Archive | Réf : C4200 v2

Exemple de calcul d’ouvrages d’écoulement pluvial
Assainissement des agglomérations

Auteur(s) : Louis COLOMBET

Date de publication : 10 août 1990

Pour explorer cet article
Télécharger l'extrait gratuit

Vous êtes déjà abonné ?Connectez-vous !

Sommaire

Présentation

Auteur(s)

Lire cet article issu d'une ressource documentaire complète, actualisée et validée par des comités scientifiques.

Lire l’article

INTRODUCTION

avec la collaboration du Cabinet d’Études Marc Merlin.

Le présent article traite de l’évacuation, hors des agglomérations urbaines ou rurales, des eaux de toute nature, ainsi que des déchets de l’activité humaine, qui en sont inséparables. Cette évacuation se fait presque toujours par voie souterraine, dans des égouts.

Il faut remarquer que l’évacuation, par la même voie hydraulique, des ordures ménagères préalablement broyées par un appareil posé sous évier est actuellement interdite en France par les règlements.

On examinera successivement la nature des eaux à évacuer, les caractéristiques des effluents (pollution, débits), les caractéristiques des ouvrages destinés à l’évacuation, la construction et enfin l’exploitation de ces ouvrages.

Cet article est réservé aux abonnés.
Il vous reste 93% à découvrir.

Pour explorer cet article
Téléchargez l'extrait gratuit

Vous êtes déjà abonné ?Connectez-vous !


L'expertise technique et scientifique de référence

La plus importante ressource documentaire technique et scientifique en langue française, avec + de 1 200 auteurs et 100 conseillers scientifiques.
+ de 10 000 articles et 1 000 fiches pratiques opérationnelles, + de 800 articles nouveaux ou mis à jours chaque année.
De la conception au prototypage, jusqu'à l'industrialisation, la référence pour sécuriser le développement de vos projets industriels.

VERSIONS

Il existe d'autres versions de cet article :

DOI (Digital Object Identifier)

https://doi.org/10.51257/a-v2-c4200


Cet article fait partie de l’offre

Travaux publics et infrastructures

(82 articles en ce moment)

Cette offre vous donne accès à :

Une base complète d’articles

Actualisée et enrichie d’articles validés par nos comités scientifiques

Des services

Un ensemble d'outils exclusifs en complément des ressources

Des modules pratiques

Opérationnels et didactiques, pour garantir l'acquisition des compétences transverses

ABONNEZ-VOUS

Lecture en cours
Présentation

6. Exemple de calcul d’ouvrages d’écoulement pluvial

On se propose de calculer les canalisations des ouvrages d’écoulement pluvial de la figure 14.

  • Calcul des bassins élémentaires (tableau 9)

    • Bassin élémentaire 1

      S1 = 5,10 ha ; C1 = 0,27

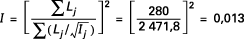
      Calcul de I :

       [5]]

      (ici Lj est exprimé en hm) d’où m = 1,20.

      Débit brut :

      Qb = 1,601 I 0,27 C 1,19 S 0,8 = 0,387 m3/s [formule [6]]

      Débit corrigé [à l’aide de la formule [8], § 2.2.1.3.2...

Cet article est réservé aux abonnés.
Il vous reste 94% à découvrir.

Pour explorer cet article
Téléchargez l'extrait gratuit

Vous êtes déjà abonné ?Connectez-vous !


L'expertise technique et scientifique de référence

La plus importante ressource documentaire technique et scientifique en langue française, avec + de 1 200 auteurs et 100 conseillers scientifiques.
+ de 10 000 articles et 1 000 fiches pratiques opérationnelles, + de 800 articles nouveaux ou mis à jours chaque année.
De la conception au prototypage, jusqu'à l'industrialisation, la référence pour sécuriser le développement de vos projets industriels.

Cet article fait partie de l’offre

Travaux publics et infrastructures

(82 articles en ce moment)

Cette offre vous donne accès à :

Une base complète d’articles

Actualisée et enrichie d’articles validés par nos comités scientifiques

Des services

Un ensemble d'outils exclusifs en complément des ressources

Des modules pratiques

Opérationnels et didactiques, pour garantir l'acquisition des compétences transverses

ABONNEZ-VOUS

Lecture en cours
Exemple de calcul d’ouvrages d’écoulement pluvial
Sommaire
Sommaire

Cet article est réservé aux abonnés.
Il vous reste 93% à découvrir.

Pour explorer cet article
Téléchargez l'extrait gratuit

Vous êtes déjà abonné ?Connectez-vous !


L'expertise technique et scientifique de référence

La plus importante ressource documentaire technique et scientifique en langue française, avec + de 1 200 auteurs et 100 conseillers scientifiques.
+ de 10 000 articles et 1 000 fiches pratiques opérationnelles, + de 800 articles nouveaux ou mis à jours chaque année.
De la conception au prototypage, jusqu'à l'industrialisation, la référence pour sécuriser le développement de vos projets industriels.

Cet article fait partie de l’offre

Travaux publics et infrastructures

(82 articles en ce moment)

Cette offre vous donne accès à :

Une base complète d’articles

Actualisée et enrichie d’articles validés par nos comités scientifiques

Des services

Un ensemble d'outils exclusifs en complément des ressources

Des modules pratiques

Opérationnels et didactiques, pour garantir l'acquisition des compétences transverses

ABONNEZ-VOUS