Contactez-nous
Introduction aux équations aux dérivées partielles linéaires
AF162 v1 Article de référence

Introduction aux équations aux dérivées partielles linéaires

Auteur(s) : Gérard DEBEAUMARCHÉ

Date de publication : 10 oct. 1999 | Read in English

Logo Techniques de l'Ingenieur Cet article est réservé aux abonnés
Pour explorer cet article plus en profondeur Consulter l'extrait gratuit

Déjà abonné ?

1 - Classification des e.d.p. linéaires du second ordre

2 - Une équation hyperbolique : l’équation des ondes

3 - Une équation parabolique : l’équation de la chaleur

  • 3.1 - Équation de la chaleur en dimension 1
  • 3.2 - Généralisation : équation de la chaleur en dimension n

4 - Une équation elliptique : l’équation de Laplace

  • 4.1 - Présentation
  • 4.2 - L’équation de Laplace et les fonctions harmoniques dans un ouvert U
  • 4.3 - L’équation de Laplace et le problème de Dirichlet dans un cercle
  • 4.4 - L’équation de Laplace et le problème de Neumann dans un cercle
  • 4.5 - Le potentiel newtonien et l’équation de Poisson

5 - Théorie spectrale et séparation des variables

Sommaire

Présentation

Auteur(s)

  • Gérard DEBEAUMARCHÉ : Ancien élève de l’École normale supérieure de Cachan - Professeur de mathématiques spéciales au lycée Clemenceau de Reims

Lire cet article issu d'une ressource documentaire complète, actualisée et validée par des comités scientifiques.

Lire l’article

INTRODUCTION

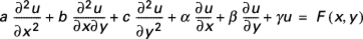
On se propose dans cet article de décrire quelques propriétés élémentaires des équations aux dérivées partielles (e.d.p.) linéaires du second ordre à coefficients constants, autrement dit, dans le cas de deux variables, des équations de la forme :

a2ux2+b2uxy+c2uy2+αux+βuy+γu=F(x,y)

où a, b, c, α, β, γ désignent six nombres réels donnés (a, b, c étant non tous nuls), F une fonction continue de deux variables réelles définie sur un ouvert U du plan et u une fonction inconnue, supposée de classe C 2.

On distingue a priori deux types de problèmes :

  • ceux dans lesquels n’intervient pas la variable temps t, et qui ne dépendent donc que des variables spatiales x, y, z ; ils sont appelés problèmes stationnaires ;

  • ceux dans lesquels intervient, en plus des variables spatiales x, y, z, la variable temps t ; ils sont appelés problèmes d’évolution.

  • On recherche le plus souvent des solutions vérifiant des conditions aux limites, signifiant que la solution considérée u, a priori définie sur l’ouvert U du plan, satisfait certaines conditions sur la frontière de U. On distingue à ce sujet deux types de conditions, celles de Dirichlet et de Neumann.

Les conditions de Dirichlet imposent à la solution u d’être continue sur l’adhérence de U, c’est-à-dire sur U et sa frontière, et d’être alors égale à une fonction donnée sur la frontière de U.

Les conditions de Neumann imposent à la solution u d’être continue sur l’adhérence de U, c’est-à-dire sur U et sa frontière, et d’admettre en tout point de la frontière de U une dérivée u/ N suivant le vecteur normal N orienté vers l’extérieur de la frontière de U (supposée suffisamment régulière) égale à une fonction donnée.

Dans un problème d’évolution, on recherche de plus des solutions vérifiant certaines conditions initiales (ou conditions de Cauchy), signifiant que, à l’instant t = 0, la solution u(x, y, z, t ) de l’équation vérifie

u (x, y, z, 0) = f (x, y, z)

où f est une fonction donnée, et parfois

ut(x,y,z,0)=g(x,y,x)

où g est une fonction donnée.

  • Les problèmes que l’on peut alors étudier sont les suivants.

    • Un problème stationnaire donné avec des conditions aux limites ou un problème d’évolution donné avec des conditions aux limites et des conditions initiales, admettent-ils une solution et une seule ?

