Présentation

Article

1 - PHÉNOMÈNES ÉLECTROSTATIQUES

2 - MAGNÉTOSTATIQUE

3 - MÉTHODE DE CALCUL DE GABRIEL KRON. COMMENT CALCULER LES INTERACTIONS DE FAÇON SIMPLE

4 - ONDES GUIDÉES

5 - NOTION DE CHAMP LOINTAIN

6 - PÉNÉTRATION DANS LES BLINDAGES DE CÂBLES. TRAITEMENTS DES BOÎTIERS BLINDÉS

7 - SOURCES DE BRUIT DANS LES CIRCUITS INTÉGRÉS

8 - PRINCIPALES INTERACTIONS DES PARTICULES AVEC LA MATIÈRE

  • 8.1 - Interactions électroniques-ions lourds : notions usuelles
  • 8.2 - Interactions photon-matière
  • 8.3 - Interactions des particules chargées avec la matière
  • 8.4 - Interactions nucléaires hadrons-matière

Archive | Réf : E1302 v1

Pénétration dans les blindages de câbles. Traitements des boîtiers blindés
Compatibilité électromagnétique - Notions fondamentales

Auteur(s) : Olivier MAURICE, Alain REINEIX, Etienne SICARD, Guillaume HUBERT

Date de publication : 10 mai 2011

Pour explorer cet article
Télécharger l'extrait gratuit

Vous êtes déjà abonné ?Connectez-vous !

Sommaire

Présentation

RÉSUMÉ

Cet article a pour objectif de rappeler et de fournir les fondamentaux théoriques et pratiques sur la compatibilité électromagnétique (CEM). Sont ainsi abordées les définitions et les descriptions des principales interactions électromagnétiques, depuis les interactions conduites, de champ proche, aux interactions rayonnées en champ lointain. Les mécanismes fondamentaux à la base des interactions entre des particules chargées et des composants, ainsi que les mécanismes de base qui permettent de comprendre les bruits engendrés par les circuits électroniques numériques de grandes tailles, sont détaillés.

Lire cet article issu d'une ressource documentaire complète, actualisée et validée par des comités scientifiques.

Lire l’article

INTRODUCTION

Cette partie a pour objet le rappel de notions fondamentales pour la CEM, qui pourront être utilisées dans l'ensemble des articles traitant de la CEM de projets. Des renvois sont effectués lorsque les notions rejoignent celles des cours d'électromagnétisme pour l'ingénieur. On s'attache ici à rappeler des notions plus spécifiques au métier de la compatibilité électromagnétique. On aborde tout d'abord les principes qui prévalent aux interactions conduites ou de champs proches (interactions électrostatiques, magnétostatiques). Puis on aborde les interactions d'ondes guidées ou rayonnées. Une méthode de calcul dite « méthode de Kron » est présentée dans le paragraphe 3, qui permet de calculer rapidement de nombreux problèmes et d'une façon très efficace. Cette méthode permettra à tout ingénieur d'évaluer des problèmes de CEM déjà complexes et qui ne seraient pas, ou très difficilement, calculables par l'intermédiaire des outils disponibles sur le marché. Comme la méthode est utilisée dans tous les paragraphes comme exemple et support d'exercices, nous la présentons en premier. Enfin nous abordons les effets des particules sur les composants et les approches « CEM » de ces derniers.

Cet article est réservé aux abonnés.
Il vous reste 95% à découvrir.

Pour explorer cet article
Téléchargez l'extrait gratuit

Vous êtes déjà abonné ?Connectez-vous !


L'expertise technique et scientifique de référence

La plus importante ressource documentaire technique et scientifique en langue française, avec + de 1 200 auteurs et 100 conseillers scientifiques.
+ de 10 000 articles et 1 000 fiches pratiques opérationnelles, + de 800 articles nouveaux ou mis à jours chaque année.
De la conception au prototypage, jusqu'à l'industrialisation, la référence pour sécuriser le développement de vos projets industriels.

VERSIONS

Il existe d'autres versions de cet article :

DOI (Digital Object Identifier)

https://doi.org/10.51257/a-v1-e1302


Cet article fait partie de l’offre

Électronique

(236 articles en ce moment)

Cette offre vous donne accès à :

Une base complète d’articles

Actualisée et enrichie d’articles validés par nos comités scientifiques

Des services

Un ensemble d'outils exclusifs en complément des ressources

Des modules pratiques

Opérationnels et didactiques, pour garantir l'acquisition des compétences transverses

Doc & Quiz

Des articles interactifs avec des quiz, pour une lecture constructive

ABONNEZ-VOUS

6. Pénétration dans les blindages de câbles. Traitements des boîtiers blindés

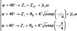
Nous avons vu dans l'exemple précédent le cas d'un calcul de transmission via un blindage de câble. L'impédance de transfert a globalement trois expressions en fonction de l'angle de tressage [13]. Ces expressions sont les fonctions de couplage à insérer dans la matrice de couplage [M]. Les expressions pour chaque type de tressage sont :

( 27 )

on viendra, suivant les informations dont on dispose sur le blindage utilisé, placer l'une ou l'autre de ces trois relations dans la matrice [M].

À partir des relations fondamentales de couplage entre le champ et des objets, on peut comprendre et prédire quelle sera la qualité de blindage de boîtiers.

Nous étudions ici la réponse d'une structure blindée à une onde de champ incidente dans le domaine harmonique.

Considérons une boîte métallique, que nous supposerons dans un premier temps hermétique, illuminée par une onde « plane » (caractérisée de mode TEM) comme présentée 19. Le champ magnétique induit une force électromotrice définie par la surface de flux multipliée par la dérivation en fréquence de l'expression du champ.

