Présentation

Article

1 - DÉFINITIONS RELATIVES À UN FLUIDE

2 - VISCOSITÉ

3 - CINÉMATIQUE DE L’ÉCOULEMENT D’UN FLUIDE

4 - MOUVEMENT D’UN ÉLÉMENT DE VOLUME DE FLUIDE

5 - ÉCOULEMENTS IRROTATIONNELS

6 - MÉTHODE DE RÉSOLUTION DES PROBLÈMES D’ÉCOULEMENTS

Archive | Réf : BE8151 v1

Mouvement d’un élément de volume de fluide
Écoulement des fluides - Étude physique et cinématique

Auteur(s) : André LALLEMAND

Date de publication : 10 janv. 1999

Pour explorer cet article
Télécharger l'extrait gratuit

Vous êtes déjà abonné ?Connectez-vous !

Sommaire

Présentation

Auteur(s)

  • André LALLEMAND : Ingénieur, Docteur ès sciences - Professeur des Universités à l’Institut National des Sciences Appliquées de Lyon

Lire cet article issu d'une ressource documentaire complète, actualisée et validée par des comités scientifiques.

Lire l’article

INTRODUCTION

Les fluides sont les systèmes thermodynamiques de base de l’énergéticien, que ce soit dans les machines — moteurs de tous types ou machines frigorifiques — ou dans les processus d’échanges ou de production de chaleur — échangeurs thermiques, chaudières, fours, etc. Il est, de ce fait, important de connaître les propriétés des fluides et, particulièrement, celle qui est spécifique à leur écoulement : la viscosité. Lorsque celle-ci est faible, on a l’habitude de la négliger, le fluide est alors considéré comme parfait. Dans le cas contraire, elle peut traduire des comportements fort différents d’un fluide à un autre. On distingue, de ce point de vue : les fluides newtoniens et les fluides non newtoniens. Pour les premiers, les forces de viscosité sont proportionnelles aux vitesses de déformations. La relation est plus complexe pour les seconds.

La vitesse de déformation est aussi un élément à prendre en compte dans la cinématique des fluides. En effet, alors que pour un solide le mouvement est composé d’une translation et d’une rotation, il faut ajouter la déformation dans le cas d’un liquide. Cette adjonction est responsable d’une certaine complexité de la cinématique des fluides vis-à-vis de celle des solides indéformables. Cette complexité est encore renforcée par les concepts soit lagrangien, soit eulérien du traitement des problèmes liés aux écoulements des fluides.

Il existe cependant un cas particulier d’écoulements dans lequel la cinématique devient plus simple, c’est celui des écoulements sans rotation, dits irrotationnels. Dans ces écoulements, dont le traitement mathématique est simplifié, la viscosité du fluide n’a plus d’effet. Cette conséquence les rend extrêmement intéressants sur le plan énergétique.

Cet article est réservé aux abonnés.
Il vous reste 95% à découvrir.

Pour explorer cet article
Téléchargez l'extrait gratuit

Vous êtes déjà abonné ?Connectez-vous !


L'expertise technique et scientifique de référence

La plus importante ressource documentaire technique et scientifique en langue française, avec + de 1 200 auteurs et 100 conseillers scientifiques.
+ de 10 000 articles et 1 000 fiches pratiques opérationnelles, + de 800 articles nouveaux ou mis à jours chaque année.
De la conception au prototypage, jusqu'à l'industrialisation, la référence pour sécuriser le développement de vos projets industriels.

VERSIONS

Il existe d'autres versions de cet article :

DOI (Digital Object Identifier)

https://doi.org/10.51257/a-v1-be8151


Cet article fait partie de l’offre

Transport fluvial et maritime

(53 articles en ce moment)

Cette offre vous donne accès à :

Une base complète d’articles

Actualisée et enrichie d’articles validés par nos comités scientifiques

Des services

Un ensemble d'outils exclusifs en complément des ressources

Des modules pratiques

Opérationnels et didactiques, pour garantir l'acquisition des compétences transverses

Doc & Quiz

Des articles interactifs avec des quiz, pour une lecture constructive

ABONNEZ-VOUS

Lecture en cours
Présentation

4. Mouvement d’un élément de volume de fluide

Au cours de son mouvement, un solide subit en général un changement de position et d’orientation. Un élément de volume de fluide subit de plus un changement de forme.

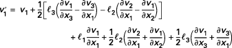
Soit à l’instant t un élément de volume quelconque entourant le point M (xi ) — variables d’Euler — et le point M’ (x’i ) voisin de M (figure 9). Dans le cas d’un système indéformable, la vitesse de M’ est donnée, en fonction de la vitesse en M et du vecteur rotation instantanée , par la relation :

Si on note par , , les composantes du vecteur MM’, on peut également écrire :

ou en équations scalaires :

La première de ces équations scalaires peut encore s’écrire :

( 6 )

Les deux autres équations scalaires s’obtiennent facilement par permutation circulaire. On pose :

...

Cet article est réservé aux abonnés.
Il vous reste 93% à découvrir.

Pour explorer cet article
Téléchargez l'extrait gratuit

Vous êtes déjà abonné ?Connectez-vous !


L'expertise technique et scientifique de référence

La plus importante ressource documentaire technique et scientifique en langue française, avec + de 1 200 auteurs et 100 conseillers scientifiques.
+ de 10 000 articles et 1 000 fiches pratiques opérationnelles, + de 800 articles nouveaux ou mis à jours chaque année.
De la conception au prototypage, jusqu'à l'industrialisation, la référence pour sécuriser le développement de vos projets industriels.

Cet article fait partie de l’offre

Transport fluvial et maritime

(53 articles en ce moment)

Cette offre vous donne accès à :

Une base complète d’articles

Actualisée et enrichie d’articles validés par nos comités scientifiques

Des services

Un ensemble d'outils exclusifs en complément des ressources

Des modules pratiques

Opérationnels et didactiques, pour garantir l'acquisition des compétences transverses

Doc & Quiz

Des articles interactifs avec des quiz, pour une lecture constructive

ABONNEZ-VOUS

Lecture en cours
Mouvement d’un élément de volume de fluide
Sommaire
Sommaire

Cet article est réservé aux abonnés.
Il vous reste 95% à découvrir.

Pour explorer cet article
Téléchargez l'extrait gratuit

Vous êtes déjà abonné ?Connectez-vous !


L'expertise technique et scientifique de référence

La plus importante ressource documentaire technique et scientifique en langue française, avec + de 1 200 auteurs et 100 conseillers scientifiques.
+ de 10 000 articles et 1 000 fiches pratiques opérationnelles, + de 800 articles nouveaux ou mis à jours chaque année.
De la conception au prototypage, jusqu'à l'industrialisation, la référence pour sécuriser le développement de vos projets industriels.

Cet article fait partie de l’offre

Transport fluvial et maritime

(53 articles en ce moment)

Cette offre vous donne accès à :

Une base complète d’articles

Actualisée et enrichie d’articles validés par nos comités scientifiques

Des services

Un ensemble d'outils exclusifs en complément des ressources

Des modules pratiques

Opérationnels et didactiques, pour garantir l'acquisition des compétences transverses

Doc & Quiz

Des articles interactifs avec des quiz, pour une lecture constructive

ABONNEZ-VOUS