Présentation

Article

1 - SIMULATEUR INSTRUMENTAL LIDAR

2 - MÉTHODE LIDAR UTILISANT LA DIFFUSION ÉLASTIQUE

3 - PROFILS DE RÉTRODIFFUSION ET D'EXTINCTION PARTICULAIRE

  • 3.1 - Référence dans la couche de particules à étudier
  • 3.2 - Inversion continue entre zones avec et sans particules

4 - DÉPOLARISATION

5 - LIDAR RAMAN

6 - LIDAR EN ABSORPTION DIFFÉRENTIELLE

  • 6.1 - Principe DiAL
  • 6.2 - Épaisseur optique optimale et erreur aléatoire minimale
  • 6.3 - Autres contraintes sur la mesure DiAL

7 - LIDAR DOPPLER

8 - CONCLUSION

Archive | Réf : E4311 v1

Lidar en absorption différentielle
Lidars atmosphériques et météorologiques - Méthodes et applications

Auteur(s) : Pierre H. FLAMANT

Date de publication : 10 janv. 2010

Pour explorer cet article
Télécharger l'extrait gratuit

Vous êtes déjà abonné ?Connectez-vous !

Sommaire

Présentation

RÉSUMÉ

Cet article présente les différentes méthodes de télédétection par lasers (LIDAR) atmosphériques, leurs applications ainsi que des exemples illustratifs. La méthode LIDAR basée sur la diffusion élastique par les molécules et les particules est la plus fréquemment mise en oeuvre. Des réseaux de LIDAR sont aujourd'hui développés pour la surveillance des aérosols et pour établir des climatologies nuageuses très documentées. Cette méthode simple et efficace est complétée par des mesures de dépolarisation et bien souvent par des mesures Raman vibrationnelles utilisant l'azote de l'air pour une meilleure restitution des grandeurs recherchées. La présentation des principes des autres méthodes, Raman, absorption différentielle et Doppler, complète le panorama des LIDAR atmosphériques et météorologiques usuels.

Lire cet article issu d'une ressource documentaire complète, actualisée et validée par des comités scientifiques.

Lire l’article

Auteur(s)

  • Pierre H. FLAMANT : Directeur de recherche au CNRS - Laboratoire de météorologie dynamique/Institut Pierre-Simon-Laplace - unité mixte École normale supérieure/École Polytechnique/CNRS/université Pierre-et-Marie-Curie

INTRODUCTION

Cet article (E4311, suite de l'article [E 4 310]), présente les différentes méthodes lidar pour des mesures résolues en distance : 1) de l'altitude, de la structure et des propriétés optiques des nuages et des couches d'aérosols ; 2) des profils de concentration des gaz minoritaires : vapeur d'eau, ozone, gaz carbonique, polluants ; 3) des champs de vitesse et de turbulence. Ces différentes méthodes lidar utilisent toutes la diffusion élastique par les molécules (diffusion dite Rayleigh) et par les particules (diffusion dite Mie) comme support de la mesure. La signature de la variable étudiée sur la mesure peut être la diffusion élastique elle-même ou les autres processus d'interaction lumière-matière : dépolarisation par les particules non sphériques, diffusion inélastique Raman par les molécules, absorption différentielle par les molécules et changement de fréquence par effet Doppler. Ces processus spectroscopiques élémentaires sont présentés dans l'article [E 4 310], ainsi que les caractéristiques instrumentales des lidars et en particulier les lasers de sondage et les différents modes de détection. L'article [E 4 310] présente aussi une description de l'atmosphère, nécessaire à la compréhension des besoins en observations. Aujourd'hui, en cette fin de première décennie du XXIe siècle, les lidars dans l'espace sont incontournables comme le montre la succession de missions en cours et programmées, et l'on peut penser qu'avec la maturité technologique, les réseaux de lidars opérationnels vont s'amplifier tant pour la surveillance de la qualité de l'air dans les grandes villes que comme complément aux mesures spatiales. De plus, chaque fois que se posera la question d'une très grande précision, comme dans le cas des gaz à effet de serre et du CO2 par exemple, la technique lidar sera un candidat très sérieux aux applications spatiales et aéroportées.

