Contactez-nous
Bilan de l’énergie cinétique. Équation de Bernoulli généralisée
Écoulement des fluides - Équations de bilans
BE8153 v1 Archive

Bilan de l’énergie cinétique. Équation de Bernoulli généralisée
Écoulement des fluides - Équations de bilans

Auteur(s) : André LALLEMAND

Date de publication : 10 juil. 1999

Logo Techniques de l'Ingenieur Cet article est réservé aux abonnés
Pour explorer cet article plus en profondeur Consulter l'extrait gratuit

Déjà abonné ?

Présentation

1 - Bilan d’une grandeur quelconque. Équation de bilan

2 - Bilan de la masse

3 - Bilan de la quantité de mouvement

4 - Bilan de l’énergie cinétique. Équation de Bernoulli généralisée

5 - Bilan de l’énergie. Premier principe

  • 5.1 - Cas général
  • 5.2 - Fluide pesant en contact avec des éléments mobiles d’une machine
  • 5.3 - Fluide pesant s’écoulant dans un filet de courant et traversant une machine
  • 5.4 - Équation de la thermique des fluides en écoulement
Sommaire

Présentation

Auteur(s)

  • André LALLEMAND : Ingénieur, Docteur ès sciences - Professeur des Universités à l’Institut National des Sciences Appliquées de Lyon

Lire cet article issu d'une ressource documentaire complète, actualisée et validée par des comités scientifiques.

Lire l’article

INTRODUCTION

Les systèmes énergétiques sont, par essence même, le siège de transferts et, pour l’essentiel, de transferts de masse et de chaleur. C’est en particulier le cas lorsque ces systèmes comportent, ce qui est très fréquent, des fluides en écoulement. La qualité énergétique des transferts de chaleur est évidente. Dans le cas des transferts de masse, l’énergie est sous-jacente ; elle se trouve sous forme d’énergie interne (caractérisée essentiellement par le niveau de température), d’enthalpie (l’énergie interne associée à l’énergie potentielle de pression), d’énergie cinétique, d’énergie potentielle gravifique, d’énergie chimique, etc.

La connaissance des transferts lors des écoulements de fluides apparaît ainsi comme fondamentale pour résoudre un grand nombre de problèmes énergétiques. Deux analyses différentes sont généralement appliquées pour cela : l’une est du type local, l’autre du type global. L’une et l’autre peuvent être abordées par la même étude, celle des bilans que nous présentons dans cet article.

Quelle que soit la grandeur examinée, il est possible d’écrire que sa variation au cours du temps, pour un domaine donné, est due à un flux de cette grandeur à travers la frontière du domaine, à une diffusion de la grandeur par rapport au flux moyen (superposition d’un mouvement microscopique au mouvement macroscopique observé) et à des sources ou production (positive ou négative) de cette grandeur. La traduction de ce principe (de bon sens) sous forme « mathématique » est l’équation générale des bilans. Son application à la masse d’un fluide conduit à l’équation dite de conservation de la masse (pas de source ni de diffusion). Si la grandeur est la quantité de mouvement, c’est le principe de Newton qui est traduit par cette équation de bilan dans laquelle la diffusion est due à la viscosité du fluide, la source étant due aux diverses forces de champ et de pression. Enfin, le premier principe de la thermodynamique se retrouve dans l’équation du bilan de l’énergie qui débouche sur un bilan enthalpique et dont le terme diffusif correspond à la conduction (linéaire-loi de Fourier) de la chaleur dans le fluide et le terme source à des apports thermiques par rayonnement par exemple ou par réactions chimiques. Le bilan de l’énergie cinétique présenté dans cet article n’est pas un bilan indépendant par rapport aux autres bilans. Il n’est qu’une présentation « mécanicienne » du bilan de l’énergie et correspond en fait à l’intégration, sur une direction d’espace, du bilan de la quantité de mouvement. D’autres bilans classiques auraient pu être présentés dans cet article, notamment celui des espèces (pour les écoulements de mélanges réactifs ou non) et celui de l’entropie. On ne l’a pas fait, afin de ne pas trop surcharger cette « introduction » à l’étude des bilans.

