Présentation

Article

1 - RAPPORT SIGNAL À BRUIT D'UNE LIAISON SOUS-MARINE

2 - QUALITÉ DE TRANSMISSION ET FORMATS DE MODULATION

3 - BILAN DE LIAISON

4 - TYPES DE FIBRE

5 - CARACTÉRISTIQUES DES CÂBLES SOUS-MARINS

6 - RÉPÉTEUR ET UNITÉ DE BRANCHEMENT EN MER

7 - POSE ET RÉPARATION DE CÂBLE

8 - LIAISONS SOUS-MARINES SANS RÉPÉTEUR

9 - CONCLUSION

Archive | Réf : E7105 v1

Qualité de transmission et formats de modulation
Câbles sous-marins de télécommunication à fibre optique

Auteur(s) : Olivier GAUTHERON

Date de publication : 10 oct. 2011

Pour explorer cet article
Télécharger l'extrait gratuit

Vous êtes déjà abonné ?Connectez-vous !

Sommaire

Présentation

Auteur(s)

Lire cet article issu d'une ressource documentaire complète, actualisée et validée par des comités scientifiques.

Lire l’article

INTRODUCTION

Les câbles TAT 12 et TAT 13 déployés en 1995 et 1996 entre l'Europe et les États-Unis sont les premiers câbles sous-marins à mettre en œuvre la technologie d'amplification optique : ils transmettent alors une longueur d'onde modulée à 5 Gbit/s par paire de fibres. Depuis, la capacité de transmission a été multipliée par 500 pour atteindre 2,56 Tbit/s par paire de fibres en 2010. Quelles ont été les technologies mises en œuvre et les obstacles à contourner pour permettre une telle croissance de la capacité, voilà qui fera l'objet de la première partie de cet article. Avec tout d'abord la technique de multiplexage en longueur d'onde : en 1999, le câble Columbus 3 reliait le Portugal aux États-Unis sur une distance de 7 340 km, en transmettant 8 longueurs d'onde modulées à 2,5 Gbit/s, offrant ainsi une capacité de 20 Gbit/s par paire de fibre. Par la suite, l'augmentation du débit par longueur d'onde, porta les capacités à 80 × 10 Gbit/s, soit 800 Gbit/s par paire de fibres comme sur le câble transatlantique Apollo (6 300 km) déployé en 2003. Enfin, en 2011, grâce à l'arrivée du multiplexage en polarisation et de la détection cohérente, il est désormais possible de transmettre 64 longueurs d'onde modulées à 40 Gbit/s sur une paire de fibres.

Bien que semblable à celle des liaisons terrestres en termes d'objectif de capacité de transmission, la conception des liaisons sous-marines doit en revanche tenir compte de contraintes très spécifiques telles que :

  • la distance de transmission, qui peut atteindre 12 000 km (soit 200 répéteurs cascadés) ;

  • la fiabilité des répéteurs, dont le taux de panne doit être inférieur à 1 % pendant la durée de vie de la liaison, soit 25 ans ;

  • la compatibilité à la très haute tension : les amplificateurs optiques ne pouvant être alimentés localement, une liaison sous-marine est alimentée en courant continu depuis les stations d'extrémité terrestres, ce qui nécessite le transport de tensions pouvant atteindre 12 kV ;

  • l'étanchéité à l'eau mais aussi au gaz comme l'hydrogène ;

  • la résistance à la pression qui peut atteindre 800 bar ;

  • la résistance à la tension, notamment lors de réparation de câbles par 8 000 m de fonds.

Nous aborderons également les opérations marines concernant le repérage du tracé, la pose par ensouillage et la réparation d'une liaison sous-marine.

Le dernier paragraphe est consacré aux liaisons sous-marines sans répéteur dont la conception fait appel à des technologies différentes des liaisons sous-marines amplifiées, comme par exemple l'amplification déportée ou l'amplification distribuée de type Raman.

Cet article est réservé aux abonnés.
Il vous reste 95% à découvrir.

Pour explorer cet article
Téléchargez l'extrait gratuit

Vous êtes déjà abonné ?Connectez-vous !


L'expertise technique et scientifique de référence

La plus importante ressource documentaire technique et scientifique en langue française, avec + de 1 200 auteurs et 100 conseillers scientifiques.
+ de 10 000 articles et 1 000 fiches pratiques opérationnelles, + de 800 articles nouveaux ou mis à jours chaque année.
De la conception au prototypage, jusqu'à l'industrialisation, la référence pour sécuriser le développement de vos projets industriels.

VERSIONS

Il existe d'autres versions de cet article :

DOI (Digital Object Identifier)

https://doi.org/10.51257/a-v1-e7105


Cet article fait partie de l’offre

Réseaux Télécommunications

(140 articles en ce moment)

Cette offre vous donne accès à :

Une base complète d’articles

Actualisée et enrichie d’articles validés par nos comités scientifiques

Des services

Un ensemble d'outils exclusifs en complément des ressources

Des modules pratiques

Opérationnels et didactiques, pour garantir l'acquisition des compétences transverses

Doc & Quiz

Des articles interactifs avec des quiz, pour une lecture constructive

ABONNEZ-VOUS

Lecture en cours
Présentation

2. Qualité de transmission et formats de modulation

2.1 Définition du facteur Q à partir du taux d'erreur

La qualité de transmission est donnée par le taux d'erreur binaire (BER pour Bit Error Ratio).

