Des services

Un ensemble d'outils exclusifs en complément des ressources

Des modules pratiques

Opérationnels et didactiques, pour garantir l'acquisition des compétences transverses

Doc & Quiz

Des articles interactifs avec des quiz, pour une lecture constructive

ABONNEZ-VOUS

Lecture en cours
Équations cubiques
Sommaire
Sommaire

BIBLIOGRAPHIE

  • (1) - VAN DER WAALS (J.D.) -   Over de continuiteit van den Gas- en Vloestoftoestand. (Über die Kontinuittät des Gas- und Flüssigkeitszustands).  -  1873, Dissertation, Universität Leiden, Niederlande, deutsche Übersetzung, Leipzig (1899).

  • (2) - REDLICH (O.), KWONG (J.N.S.) -   On the thermodynamics of solutions. V. An equation of state. Fugacities of gaseous solutions.  -  Chem. Rev., 44, p. 233-244, ACS (1949).

  • (3) - SOAVE (G.) -   Equilibrium constants for modified Redlich-Kwong equation of state.  -  Chem. Eng. Sci., 4, p. 1197-1203, ACS (1972).

  • (4) - PENG (D.Y.), ROBINSON (D.B.) -   A new two parameter equations of state.  -  Ind. Eng. Chem. Fundam., 15, p. 59-64, ACS (1976).

  • (5) - JI (W.R.), LEMPE (D.A.) -   A systematic study of cubic three-parameter equations of state for deriving a structurally optimised PVT relation.  -  Fluid Phase Equilib., 147, p. 85-103, Elsevier (1998).

  • ...

1 Laboratoire de recherche

(liste non exhausive)

École des mines de Paris, Centre énergétique et Procédés, Laboratoire « Thermodynamique et équilibres entre phases », CNRS FRE 2861.

École nationale supérieure des techniques avancées (ENSTA), unité chimie et procédés (UCP).

École nationale supérieure de chimie physique de Bordeaux (ENSCPB), laboratoire TREFLE, UMR CNRS 8500.

École nationale supérieure des industries chimiques (ENSIC) (Nancy).

Université Claude-Bernard, Lyon 1, UFR Chimie et Biochimie, Laboratoire de chimie analytique.

Université de Pau et des Pays de l'Adour, laboratoire des fluides complexes, CNRS - UMR 5150 - CURS.

Université Paris XIII, laboratoire d'ingénierie des matériaux et des hautes pressions (LIMHP).

Université de la Méditerranée, département de chimie.

HAUT DE PAGE

2 Quelques thèses récentes

COQUELET (C.) - Étude des fluides frigorigènes, mesures et modélisation. - Thèse École des mines de Paris, 180 p. (2003).

CHAPOY (A.) - Étude des Équilibres des systèmes eau-hydrocarbures-gaz acides dans le cadre de la production de gaz. - Thèse École des mines de Paris, 250 p. (2004).

RIVOLLET (F.) - Étude des propriétés volumétriques (PVT) d'hydrocarbures légers (C1-C4), du dioxyde de carbone...

Cet article est réservé aux abonnés.
Il vous reste 94% à découvrir.

Pour explorer cet article
Téléchargez l'extrait gratuit

Vous êtes déjà abonné ?Connectez-vous !


L'expertise technique et scientifique de référence

La plus importante ressource documentaire technique et scientifique en langue française, avec + de 1 200 auteurs et 100 conseillers scientifiques.
+ de 10 000 articles et 1 000 fiches pratiques opérationnelles, + de 800 articles nouveaux ou mis à jours chaque année.
De la conception au prototypage, jusqu'à l'industrialisation, la référence pour sécuriser le développement de vos projets industriels.

Cet article fait partie de l’offre

Physique énergétique

(74 articles en ce moment)

Cette offre vous donne accès à :

Une base complète d’articles

Actualisée et enrichie d’articles validés par nos comités scientifiques

Des services

Un ensemble d'outils exclusifs en complément des ressources

Des modules pratiques

Opérationnels et didactiques, pour garantir l'acquisition des compétences transverses

Doc & Quiz

Des articles interactifs avec des quiz, pour une lecture constructive

ABONNEZ-VOUS