Contactez-nous
Calcul matriciel
AF86 v1 Article de référence

Calcul matriciel

Auteur(s) : Gérard DEBEAUMARCHÉ, Danièle LINO

Relu et validé le 19 nov. 2019 | Read in English

Logo Techniques de l'Ingenieur Cet article est réservé aux abonnés
Pour explorer cet article plus en profondeur Consulter l'extrait gratuit

Déjà abonné ?

1 - Matrices d’une application linéaire. Opérations sur les matrices

  • 1.1 - Matrice d’une application linéaire
  • 1.2 - Somme et produit par un scalaire
  • 1.3 - Produit de deux matrices
  • 1.4 - Matrices carrées

2 - Changement de bases

  • 2.1 - Matrices de passage
  • 2.2 - Matrices équivalentes. Matrices semblables

3 - Rang d’une matrice

4 - Matrices équivalentes

5 - Algorithme du pivot de Gauss. Conséquences

  • 5.1 - Manipulations élémentaires sur les matrices
  • 5.2 - Diverses formes de l’algorithme du pivot de Gauss

6 - Déterminants

  • 6.1 - Généralités
  • 6.2 - Étude des formes n-linéaires alternées sur E (dim E = n)
  • 6.3 - Déterminant d’une matrice carrée et d’un endomorphisme
  • 6.4 - Calcul des déterminants
  • 6.5 - Application des déterminants

7 - Réduction des endomorphismes et des matrices carrées

  • 7.1 - Éléments propres d’un endomorphisme et d’une matrice carrée
  • 7.2 - Trigonalisation et théorème de Hamilton-Cayley
  • 7.3 - Diagonalisation des endomorphismes et des matrices carrées
  • 7.4 - Diagonalisation par blocs
Sommaire

Présentation

Auteur(s)

  • Gérard DEBEAUMARCHÉ : Ancien élève de l’École normale supérieure de Cachan - Professeur de mathématiques spéciales au lycée Clemenceau de Reims

  • Danièle LINO : Ancienne élève de l’École normale supérieure de Sèvres - Professeur de mathématiques spéciales au lycée Clemenceau de Reims

Lire cet article issu d'une ressource documentaire complète, actualisée et validée par des comités scientifiques.

Lire l’article

INTRODUCTION

De très nombreux problèmes issus des mathématiques ou de leurs applications conduisent à l’étude (et à la résolution) de systèmes d’équations linéaires. Le système (S) :

{a11x1++a1pxpan1x1++anpxp=b1=bn

(où les inconnues sont les nombres x1,,xp et où les nombres aij et bi sont donnés dans K ) se note aussi, sous forme matricielle :

(a11a1pan1anp)(x1xp)=(b1bn)

ou de façon plus ramassée :

AX = B

(cette égalité ne signifiant rien d’autre que les n égalités du système (S)).

L’exemple ci-après illustre cette situation.

Considérons l’équation différentielle y’’ + q (x) y = f (x), que l’on retrouve en résistance des matériaux avec des conditions aux limites de la forme y (a) = A, y (b) = B, les fonctions q et f étant continues sur [a, b]. Ce problème aux limites admet une solution unique y, dont on peut chercher des approximations de la façon suivante. On établit un maillage du segment [a, b] en subdivisant celui-ci en n + 1 sous-segments égaux dont les extrémités sont notées a = x0, x1, …, xn, xn + 1 = b. On sait, d’après la formule de Taylor, que :

{y(x+h)=y(x)+hy(x)+h22y(x)+0(h2)y(xh)=y(x)hy(x)+h22y(x)+0(h2)

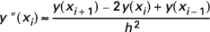
Donc une valeur approchée de y’’(x) est (par addition) :

y(x)y(x+h)2y(x)+y(xh)h2.

Ici, on prendra donc h=ban+1 et il vient :

y(xi)y(xi+1)2y(xi)+y(xi1)h2

L’équation différentielle y’’ + q (x) y = f (x) donne ainsi, lorsqu’on l’écrit aux point x1, x2, …, xn du maillage :

y(xi+1)2y(xi)+y(xi1)h2+q(xi)y(xi)=f(xi).

En fait, vu l’approximation faite sur y’’, on n’obtient pas les nombres y (xi) mais des valeurs approchées yi de ceux-ci. Et les équations précédentes s’écrivent matriciellement :

(2+h2q(x1)1(0)12+h2q(x2)1(0)112+h2q(xn))(y1y2yn)=(A+h2f(x1)h2f(x2)B+h2f(xn))

On est ainsi ramené à résoudre un système d’équations linéaires (de grande taille dans les applications pratiques).

Dans cet article, on se propose d’étudier la notion de matrice afin d’être à même, notamment, d’étudier des systèmes d’équations linéaires du type précédent, mais aussi des systèmes d’équations différentielles que l’on peut rencontrer en physique lorsque des oscillateurs sont couplés, ou en cinétique chimique, etc., et d’autres problèmes plus fins intervenant dans toutes les applications des mathématiques.

Logo Techniques de l'Ingenieur

Cet article est réservé aux abonnés.
Il vous reste 94 % à découvrir.

Pour explorer cet article Consulter l'extrait gratuit

Déjà abonné ?


DOI (Digital Object Identifier)

https://doi.org/10.51257/a-v1-af86

Article inclus dans l'offre

"Mathématiques"

(171 articles)

Une base complète d’articles

Actualisée et enrichie d’articles validés par nos comités scientifiques.

Des contenus enrichis

Quiz, médias, tableaux, formules, vidéos, etc.

Des modules pratiques

Opérationnels et didactiques, pour garantir l'acquisition des compétences transverses.

Des avantages inclus

Un ensemble de services exclusifs en complément des ressources.

Voir l'offre

Logo Techniques de l'Ingenieur

Cet article est réservé aux abonnés.
Il vous reste 93 % à découvrir.

Pour explorer cet article Consulter l'extrait gratuit

Déjà abonné ?


Article inclus dans l'offre

"Mathématiques"

(171 articles)

Une base complète d’articles

Actualisée et enrichie d’articles validés par nos comités scientifiques.

Des contenus enrichis

Quiz, médias, tableaux, formules, vidéos, etc.

Des modules pratiques

Opérationnels et didactiques, pour garantir l'acquisition des compétences transverses.

Des avantages inclus

Un ensemble de services exclusifs en complément des ressources.

Voir l'offre

Sommaire
Sommaire
Logo Techniques de l'Ingenieur

Cet article est réservé aux abonnés.
Il vous reste 93 % à découvrir.

Pour explorer cet article Consulter l'extrait gratuit

Déjà abonné ?


Article inclus dans l'offre

"Mathématiques"

(171 articles)

Une base complète d’articles

Actualisée et enrichie d’articles validés par nos comités scientifiques.

Des contenus enrichis

Quiz, médias, tableaux, formules, vidéos, etc.

Des modules pratiques

Opérationnels et didactiques, pour garantir l'acquisition des compétences transverses.

Des avantages inclus

Un ensemble de services exclusifs en complément des ressources.

Voir l'offre

Contenus associés

Sur le même sujet

S'inscrire à la Veille Personnalisée

Ressources documentaires

Tenseurs en sciences des données

Le principal argument souvent avancé en physique pour utiliser les tenseurs est leur définition ...

Algèbre de Boole

L'algèbre de Boole est une structure mathématique se rapportant à la manipulation des propositions et ...