    • Dans l’affirmative, la solution obtenue dépend-elle continûment des données (autrement dit, une « petite » erreur commise sur les conditions aux limites ou sur les conditions initiales conduit-elle à une « petite » erreur sur la solution) ?

Notons dès maintenant que la linéarité de l’équation E implique que :

  • les solutions de l’équation homogène (équation obtenue lorsque le second membre F est nul) forment un espace vectoriel ;

  • la solution générale de l’équation complète s’obtient comme la somme d’une solution particulière de l’équation avec second membre et de la solution générale de l’équation homogène.

Cet article est introductif et ne fait appel qu’à des méthodes élémentaires. En particulier, il ne fait jamais référence à la théorie des distributions, cependant centrale dans toutes ces questions. De même, les méthodes numériques de résolution (par différences finies ou par éléments finis) dont l’importance est essentielle puisque la résolution analytique n’est pas praticable en général ne sont pas abordées ici.

On se reportera en bibliographie aux références [1] à [5].

Logo Techniques de l'Ingenieur

Cet article est réservé aux abonnés.
Il vous reste 92 % à découvrir.

Pour explorer cet article Consulter l'extrait gratuit

Déjà abonné ?


DOI (Digital Object Identifier)

https://doi.org/10.51257/a-v1-af162

Article inclus dans l'offre

"Mathématiques"

(170 articles)

Une base complète d’articles

Actualisée et enrichie d’articles validés par nos comités scientifiques.

Des contenus enrichis

Quiz, médias, tableaux, formules, vidéos, etc.

Des modules pratiques

Opérationnels et didactiques, pour garantir l'acquisition des compétences transverses.

Des avantages inclus

Un ensemble de services exclusifs en complément des ressources.

Voir l'offre

Logo Techniques de l'Ingenieur

Cet article est réservé aux abonnés.
Il vous reste 94 % à découvrir.

Pour explorer cet article Consulter l'extrait gratuit

Déjà abonné ?


Article inclus dans l'offre

"Mathématiques"

(170 articles)

Une base complète d’articles

Actualisée et enrichie d’articles validés par nos comités scientifiques.

Des contenus enrichis

Quiz, médias, tableaux, formules, vidéos, etc.

Des modules pratiques

Opérationnels et didactiques, pour garantir l'acquisition des compétences transverses.

Des avantages inclus

Un ensemble de services exclusifs en complément des ressources.

Voir l'offre

Sommaire
Sommaire

BIBLIOGRAPHIE

  • (1) - REINHARD (H.) -   Équations différentielles  -  , Gauthier-Villars.

  • (2) - REINHARD (H.) -   Équations aux dérivées partielles  -  , Dunod.

  • (3) - YOSIDA (K.) -   Équations différentielles et intégrales,  -  Dunod.

  • (4) - SCHWARTZ (L.) -   Méthodes mathématiques pour les sciences physiques,  -  Hermann.

  • (5) - COURANT-HILBERT -   Methods of mathematical physics,  -  Interscience Publishers.

Logo Techniques de l'Ingenieur

Cet article est réservé aux abonnés.
Il vous reste 93 % à découvrir.

Pour explorer cet article Consulter l'extrait gratuit

Déjà abonné ?


Article inclus dans l'offre

"Mathématiques"

(170 articles)

Une base complète d’articles

Actualisée et enrichie d’articles validés par nos comités scientifiques.

Des contenus enrichis

Quiz, médias, tableaux, formules, vidéos, etc.

Des modules pratiques

Opérationnels et didactiques, pour garantir l'acquisition des compétences transverses.

Des avantages inclus

Un ensemble de services exclusifs en complément des ressources.

Voir l'offre

Ressources documentaires

Solitons et systèmes intégrables

Une « onde solitaire », d’après la définition de John Scott Russel, désigne la propagation ...

Plasmons de surface : principes physiques et applications

Les plasmons de surface sont des oscillations quantifiées de plasma, ils existent à l'interface entre un ...

Interaction fluide-structure vibrante

Cet article est consacré aux interactions fluide-structure vibrante, discipline à la frontière entre la ...