Archive | Réf : M3021 v1

Comparaison des diverses mesures de déformation
Simulation physique de la mise en forme : mesure de la déformation

Auteur(s) : Pierre MONTMITONNET

Date de publication : 10 mars 1999

Pour explorer cet article
Télécharger l'extrait gratuit

Vous êtes déjà abonné ?Connectez-vous !

Sommaire

Présentation

Auteur(s)

  • Pierre MONTMITONNET : Ingénieur de l’École centrale de Paris - Directeur de recherche au CNRS - Responsable adjoint du groupe de recherche « Surface et Tribologie » au Centre de mise en forme des matériaux - École nationale supérieure des mines de Paris

Lire cet article issu d'une ressource documentaire complète, actualisée et validée par des comités scientifiques.

Lire l’article

INTRODUCTION

L’expérience de la déformation d’un corps est courante et permet une compréhension intuitive de la notion de déformation : à la différence d’un mouvement de corps rigide, on dit qu’un corps s’est déformé si les distances relatives de ses points matériels ont varié au cours du mouvement. Cela conduit à introduire de manière relativement simple la mesure de la déformation comme l’étude des variations de longueurs et d’angles d’éléments de matière, observées au cours du mouvement. Dans cet article, nous allons donner quelques idées générales sur les mesures mathématiques possibles de la déformation, que nous comparerons sur des exemples simples, et nous ferons le lien avec la simulation physique.

Nota :

Pour une étude théorique et pratique de la simulation physique des procédés de mise en forme, le lecteur se reportera à l’article [M 3 020] de ce traité.

Cet article est réservé aux abonnés.
Il vous reste 93% à découvrir.

Pour explorer cet article
Téléchargez l'extrait gratuit

Vous êtes déjà abonné ?Connectez-vous !


L'expertise technique et scientifique de référence

La plus importante ressource documentaire technique et scientifique en langue française, avec + de 1 200 auteurs et 100 conseillers scientifiques.
+ de 10 000 articles et 1 000 fiches pratiques opérationnelles, + de 800 articles nouveaux ou mis à jours chaque année.
De la conception au prototypage, jusqu'à l'industrialisation, la référence pour sécuriser le développement de vos projets industriels.

DOI (Digital Object Identifier)

https://doi.org/10.51257/a-v1-m3021


Cet article fait partie de l’offre

Mise en forme des métaux et fonderie

(125 articles en ce moment)

Cette offre vous donne accès à :

Une base complète d’articles

Actualisée et enrichie d’articles validés par nos comités scientifiques

Des services

Un ensemble d'outils exclusifs en complément des ressources

Des modules pratiques

Opérationnels et didactiques, pour garantir l'acquisition des compétences transverses

Doc & Quiz

Des articles interactifs avec des quiz, pour une lecture constructive

ABONNEZ-VOUS

Lecture en cours
Présentation

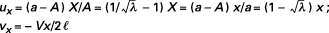
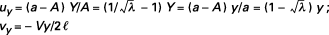
8. Comparaison des diverses mesures de déformation

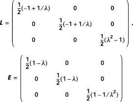
8.1 Traction simple

Considérons la figure 3. On tire sur le matériau à la vitesse V ; on pose λ =  /L, et on suppose le matériau incompressible :

...

Cet article est réservé aux abonnés.
Il vous reste 93% à découvrir.

Pour explorer cet article
Téléchargez l'extrait gratuit

Vous êtes déjà abonné ?Connectez-vous !


L'expertise technique et scientifique de référence

La plus importante ressource documentaire technique et scientifique en langue française, avec + de 1 200 auteurs et 100 conseillers scientifiques.
+ de 10 000 articles et 1 000 fiches pratiques opérationnelles, + de 800 articles nouveaux ou mis à jours chaque année.
De la conception au prototypage, jusqu'à l'industrialisation, la référence pour sécuriser le développement de vos projets industriels.

Cet article fait partie de l’offre

Mise en forme des métaux et fonderie

(125 articles en ce moment)

Cette offre vous donne accès à :

Une base complète d’articles

Actualisée et enrichie d’articles validés par nos comités scientifiques

Des services

Un ensemble d'outils exclusifs en complément des ressources

Des modules pratiques

Opérationnels et didactiques, pour garantir l'acquisition des compétences transverses

Doc & Quiz

Des articles interactifs avec des quiz, pour une lecture constructive

ABONNEZ-VOUS

Lecture en cours
Comparaison des diverses mesures de déformation
Sommaire
Sommaire

Cet article est réservé aux abonnés.
Il vous reste 95% à découvrir.

Pour explorer cet article
Téléchargez l'extrait gratuit

Vous êtes déjà abonné ?Connectez-vous !


L'expertise technique et scientifique de référence

La plus importante ressource documentaire technique et scientifique en langue française, avec + de 1 200 auteurs et 100 conseillers scientifiques.
+ de 10 000 articles et 1 000 fiches pratiques opérationnelles, + de 800 articles nouveaux ou mis à jours chaque année.
De la conception au prototypage, jusqu'à l'industrialisation, la référence pour sécuriser le développement de vos projets industriels.

Cet article fait partie de l’offre

Mise en forme des métaux et fonderie

(125 articles en ce moment)

Cette offre vous donne accès à :

Une base complète d’articles

Actualisée et enrichie d’articles validés par nos comités scientifiques

Des services

Un ensemble d'outils exclusifs en complément des ressources

Des modules pratiques

Opérationnels et didactiques, pour garantir l'acquisition des compétences transverses

Doc & Quiz

Des articles interactifs avec des quiz, pour une lecture constructive

ABONNEZ-VOUS