Présentation

Article

1 - PHÉNOMÈNES DE TRANSPORT DANS LES MÉTAUX

2 - EFFET DE PEAU

3 - PERTES DANS LES DIFFÉRENTES TECHNOLOGIES

4 - IMPÉDANCE DE TRANSFERT

5 - MICROMÉCANIQUE, NANOTECHNOLOGIES ET NOUVEAUX DISPOSITIFS

6 - CONCLUSION

Archive | Réf : E1205 v2

Effet de peau
Conducteurs en hautes fréquences

Auteur(s) : Henri BAUDRAND

Date de publication : 10 nov. 2008

Pour explorer cet article
Télécharger l'extrait gratuit

Vous êtes déjà abonné ?Connectez-vous !

Sommaire

Présentation

RÉSUMÉ

Les conducteurs en hautes fréquences ont comme caractéristique essentielle de suivre de près les évolutions technologiques des matériaux dans le souci de limiter les pertes et de miniaturiser les dispositifs électroniques. Ceci exige une réévaluation théorique des phénomènes de transport, conséquence de l'introduction des nanotechnologies .Dans un cadre plus traditionnel, de nombreuses applications sont abordées : en compatibilité électromagnétique, circuits et lignes planaires, pertes par rayonnement et utilisation des techniques quasi-optiques.

Lire cet article issu d'une ressource documentaire complète, actualisée et validée par des comités scientifiques.

Lire l’article

Auteur(s)

  • Henri BAUDRAND : Ingénieur, docteur ès sciences - Professeur émérite à l'Institut national polytechnique de Toulouse

INTRODUCTION

L'utilisation des conducteurs en hautes fréquences a considérablement évolué depuis les années de la fin du dernier siècle. Il faut évoquer la révolution des nanotechnologies, dont les premières manifestations sont l'élaboration du microscope à effet tunnel et la découverte des nanotubes. Mais les technologies classiques de photolithographie ainsi que les procédés faisant appel à la micromécanique permettent de diminuer la dimension latérale des lignes jusqu'au micromètre. À ce propos, la fameuse loi de Moore  se vérifie encore plus de quarante années après sa première formulation : le nombre de transistors d'un circuit intégrés double tous les deux ans (dix-huit mois dans l'article original), malgré les difficultés engendrées par le niveau moléculaire des plus petites dimensions atteintes maintenant. Cela implique une diminution d'autant des largeurs et longueurs de lignes. Si bien que certains sujets qui étaient très sensibles, en particulier concernant les pertes le long des lignes de transmission le sont beaucoup moins pour ce type de circuits vu la petitesse des connexions.

Par ailleurs, les progrès exponentiels des moyens de calcul ont amené progressivement les concepteurs de circuits à exploiter les couplages électromagnétiques directs, car ils sont devenus accessibles à la simulation électromagnétique et peuvent donc être contrôlés. L'exemple le plus connu et sans doute le plus ancien est la suppression de la tige d'excitation d'une antenne plaque, et son remplacement par une ouverture rayonnante dans le plan de masse . Depuis l'utilisation de surfaces sélectives en fréquences dans les circuits et la variété des dispositifs quasi optiques montre que la ligne, ou le guide traditionnel, n'est plus dans bien des cas la seule solution pour élaborer un circuit. Enfin, on constate que les métaux ne constituent plus la seule possibilité pour réaliser des conducteurs : les procédés de sérigraphie font appel à des encres conductrices, et des conducteurs moléculaires ou composites se développent, pour des raisons de coût mais aussi de souplesse dans la réalisation, certains sont même flexibles . Ces matériaux ne vont pas bien sûr remplacer dans un proche avenir les circuits planaires à plaque métallisée, (PCB : « Printed Circuits Boards » en anglais) très utilisés dans l'électronique courante.

Dans les paragraphes suivants, ces considérations seront illustrés par des exemples de réalisations industrielles, mais aussi par des recherches qui portent en elles des développements prometteurs. Une place sera faite aux dernières avancées qui risquent de bouleverser les techniques actuelles. Il y a les nanotubes, la spintronique, et, dans le domaine de l'optique, la plasmonique. L'enjeu est d'augmenter la fréquence des ordinateurs et le nombre de bascules, avec l'espoir que la loi de Moore se vérifie encore dans l'avenir proche (sa validité est souvent mise en doute au-delà des années 2020).

Cependant, les conducteurs en hautes fréquences ont un comportement de base qui n'a guère évolué depuis les années 1960. Les modèles sont simples et utiles, ils seront rappelés dans le premier paragraphe.

Il est important également de poser les bases de la compatibilité électromagnétique, discipline qui prend de plus en plus d'importance avec la multiplication des dispositifs communiquant sans fil, et le remplacement, maintenant courant, des métaux par des composites, en particulier pour les boîtiers des circuits, qui ont de bonnes performances en masse, en résistance mécanique et surtout en coût, mais, en revanche, qui sont plus transparents aux ondes électromagnétiques que les matériaux traditionnels, et donc plus sensibles aux perturbations électromagnétiques. Un modèle simple de l'impédance de transfert sera développé au paragraphe 2.