Cette fém –jω W.H.B est, dans le schéma équivalent du couplage, en série avec une inductance de valeur L = µW.H/P et une résistance des parois R, faisant intervenir l'épaisseur des parois q : R = 2 (W + H)/(σP.q). Le courant induit J par cette fém rayonne à son tour un champ magnétique Br dans le volume du boîtier. La force contre-électromotrice créée correspond au flux de ce champ de réaction. Soit jωW.H.Br = jLωJ. Par remplacement on trouve facilement que, au-delà de la fréquence de coupure R/L, le champ de réaction Br est égal en amplitude et opposé en signe à B. Le champ total B + Br dans le volume est alors nul. On pourra considérer que le champ électrique dans le volume est pratiquement nul (en réalité, un résidu lié à la résistance des parois...

Cet article est réservé aux abonnés.
Il vous reste 93% à découvrir.

Pour explorer cet article
Téléchargez l'extrait gratuit

Vous êtes déjà abonné ?Connectez-vous !


L'expertise technique et scientifique de référence

La plus importante ressource documentaire technique et scientifique en langue française, avec + de 1 200 auteurs et 100 conseillers scientifiques.
+ de 10 000 articles et 1 000 fiches pratiques opérationnelles, + de 800 articles nouveaux ou mis à jours chaque année.
De la conception au prototypage, jusqu'à l'industrialisation, la référence pour sécuriser le développement de vos projets industriels.

Cet article fait partie de l’offre

Électronique

(236 articles en ce moment)

Cette offre vous donne accès à :

Une base complète d’articles

Actualisée et enrichie d’articles validés par nos comités scientifiques

Des services

Un ensemble d'outils exclusifs en complément des ressources

Des modules pratiques

Opérationnels et didactiques, pour garantir l'acquisition des compétences transverses

Doc & Quiz

Des articles interactifs avec des quiz, pour une lecture constructive

ABONNEZ-VOUS

Lecture en cours
Pénétration dans les blindages de câbles. Traitements des boîtiers blindés
Sommaire
Sommaire

BIBLIOGRAPHIE

  • (1) - KRON -   Tensorial Analysis of Networks  -  (1939).

  • (2) - MAURICE (O.) -   La compatibilité électromagnétique des systèmes complexes  -  Hermès-Lavoisier (2007).

  • (3) - ANGOT (A.) -   Compléments de mathématiques pour l'ingénieur  -  Masson (1957).

  • (4) -   *  -  http://www.scilab.org

  • (5) - NOUGIER (J.P.) -   Méthode de calcul numérique  -  Hermès-Lavoisier (2001).

  • (6) - PAUL (C.R.) -   Electromagnetics for Engineer  -  Wiley ( ).

  • (7) - VABRE (J.P.) -   Monographie sur les lignes...

1 Sites Internet

Ibis Spécifications des différentes normes IBIS sur http://www.eda.org/ibis/home/specs/specs.htm (page consultée le 28/10/10)

IEC Spécifications des différentes normes modélisation composants (projet IEC 62433), méthodes de mesure en émission (IEC 61967) et immunité (IEC 62132) sur http://www.iec.ch. Voir détails dans la section « Normes et standards » ci-après (page consultée le 28/10/10)

ITRS The International Technology Roadmap for Semiconductors (ITRS), http://www.itrs.net, version 2009 (page consultée le 28/10/10)

HAUT DE PAGE

2 Normes et standards

International Electrotechnical Commission IEC http://www.iec.ch/

IEC 62433 - (2010) - EMC IC modelling – Part 1 : General modelling framework IEC 62 433-1 47A/840/DTS. - -

IEC 61967-1 - (2002-03) - Integrated circuits – Measurement of electromagnetic emissions, 150 kHz to 1 GHz – Part 1 : General conditions and definitions IEC 61967-1 - -

IEC 61967-1-1 - (2010) - Integrated circuits – Measurement of electromagnetic emissions – Part 1-1 : General conditions and definitions – Near-field scan data exchange format IEC/TR 61967-1-1 - -

IEC 61967-1-1 - (2005) - Integrated circuits – Measurement of electromagnetic emissions, 150 KHz to 1 GHz – Part 3 : Measurement of radiated emissions – Surface scan method IEC/TS 61967-3 - -

IEC 61967-2 - (2005) - Integrated circuits –...

Cet article est réservé aux abonnés.
Il vous reste 95% à découvrir.

Pour explorer cet article
Téléchargez l'extrait gratuit

Vous êtes déjà abonné ?Connectez-vous !


L'expertise technique et scientifique de référence

La plus importante ressource documentaire technique et scientifique en langue française, avec + de 1 200 auteurs et 100 conseillers scientifiques.
+ de 10 000 articles et 1 000 fiches pratiques opérationnelles, + de 800 articles nouveaux ou mis à jours chaque année.
De la conception au prototypage, jusqu'à l'industrialisation, la référence pour sécuriser le développement de vos projets industriels.

Cet article fait partie de l’offre

Électronique

(236 articles en ce moment)

Cette offre vous donne accès à :

Une base complète d’articles

Actualisée et enrichie d’articles validés par nos comités scientifiques

Des services

Un ensemble d'outils exclusifs en complément des ressources

Des modules pratiques

Opérationnels et didactiques, pour garantir l'acquisition des compétences transverses

Doc & Quiz

Des articles interactifs avec des quiz, pour une lecture constructive

ABONNEZ-VOUS