Présentation

Article

1 - RÉPONSE INDICIELLE DE SYSTÈMES LINÉAIRES À CONSTANTES LOCALISÉES

2 - PROPAGATION SUR LIGNE DE TRANSMISSION À DEUX CONDUCTEURS

3 - LIGNES SANS PERTES

4 - LIGNES AVEC PERTES

5 - LIGNES COUPLÉES (DIAPHONIE)

6 - LIGNES USUELLES

7 - TRANSFORMATEURS D'IMPULSIONS À CÂBLE

8 - CONCLUSION

Article de référence | Réf : E150 v2

Lignes couplées (diaphonie)
Électronique impulsionnelle

Auteur(s) : André PACAUD

Relu et validé le 07 juil. 2017

Pour explorer cet article
Télécharger l'extrait gratuit

Vous êtes déjà abonné ?Connectez-vous !

Sommaire

Présentation

RÉSUMÉ

L'article traite de la propagation de signaux impulsionnels sur une ligne de transmission à deux conducteurs. Dans le cas d'une ligne sans pertes, différentes méthodes sont exposées (calcul analytique, méthode de Bergeron, méthode du tableau). Les pertes sont évoquées et leur influence précisée. Les performances en présence de dérivations sont analysées selon deux méthodes : l'approche quadripolaire et l'équation BLT. La méthode d'étude de la diaphonie entre circuits est abordée, et un point assez complet est fait concernant les transformateurs d'impulsions à câble.

Lire cet article issu d'une ressource documentaire complète, actualisée et validée par des comités scientifiques.

Lire l’article

Auteur(s)

  • André PACAUD : Professeur à SUPÉLEC - Département Télécommunications SUPÉLEC, Gif sur Yvette, France

INTRODUCTION

Le développement des capacités technologiques et des performances des circuits électroniques, en particulier des microprocesseurs et des mémoires, a conduit à un essor considérable des techniques de traitement des signaux électriques de type numérique. Ces techniques de traitement utilisent comme support de l'information des signaux modélisables sous la forme de suites d'impulsions.

Ces signaux transitent soit entre des macrocircuits électroniques, soit à l'intérieur même d'un circuit intégré sur un canal de propagation le plus souvent modélisable sous la forme d'une ligne à deux conducteurs.

Ces circuits fonctionnent avec des fréquences d'horloge des signaux impulsionnels rencontrés de plus en plus élevées avec des largeurs d'impulsions de plus en plus fines. On ne peut plus alors considérer que les dimensions des circuits traitant ces signaux sont faibles vis-à-vis de la longueur d'onde des signaux. L'étude de la propagation des signaux sur de telles structures est indispensable pour, d'une part, comprendre les phénomènes observés, et d'autre part, concevoir ces circuits « numériques ».

Pour cela, il est nécessaire de modéliser la structure de propagation, dans un premier temps en l'idéalisant (ligne sans pertes) de façon à obtenir des premiers résultats. Dans un second temps, il faut faire intervenir les pertes de la structure de propagation pour affiner les résultats.

Ces lignes sont quelquefois utilisées pour « dispatcher » des signaux vers plusieurs utilisateurs. L'étude de la présence de dérivations traitée dans l'article correspond à ce cas pratique.

Dans cet article, sont également abordés les problèmes posés par le couplage entre lignes de propagation, avec comme application l'étude de la diaphonie entre circuits. Un dernier point traite de l'analyse et de la conception de transformateurs d'impulsions réalisés à l'aide de tronçons de ligne ou de câble.

Cet article est réservé aux abonnés.
Il vous reste 95% à découvrir.

Pour explorer cet article
Téléchargez l'extrait gratuit

Vous êtes déjà abonné ?Connectez-vous !


L'expertise technique et scientifique de référence

La plus importante ressource documentaire technique et scientifique en langue française, avec + de 1 200 auteurs et 100 conseillers scientifiques.
+ de 10 000 articles et 1 000 fiches pratiques opérationnelles, + de 800 articles nouveaux ou mis à jours chaque année.
De la conception au prototypage, jusqu'à l'industrialisation, la référence pour sécuriser le développement de vos projets industriels.