Le taux d'erreur BER s'exprime en puissance négative. Par exemple, BER = 10–3 signifie que l'on a 1 erreur binaire pour 1 000 bit transmis.

Cependant, en pratique, le paramètre utilisé pour quantifier la qualité de transmission est le facteur Q qui est relié au BER par la formule (4) :

( 4 )

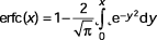
où erfc(x ) est la fonction d'erreur complémentaire donnée par la formule (5) :

( 5 )

Dans le cas où Q > 3, on a la relation analytique (6) :

( 6 )

Le facteur Q est très souvent exprimé en dB selon la relation :

La raison pour laquelle QdB est défini par l'expression 10 lg(Q2) et non pas 10 lg(Q) découle de la formule (7) qui montre que si , alors Q2 et OSNR sont proportionnels : on déduit que toute variation...

Cet article est réservé aux abonnés.
Il vous reste 93% à découvrir.

Pour explorer cet article
Téléchargez l'extrait gratuit

Vous êtes déjà abonné ?Connectez-vous !


L'expertise technique et scientifique de référence

La plus importante ressource documentaire technique et scientifique en langue française, avec + de 1 200 auteurs et 100 conseillers scientifiques.
+ de 10 000 articles et 1 000 fiches pratiques opérationnelles, + de 800 articles nouveaux ou mis à jours chaque année.
De la conception au prototypage, jusqu'à l'industrialisation, la référence pour sécuriser le développement de vos projets industriels.

Cet article fait partie de l’offre

Réseaux Télécommunications

(140 articles en ce moment)

Cette offre vous donne accès à :

Une base complète d’articles

Actualisée et enrichie d’articles validés par nos comités scientifiques

Des services

Un ensemble d'outils exclusifs en complément des ressources

Des modules pratiques

Opérationnels et didactiques, pour garantir l'acquisition des compétences transverses

Doc & Quiz

Des articles interactifs avec des quiz, pour une lecture constructive

ABONNEZ-VOUS

Lecture en cours
Qualité de transmission et formats de modulation
Sommaire
Sommaire

BIBLIOGRAPHIE

  • (1) - CHESNOY (J.) -   Undersea fiber communication systems.  -  Academic Press (2002).

  • (2) - AGRAWAL (G.P.) -   Fiber-optic communication systems.  -  Wiley Interscience, 3e édition (2002).

  • (3) - AGRAWAL (G.P.) -   Nonlinear fiber optics.  -  Academic Press, 3e édition (2001).

  • (4) - DESURVIRE (E.) -   Erbium-doped fiber amplifiers – Principles and applications.  -  Wiley Interscience (2002).

  • (5) -   *  -  Proceedings of SubOPtic 2001, Kyoto, 20-24 mai 2001.

  • (6) -   *  -  Proceedings of SubOPtic 2004, Monaco, mars-avril 2004.

  • (7) -   *  -  Proceedings of...

1 Normes et standards

Recommandations ITU (International Telecommunication Union ) concernant les câbles sous-marins à fibre optique :

  • G971 : General features of optical fibre submarine cable systems ;

  • G972 : Definition of terms relevant to optical fiber submarine cable systems ;

  • G973 : Characteristics of repeaterless optical fiber submarine cable systems ;

  • G973.1 : Longitudinally compatible DWDM applications for repeaterless optical fiber submarine cable systems ;

  • G974 : Characteristics of regenerative optical fiber submarine cable systems ;

  • G975 : Forward error correction for submarine systems ;

  • G 975.1 : Forward error correction for high bit rate DWDM submarine systems ;

  • G976 : Test methods applicable to optical fiber submarine cable systems ;

  • G977 : Characteristics of optically amplified optical fiber submarine cable systems ;

  • G978 : Characteristics of optical fiber submarine cables.

Ces recommandations sont disponibles à l'adresse URL suivante : http://www.itu.int/itut/recommendations/index.aspx

HAUT DE PAGE

Cet article est réservé aux abonnés.
Il vous reste 93% à découvrir.

Pour explorer cet article
Téléchargez l'extrait gratuit

Vous êtes déjà abonné ?Connectez-vous !


L'expertise technique et scientifique de référence

La plus importante ressource documentaire technique et scientifique en langue française, avec + de 1 200 auteurs et 100 conseillers scientifiques.
+ de 10 000 articles et 1 000 fiches pratiques opérationnelles, + de 800 articles nouveaux ou mis à jours chaque année.
De la conception au prototypage, jusqu'à l'industrialisation, la référence pour sécuriser le développement de vos projets industriels.

Cet article fait partie de l’offre

Réseaux Télécommunications

(140 articles en ce moment)

Cette offre vous donne accès à :

Une base complète d’articles

Actualisée et enrichie d’articles validés par nos comités scientifiques

Des services

Un ensemble d'outils exclusifs en complément des ressources

Des modules pratiques

Opérationnels et didactiques, pour garantir l'acquisition des compétences transverses

Doc & Quiz

Des articles interactifs avec des quiz, pour une lecture constructive

ABONNEZ-VOUS