Le paragraphe suivant sera consacré aux différentes technologies les plus courantes, et aux pertes correspondantes.

Enfin, les dernières avancées dans l'utilisation et la conception des conducteurs seront évoquées dans le dernier paragraphe, elles concernent la micromécanique, les nanotechnologies, les conducteurs non métalliques, les techniques quasi optiques, la plasmonique et la spintronique.

Cet article est réservé aux abonnés.
Il vous reste 94% à découvrir.

Pour explorer cet article
Téléchargez l'extrait gratuit

Vous êtes déjà abonné ?Connectez-vous !


L'expertise technique et scientifique de référence

La plus importante ressource documentaire technique et scientifique en langue française, avec + de 1 200 auteurs et 100 conseillers scientifiques.
+ de 10 000 articles et 1 000 fiches pratiques opérationnelles, + de 800 articles nouveaux ou mis à jours chaque année.
De la conception au prototypage, jusqu'à l'industrialisation, la référence pour sécuriser le développement de vos projets industriels.

VERSIONS

Il existe d'autres versions de cet article :

DOI (Digital Object Identifier)

https://doi.org/10.51257/a-v2-e1205


Cet article fait partie de l’offre

Électronique

(238 articles en ce moment)

Cette offre vous donne accès à :

Une base complète d’articles

Actualisée et enrichie d’articles validés par nos comités scientifiques

Des services

Un ensemble d'outils exclusifs en complément des ressources

Des modules pratiques

Opérationnels et didactiques, pour garantir l'acquisition des compétences transverses

Doc & Quiz

Des articles interactifs avec des quiz, pour une lecture constructive

ABONNEZ-VOUS

2. Effet de peau

L’effet de peau apparaît dans un métal pour des fréquences bien particulières. Un métal a en effet trois types de comportement selon la fréquence. Il y a le domaine de la conduction, qui concerne au premier chef les électoniciens, le domaine de relaxation pour l’infrarouge et l’optique, et le domaine de transmission pour l’ultraviolet.

Dans le cas général, l’équation (1), avec l’expression (2) en régime harmonique, entraîne :

( 3 )

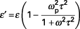
reportant cette expression dans l’équation de Maxwell en rot , on trouve la constante diélectrique équivalente. On pose :

( 4 )

avec :

est la pulsation de plasma.

2.1 Comportement d’un conducteur en fonction de la fréquence

Aux fréquences...

Cet article est réservé aux abonnés.
Il vous reste 92% à découvrir.

Pour explorer cet article
Téléchargez l'extrait gratuit

Vous êtes déjà abonné ?Connectez-vous !


L'expertise technique et scientifique de référence

La plus importante ressource documentaire technique et scientifique en langue française, avec + de 1 200 auteurs et 100 conseillers scientifiques.
+ de 10 000 articles et 1 000 fiches pratiques opérationnelles, + de 800 articles nouveaux ou mis à jours chaque année.
De la conception au prototypage, jusqu'à l'industrialisation, la référence pour sécuriser le développement de vos projets industriels.

Cet article fait partie de l’offre

Électronique

(238 articles en ce moment)

Cette offre vous donne accès à :

Une base complète d’articles

Actualisée et enrichie d’articles validés par nos comités scientifiques

Des services

Un ensemble d'outils exclusifs en complément des ressources

Des modules pratiques

Opérationnels et didactiques, pour garantir l'acquisition des compétences transverses

Doc & Quiz

Des articles interactifs avec des quiz, pour une lecture constructive

ABONNEZ-VOUS

Lecture en cours
Effet de peau
Sommaire
Sommaire

Cet article est réservé aux abonnés.
Il vous reste 93% à découvrir.

Pour explorer cet article
Téléchargez l'extrait gratuit

Vous êtes déjà abonné ?Connectez-vous !


L'expertise technique et scientifique de référence

La plus importante ressource documentaire technique et scientifique en langue française, avec + de 1 200 auteurs et 100 conseillers scientifiques.
+ de 10 000 articles et 1 000 fiches pratiques opérationnelles, + de 800 articles nouveaux ou mis à jours chaque année.
De la conception au prototypage, jusqu'à l'industrialisation, la référence pour sécuriser le développement de vos projets industriels.

Cet article fait partie de l’offre

Électronique

(238 articles en ce moment)

Cette offre vous donne accès à :

Une base complète d’articles

Actualisée et enrichie d’articles validés par nos comités scientifiques

Des services

Un ensemble d'outils exclusifs en complément des ressources

Des modules pratiques

Opérationnels et didactiques, pour garantir l'acquisition des compétences transverses

Doc & Quiz

Des articles interactifs avec des quiz, pour une lecture constructive

ABONNEZ-VOUS