VERSIONS

Il existe d'autres versions de cet article :

DOI (Digital Object Identifier)

https://doi.org/10.51257/a-v2-e150


Cet article fait partie de l’offre

Électronique

(236 articles en ce moment)

Cette offre vous donne accès à :

Une base complète d’articles

Actualisée et enrichie d’articles validés par nos comités scientifiques

Des services

Un ensemble d'outils exclusifs en complément des ressources

Des modules pratiques

Opérationnels et didactiques, pour garantir l'acquisition des compétences transverses

Doc & Quiz

Des articles interactifs avec des quiz, pour une lecture constructive

ABONNEZ-VOUS

Lecture en cours
Présentation

5. Lignes couplées (diaphonie)

5.1 Schéma équivalent et équations

Considérons deux lignes sans pertes, de géométrie cylindrique de même axe Ox (il n'y a pas d'évasement ou de rétrécissement de la structure). Ces deux lignes sont placées au voisinage l'une de l'autre et sont donc couplées (une partie de l'énergie transitant sur une des lignes est partiellement déviée sur l'autre ligne).

Comme pour une ligne isolée, on peut modéliser sous la forme d'un circuit un tronçon élémentaire de longueur dx (figure 37).

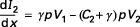
Ce schéma équivalent fait intervenir, pour chaque ligne n, l'inductance linéique Ln et la capacité linéique Cn. Le couplage entre les deux tronçons de ligne de longueur dx est de type magnétique et électrique. Il peut être caractérisé par une capacité γdx et une mutuelle inductance M dx, γ et M étant des grandeurs également linéiques.

En procédant comme pour une ligne isolée, il vient :

( 1 )
( 2 )
( 3 )
( 4 )

En éliminant soit les courants, soit les tensions, on obtient les équations :

( 5 )
...

Cet article est réservé aux abonnés.
Il vous reste 95% à découvrir.

Pour explorer cet article
Téléchargez l'extrait gratuit

Vous êtes déjà abonné ?Connectez-vous !


L'expertise technique et scientifique de référence

La plus importante ressource documentaire technique et scientifique en langue française, avec + de 1 200 auteurs et 100 conseillers scientifiques.
+ de 10 000 articles et 1 000 fiches pratiques opérationnelles, + de 800 articles nouveaux ou mis à jours chaque année.
De la conception au prototypage, jusqu'à l'industrialisation, la référence pour sécuriser le développement de vos projets industriels.

Cet article fait partie de l’offre

Électronique

(236 articles en ce moment)

Cette offre vous donne accès à :

Une base complète d’articles

Actualisée et enrichie d’articles validés par nos comités scientifiques

Des services

Un ensemble d'outils exclusifs en complément des ressources

Des modules pratiques

Opérationnels et didactiques, pour garantir l'acquisition des compétences transverses

Doc & Quiz

Des articles interactifs avec des quiz, pour une lecture constructive

ABONNEZ-VOUS

Lecture en cours
Lignes couplées (diaphonie)
Sommaire
Sommaire

BIBLIOGRAPHIE

  • (1) - GRIVET (P.) -   Physique des lignes en hautes fréquences et ultra-hautes fréquences.  -  Masson, (1969).

  • (2) - VABRE (J.P.) -   Électronique des impulsions.  -  Masson, (1972).

  • (3) - GOUDET (G.), CHAVANCE (P.) -   Ondes centimétriques : lignes, circuits, antennes.  -  Éd. Chiron, (1955).

  • (4) - YOUNG (L.) -   Parallel coupled lines and directional couplers.  -  Artech House, (1977).

  • (5) - FELDMANN (M.) -   Théorie des réseaux et systèmes linéaires.  -  Eyrolles, (1980).

  • (6) - HEWLETT PACKARD -   *  -  Notes d'application

  • (7)...

DANS NOS BASES DOCUMENTAIRES

Cet article est réservé aux abonnés.
Il vous reste 92% à découvrir.

Pour explorer cet article
Téléchargez l'extrait gratuit

Vous êtes déjà abonné ?Connectez-vous !


L'expertise technique et scientifique de référence

La plus importante ressource documentaire technique et scientifique en langue française, avec + de 1 200 auteurs et 100 conseillers scientifiques.
+ de 10 000 articles et 1 000 fiches pratiques opérationnelles, + de 800 articles nouveaux ou mis à jours chaque année.
De la conception au prototypage, jusqu'à l'industrialisation, la référence pour sécuriser le développement de vos projets industriels.

Cet article fait partie de l’offre

Électronique

(236 articles en ce moment)

Cette offre vous donne accès à :

Une base complète d’articles

Actualisée et enrichie d’articles validés par nos comités scientifiques

Des services

Un ensemble d'outils exclusifs en complément des ressources

Des modules pratiques

Opérationnels et didactiques, pour garantir l'acquisition des compétences transverses

Doc & Quiz

Des articles interactifs avec des quiz, pour une lecture constructive

ABONNEZ-VOUS