Présentation

Article

1 - PRINCIPE GÉNÉRAL DES PILES À COMBUSTIBLE

2 - DESCRIPTION DE LA PILE HYDROGÈNE/OXYGÈNE

3 - CINÉTIQUE RÉACTIONNELLE

4 - RENDEMENTS ÉNERGÉTIQUES

5 - PILES À COMBUSTIBLE À MEMBRANE POLYMÈRE

6 - PILE À COMBUSTIBLE À OXYDATION DIRECTE DU MÉTHANOL

7 - CONCLUSIONS ET PERSPECTIVES

8 - ASPECTS ENVIRONNEMENTAUX

Article de référence | Réf : D3340 v2

Rendements énergétiques
Principe des piles à combustible - Piles à membranes basse température

Auteur(s) : Claude LAMY, Michel CASSIR, Daniel HISSEL, Gilles TAILLADES

Date de publication : 10 déc. 2023 | Read in English

Pour explorer cet article
Télécharger l'extrait gratuit

Vous êtes déjà abonné ?Connectez-vous !

Sommaire

Présentation

RÉSUMÉ

L’utilisation de piles à combustible permettrait de réduire fortement les émissions de gaz à effet de serre (dioxyde de carbone) et de gaz nocifs (oxydes d’azote). De plus, leurs rendements élevés en électricité (45 à 50 %) et en cogénération d'électricité, plus chaleur (90 à 95 %), permettrait de réduire considérablement l’importation de combustibles fossiles.

Cet article se propose de rappeler le principe des piles à combustible en se basant sur la thermodynamique et la cinétique des réactions électrochimiques impliquées et de discuter des rendements énergétiques selon les différents combustibles impliqués : hydrogène, gaz naturel, hydrocarbures, méthanol, biomasse, ammoniac, etc. À titre d’exemple, les piles à basse température, utilisant des membranes protoniques ou anioniques, y seront présentées, ainsi que la pile à oxydation directe du méthanol.

Lire cet article issu d'une ressource documentaire complète, actualisée et validée par des comités scientifiques.

Lire l’article

Auteur(s)

  • Claude LAMY : Professeur émérite, Institut Charles Gerhardt (ICGM), CNRS, université de Montpellier - Membre de France Hydrogène, France

  • Michel CASSIR : Professeur émérite, Chimie ParisTech, université PSL, Institut de Recherche de Chimie Paris (IRCP), France

  • Daniel HISSEL : Professeur, université de Franche-Comté, Institut universitaire de France (IUF), FEMTO-ST, CNRS - Directeur-adjoint Fédération nationale hydrogène du CNRS

  • Gilles TAILLADES : Professeur, directeur de la mention énergie, Institut Charles Gerhardt (ICGM), CNRS, université de Montpellier, France

INTRODUCTION

Depuis leur invention en 1839, les perspectives d’un développement commercial des piles à combustible n’ont jamais été aussi bonnes, par suite des efforts de la recherche, de choix stratégiques de grands groupes industriels, de constructeurs automobiles et en réponse à un contexte environnemental, sociétal et politique en forte évolution.

Le principe général des piles à combustible est d’abord rappelé en évaluant les grandeurs thermodynamiques et cinétiques des réactions électrochimiques impliquées (oxydation du combustible à l’anode, réduction de l’oxygène à la cathode) dans un large domaine de température (25 °C à 1 000 °C) afin d’introduire les piles fonctionnant à basse température et à haute température. Les piles basse température (piles hydrogène/oxygène à membranes et pile à oxydation directe du méthanol) sont ensuite décrites en détails.

Les Piles à membrane échangeuse de protons (PEMFC) ont maintenant atteint des niveaux de maturité technologique importants permettant, au-delà de simples démonstrations, une réelle production industrielle, ainsi que leur commercialisation dans de multiples domaines : production d’énergie électrique stationnaire (bâtiments et centrales électriques, alimentation de secours, groupes électrogènes pour l’événementiel), mobilité terrestre (vélos, véhicules légers, camions, autobus, trains), navigation fluviale et maritime, applications aérospatiales (avion, drones, lanceurs, satellites). Elles ont une bonne compacité en termes de puissance spécifique (> 3 kW · kg–1 et > 3 kW · L–1), de bonnes perspectives de réduction de coût et des durées de vie suffisantes.

Les autres piles (AFC, PAFC, MCFC, SOFC, PCFC), décrites dans les 3 articles associés, ont également un certain nombre d’avantages pour des applications similaires, tandis que les Piles à oxydation directe du méthanol (DMFC) visent essentiellement les applications portables.

Cet article est réservé aux abonnés.
Il vous reste 95% à découvrir.

Pour explorer cet article
Téléchargez l'extrait gratuit

Vous êtes déjà abonné ?Connectez-vous !


L'expertise technique et scientifique de référence

La plus importante ressource documentaire technique et scientifique en langue française, avec + de 1 200 auteurs et 100 conseillers scientifiques.
+ de 10 000 articles et 1 000 fiches pratiques opérationnelles, + de 800 articles nouveaux ou mis à jours chaque année.
De la conception au prototypage, jusqu'à l'industrialisation, la référence pour sécuriser le développement de vos projets industriels.