Par transformation mathématique d’intégrales, toutes les équations de bilans peuvent prendre une forme locale à partir de laquelle une intégration, quasiment toujours numérique, doit permettre, compte tenu des conditions aux limites et initiales, de déterminer les champs vectoriels (vitesses) et scalaires (pression, température, masse volumique, etc.) et les transferts dans la totalité du domaine d’écoulement étudié. Cette résolution étant dans de nombreux cas longue, voire délicate, et nécessitant des moyens de calcul importants en matériel et logiciel, des formes globales ou intégrées peuvent être utilisées. Elles sont beaucoup moins riches en renseignements et nécessitent souvent de procéder à des hypothèses simplificatrices et de faire appel à des connaissances empiriques. Leur utilisation est plus légère, ce qui les rend encore attractives dans la résolution (souvent approchée) de beaucoup de problèmes pratiques. Les formes globales présentées dans cet article concernent l’intégration des équations de bilan à des domaines particuliers : ceux qui sont délimités par deux sections droites et un tube de courant, ou mieux, un filet de courant. Les équations correspondantes sont celles du débit à travers une section, celle de l’enthalpie, celles d’Euler et de Bernoulli dont les applications sont nombreuses, notamment dans les systèmes thermiques.

Logo Techniques de l'Ingenieur

Cet article est réservé aux abonnés.
Il vous reste 92 % à découvrir.

Pour explorer cet article Consulter l'extrait gratuit

Déjà abonné ?


VERSIONS

Il existe d'autres versions de cet article :

DOI (Digital Object Identifier)

https://doi.org/10.51257/a-v1-be8153

Article inclus dans l'offre

"Transport fluvial et maritime"

(53 articles)

Une base complète d’articles

Actualisée et enrichie d’articles validés par nos comités scientifiques.

Des contenus enrichis

Quiz, médias, tableaux, formules, vidéos, etc.

Des modules pratiques

Opérationnels et didactiques, pour garantir l'acquisition des compétences transverses.

Des avantages inclus

Un ensemble de services exclusifs en complément des ressources.

Voir l'offre

4. Bilan de l’énergie cinétique. Équation de Bernoulli généralisée

4.1 Cas général

Le théorème de l’énergie cinétique s’énonce :

La variation de l’énergie cinétique pendant l’unité de temps d’un système matériel est égale à la puissance exercée par les forces intérieures et extérieures appliquées à ce système.

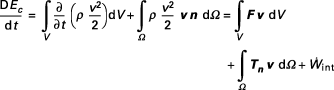
Pour traduire ce théorème, on utilise l’équation de bilan d’une grandeur scalaire [équation [1]]. Ici, la grandeur scalaire G est l’énergie cinétique Ec du fluide contenu à l’instant t dans le volume V et la grandeur volumique g, l’énergie cinétique par unité de volume ρv2/2. Alors, en notant par Ω la surface frontière avec le milieu extérieur, on a :

( 32 )

Dans le membre de droite se trouvent :

  • la puissance des forces extérieures volumiques (à distance) ;

  • la puissance des forces de surface (pression et viscosité) ;

  • la puissance des forces intérieures au système.

Cette dernière puissance est due aux forces de pression et de viscosité à l’intérieur même du volume. Pour un volume élémentaire parallélépipédique (figure 11), le déplacement relatif de deux côtés du volume est dû à la différence des vitesses. Par exemple, ce déplacement au cours du temps dt de la face j selon la direction i vaut :

Le...

Logo Techniques de l'Ingenieur

Cet article est réservé aux abonnés.
Il vous reste 92 % à découvrir.

Pour explorer cet article Consulter l'extrait gratuit

Déjà abonné ?


Lecture en cours
Bilan de l’énergie cinétique. Équation de Bernoulli généralisée

Article inclus dans l'offre

"Transport fluvial et maritime"

(53 articles)

Une base complète d’articles

Actualisée et enrichie d’articles validés par nos comités scientifiques.

Des contenus enrichis

Quiz, médias, tableaux, formules, vidéos, etc.

Des modules pratiques

Opérationnels et didactiques, pour garantir l'acquisition des compétences transverses.

Des avantages inclus

Un ensemble de services exclusifs en complément des ressources.

Voir l'offre

Sommaire
Sommaire
Logo Techniques de l'Ingenieur

Cet article est réservé aux abonnés.
Il vous reste 93 % à découvrir.

Pour explorer cet article Consulter l'extrait gratuit

Déjà abonné ?


Article inclus dans l'offre

"Transport fluvial et maritime"

(53 articles)

Une base complète d’articles

Actualisée et enrichie d’articles validés par nos comités scientifiques.

Des contenus enrichis

Quiz, médias, tableaux, formules, vidéos, etc.

Des modules pratiques

Opérationnels et didactiques, pour garantir l'acquisition des compétences transverses.

Des avantages inclus

Un ensemble de services exclusifs en complément des ressources.

Voir l'offre