Cet article est réservé aux abonnés.
Il vous reste 94% à découvrir.

Pour explorer cet article
Téléchargez l'extrait gratuit

Vous êtes déjà abonné ?Connectez-vous !


L'expertise technique et scientifique de référence

La plus importante ressource documentaire technique et scientifique en langue française, avec + de 1 200 auteurs et 100 conseillers scientifiques.
+ de 10 000 articles et 1 000 fiches pratiques opérationnelles, + de 800 articles nouveaux ou mis à jours chaque année.
De la conception au prototypage, jusqu'à l'industrialisation, la référence pour sécuriser le développement de vos projets industriels.

VERSIONS

Il existe d'autres versions de cet article :

DOI (Digital Object Identifier)

https://doi.org/10.51257/a-v1-e4311


Cet article fait partie de l’offre

Technologies radars et applications

(81 articles en ce moment)

Cette offre vous donne accès à :

Une base complète d’articles

Actualisée et enrichie d’articles validés par nos comités scientifiques

Des services

Un ensemble d'outils exclusifs en complément des ressources

Des modules pratiques

Opérationnels et didactiques, pour garantir l'acquisition des compétences transverses

Doc & Quiz

Des articles interactifs avec des quiz, pour une lecture constructive

ABONNEZ-VOUS

Lecture en cours
Présentation

6. Lidar en absorption différentielle

La méthode lidar par absorption différentielle ou DiAL est utilisée pour mesurer les profils de concentration de gaz minoritaires : vapeur d'eau, O3, NO2, SO2, CO2, CH4, ....

Les spectres d'absorption des petites molécules atmosphériques se présentent sous la forme de raies étroites et séparées dans le proche infrarouge et l'infrarouge (transitions entre niveaux de vibration-rotation), et sous la forme de spectres larges et peu structurés dans l'ultraviolet et le visible (transitions entre niveaux électroniques).

Pour une mesure différentielle, deux longueurs d'onde laser sont nécessaires. Dans le cas d'une absorption en raie étroite, une des longueurs d'onde λa est accordée au maximum d'absorption ou en flanc de raie par exemple alors que l'autre longueur d'onde λr est utilisée comme référence dans une région spectrale sans absorption, ou d'absorption négligeable (figure 9). Les deux longueurs d'onde sont émises en alternance et le système de détection utilise un seul photodétecteur.

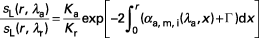
6.1 Principe DiAL

Lorsque l'absorption par les molécules (m,i) que l'on étudie est négligeable à la longueur d'onde de référence : αa,m,i(λr,r) = 0, et s'il n'y a pas d'interférence spectrale avec l'absorption d'autres gaz, le rapport des signaux lidar aux deux longueurs d'onde ne dépend que de la différence en absorption que l'on cherche à mesurer avec un terme résiduel Γ et du rapport des constantes instrumentales :

Le terme résiduel s'annule lorsque λa et λr sont suffisamment proches, et en pratique : . Il est donc essentiel de mesurer les énergies laser émise pour normaliser les signaux lidar.

Comme : , le profil de concentration des molécules (m,i) est donné par :

...

Cet article est réservé aux abonnés.
Il vous reste 93% à découvrir.

Pour explorer cet article
Téléchargez l'extrait gratuit

Vous êtes déjà abonné ?Connectez-vous !


L'expertise technique et scientifique de référence

La plus importante ressource documentaire technique et scientifique en langue française, avec + de 1 200 auteurs et 100 conseillers scientifiques.
+ de 10 000 articles et 1 000 fiches pratiques opérationnelles, + de 800 articles nouveaux ou mis à jours chaque année.
De la conception au prototypage, jusqu'à l'industrialisation, la référence pour sécuriser le développement de vos projets industriels.