VERSIONS

Il existe d'autres versions de cet article :

DOI (Digital Object Identifier)

https://doi.org/10.51257/a-v2-d3340


Cet article fait partie de l’offre

Hydrogène

(54 articles en ce moment)

Cette offre vous donne accès à :

Une base complète d’articles

Actualisée et enrichie d’articles validés par nos comités scientifiques

Des services

Un ensemble d'outils exclusifs en complément des ressources

Des modules pratiques

Opérationnels et didactiques, pour garantir l'acquisition des compétences transverses

Doc & Quiz

Des articles interactifs avec des quiz, pour une lecture constructive

ABONNEZ-VOUS

4. Rendements énergétiques

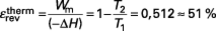
L’avantage essentiel d’une pile à combustible pour la production d’énergie électrique, par rapport à un moteur thermique couplé à un alternateur, réside dans le fait que le rendement de conversion est très élevé.

  • En effet, le rendement théorique maximal d’une machine ther-mique est donné par le théorème de Carnot :

    ( 20 )

    pour T 1 = 723 K (450 °C) et T 2 = 353 K (80 °C) et

    avec :

    Wm
     : 
    travail mécanique réversible fourni,
    ΔH
     : 
    enthalpie de réaction (c’est-à-dire que – ΔH représente la chaleur de réaction à pression constante),
    T1, T2
     : 
    températures absolues des sources chaude (T1) et froide (T2) entre lesquelles fonctionne la machine.

    Ce rendement est en général très bas, ne dépassant pas 45 % pour les meilleures machines thermiques (turbine à gaz, par exemple), et est souvent inférieur à environ 30 % pour les moteurs à combustion interne.

  • Au contraire, le rendement d’une pile fonctionnant à température et pression constantes dans des conditions réversibles, c’est-à-dire à l’équilibre, est :

    ( 21 )

    avec :

    We
     : 
    travail électrique fourni,
    ΔG = ΔH – T ΔS
     : 
    enthalpie libre de réactions.

    T ΔS représente la chaleur isotherme...

Cet article est réservé aux abonnés.
Il vous reste 94% à découvrir.

Pour explorer cet article
Téléchargez l'extrait gratuit

Vous êtes déjà abonné ?Connectez-vous !


L'expertise technique et scientifique de référence

La plus importante ressource documentaire technique et scientifique en langue française, avec + de 1 200 auteurs et 100 conseillers scientifiques.
+ de 10 000 articles et 1 000 fiches pratiques opérationnelles, + de 800 articles nouveaux ou mis à jours chaque année.
De la conception au prototypage, jusqu'à l'industrialisation, la référence pour sécuriser le développement de vos projets industriels.

Cet article fait partie de l’offre

Hydrogène

(54 articles en ce moment)

Cette offre vous donne accès à :

Une base complète d’articles

Actualisée et enrichie d’articles validés par nos comités scientifiques

Des services

Un ensemble d'outils exclusifs en complément des ressources

Des modules pratiques

Opérationnels et didactiques, pour garantir l'acquisition des compétences transverses

Doc & Quiz

Des articles interactifs avec des quiz, pour une lecture constructive

ABONNEZ-VOUS

Lecture en cours
Rendements énergétiques
Sommaire
Sommaire

BIBLIOGRAPHIE

  • (1) - BOCKRIS (J.O’M.), SRINIVASAN (S.) -   Fuel Cells: their electrochemistry.  -  McGraw Hill Book Co., New York (1969).

  • (2) - TILAK (B.-V.), YEO (R.-S.), SRINIVASAN (S.) -   Electrochemical Energy Conversion and Storage, dans Comprehensive Treatise of Electrochemistry.  -  J. O’M. Bockris, B.E. Conway, E. Yeager et R.E. White (Eds.), vol. 3, Plenum Press, New York (1981).

  • (3) - VIELSTICH (W.), GASTEIGER (H.), LAMM (A.) -   Handbook of fuel cells: fundamentals and survey of systems.  -  Vol. 1, Wiley, Chichester (2003).

  • (4) - SØRENSEN (B.) -   Hydrogen and Fuel Cell Emerging Technologies and Applications.  -  Elsevier Academic Press, New York (2005).

  • (5) - STOLTEN (D.) -   Hydrogen and Fuel Cells, Fundamentals, Technologies and Applications.  -  Wiley-VCH, Weinheim (2010).

  • (6)...

Cet article est réservé aux abonnés.
Il vous reste 93% à découvrir.

Pour explorer cet article
Téléchargez l'extrait gratuit

Vous êtes déjà abonné ?Connectez-vous !


L'expertise technique et scientifique de référence

La plus importante ressource documentaire technique et scientifique en langue française, avec + de 1 200 auteurs et 100 conseillers scientifiques.
+ de 10 000 articles et 1 000 fiches pratiques opérationnelles, + de 800 articles nouveaux ou mis à jours chaque année.
De la conception au prototypage, jusqu'à l'industrialisation, la référence pour sécuriser le développement de vos projets industriels.

Cet article fait partie de l’offre

Hydrogène

(54 articles en ce moment)

Cette offre vous donne accès à :

Une base complète d’articles

Actualisée et enrichie d’articles validés par nos comités scientifiques

Des services

Un ensemble d'outils exclusifs en complément des ressources

Des modules pratiques

Opérationnels et didactiques, pour garantir l'acquisition des compétences transverses

Doc & Quiz

Des articles interactifs avec des quiz, pour une lecture constructive

ABONNEZ-VOUS