Cet article fait partie de l’offre

Technologies radars et applications

(81 articles en ce moment)

Cette offre vous donne accès à :

Une base complète d’articles

Actualisée et enrichie d’articles validés par nos comités scientifiques

Des services

Un ensemble d'outils exclusifs en complément des ressources

Des modules pratiques

Opérationnels et didactiques, pour garantir l'acquisition des compétences transverses

Doc & Quiz

Des articles interactifs avec des quiz, pour une lecture constructive

ABONNEZ-VOUS

Lecture en cours
Lidar en absorption différentielle
Sommaire
Sommaire

BIBLIOGRAPHIE

  • (1) - BACHMAN (C.G.) -   Laser Radar Systems and Techniques.  -  Norwood (MA) : Artech House, Boston & London (1979).

  • (2) - BANKH (V.A.), MIRONOV (V.L.) -   Lidar in a turbulent atmosphere.  -  Artech House, Boston & London (1987).

  • (3) - FUJII (T.), FUKUCHI (T.) -   Laser remote sensing.  -  Taylor & Francis, Boca Raton, FL, USA, (Ed.) (2005).

  • (4) - HINKLEY (E.D.) -   Laser monitoring of the atmosphere.  -  Springer-Verlag, Berlin, (Ed.) (1976).

  • (5) - JELALIAN (A.V.) -   Laser radar systems.  -  Artech House, Boston (1992).

  • (6) - KINGSTON (R.H.) -   Detection of Optical and Infrared Radiation.  -  Springer, Berlin (1978).

  • (7)...

NORMES

  • Sécurité des appareils à laser. Partie 1 : classification des matériels et exigences. - CEI 60825-1 - 2007

  • American National Standard for safe Use of Lasers. - ANSI Z136.1 - 2007

1 Supports numériques

FASCODE http://www.jcdpublishing.com/software.html

HITRAN http://cfa-www.harvard.edu/hitran/

MODTRAN http://geosci.uchicago.edu/~archer/cgimodels/radiation.html

GEISA http://ara.lmd.polytechnique.fr/htdocs-public/products/GEISA/HTML-GEISA/GeisaAccess.html

HAUT DE PAGE

2 Événements

International Lidar Mapping Forum (annuel) http://www.lidarmap.org/

HAUT DE PAGE

3 Annuaire

International Coordination Group for Laser Atmospheric Studies (ICLAS) http://iclas.hamptonu.edu/

European Aerosol Research Lidar Network to establish an aerosol Climatology (EARLINET) http://www.earlinet.org/

Agence spatiale européenne (ASE), programme Living Planet (les projets de missions sont à rechercher dans Earth Explorers) http://www.esa.int/esaLP/

Centre national...

Cet article est réservé aux abonnés.
Il vous reste 95% à découvrir.

Pour explorer cet article
Téléchargez l'extrait gratuit

Vous êtes déjà abonné ?Connectez-vous !


L'expertise technique et scientifique de référence

La plus importante ressource documentaire technique et scientifique en langue française, avec + de 1 200 auteurs et 100 conseillers scientifiques.
+ de 10 000 articles et 1 000 fiches pratiques opérationnelles, + de 800 articles nouveaux ou mis à jours chaque année.
De la conception au prototypage, jusqu'à l'industrialisation, la référence pour sécuriser le développement de vos projets industriels.

Cet article fait partie de l’offre

Technologies radars et applications

(81 articles en ce moment)

Cette offre vous donne accès à :

Une base complète d’articles

Actualisée et enrichie d’articles validés par nos comités scientifiques

Des services

Un ensemble d'outils exclusifs en complément des ressources

Des modules pratiques

Opérationnels et didactiques, pour garantir l'acquisition des compétences transverses

Doc & Quiz

Des articles interactifs avec des quiz, pour une lecture constructive

ABONNEZ-VOUS