Archive | Réf : J2265 v1

Procédés de fabrication
Tensioactifs non ioniques - Mise en œuvre industrielle

Auteur(s) : GUIDO BOGNOLO

Date de publication : 10 sept. 2004

Pour explorer cet article
Télécharger l'extrait gratuit

Vous êtes déjà abonné ?Connectez-vous !

Sommaire

Présentation

Auteur(s)

Lire cet article issu d'une ressource documentaire complète, actualisée et validée par des comités scientifiques.

Lire l’article

INTRODUCTION

Les tensioactifs non ioniques ont commencé à acquérir une importance industrielle depuis la découverte, au début des années 1930, des dérivés éthoxylés produits par l’addition de l’oxyde d’éthylène sur des molécules possédant des hydrogènes actifs. Aujourd’hui, ils sont utilisés dans tous les domaines industriels, de la détergence domestique au textile, dans les préparations pharmaceutiques et dans l’agriculture, pour n’en citer que quelques-uns.

Leurs « bonnes propriétés » toxicologiques, leur position avantageuse par rapport aux réglementations en vigueur, leur facilité d’approvisionnement, leur bon rapport coût/efficacité, la large variété des produits disponibles, leur compatibilité avec les autres agents tensioactifs et l’étendue de leurs propriétés physico-chimiques sont à l’origine de leur emploi toujours croissant.

Si ces dernières années ont vu l’apparition sur le marché de nouveaux produits tels que les alkylpolyglucosides, les glucamides et les esters méthyliques d’acides gras éthoxylés, les développements récents sont plutôt orientés vers l’amélioration de la sécurité (avec des conséquences sur le nombre d’unités et sur les technologies de production), l’environnement et les matières premières de base.

Les principales propriétés générales des tensioactifs non ioniques et leurs méthodes d’obtention seront présentées dans un prochain article. Cet article ne présente que les aspects industriels du problème.

Cet article est réservé aux abonnés.
Il vous reste 95% à découvrir.

Pour explorer cet article
Téléchargez l'extrait gratuit

Vous êtes déjà abonné ?Connectez-vous !


L'expertise technique et scientifique de référence

La plus importante ressource documentaire technique et scientifique en langue française, avec + de 1 200 auteurs et 100 conseillers scientifiques.
+ de 10 000 articles et 1 000 fiches pratiques opérationnelles, + de 800 articles nouveaux ou mis à jours chaque année.
De la conception au prototypage, jusqu'à l'industrialisation, la référence pour sécuriser le développement de vos projets industriels.

VERSIONS

Il existe d'autres versions de cet article :

DOI (Digital Object Identifier)

https://doi.org/10.51257/a-v1-j2265


Cet article fait partie de l’offre

Formulation

(123 articles en ce moment)

Cette offre vous donne accès à :

Une base complète d’articles

Actualisée et enrichie d’articles validés par nos comités scientifiques

Des services

Un ensemble d'outils exclusifs en complément des ressources

Des modules pratiques

Opérationnels et didactiques, pour garantir l'acquisition des compétences transverses

Doc & Quiz

Des articles interactifs avec des quiz, pour une lecture constructive

ABONNEZ-VOUS

3. Procédés de fabrication

Les tensioactifs non ioniques sont obtenus selon deux procédés principaux.

  • Condensation

    L’estérification est la méthode la plus importante, mais on a aussi recours à la transestérification et, moins couramment, à la formation d’amides et à l’éthérification. Ces réactions, suivant le schéma ci-dessous, conduisent à l’élimination d’eau, d’alcools à faible masse molaire ou d’acide chlorhydrique.

    • Estérification des alcools polyhydriques

      avec :

       : 
      = glycérol, polyglycérol, polyalkylèneglycol, érythritol, xylitol, pentaérythritol, sorbitol, anhydrosorbitol, sucrose.
    • Formation d’amides

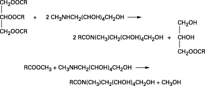
    • Formation d’alcanoyl-N-méthylglucamides

  • Alcoxylation

    On procède, selon une réaction nucléophile « ring-opening », en faisant agir l’oxyde d’éthylène, de propylène et, plus rarement, de butylène sur des molécules qui possèdent des hydrogènes actifs.

    • Dans la majorité des procédés industriels, on travaille en présence de catalyseurs alcalins (généralement hydroxydes de sodium ou de potassium, ou alcoolates). La réaction est du type SN2 selon le schéma suivant.

      • Réaction générale

      RAH + n C2H4O ® RA(C2H4O)nH

      • Mécanisme SN2 en présence...

Cet article est réservé aux abonnés.
Il vous reste 95% à découvrir.

Pour explorer cet article
Téléchargez l'extrait gratuit

Vous êtes déjà abonné ?Connectez-vous !


L'expertise technique et scientifique de référence

La plus importante ressource documentaire technique et scientifique en langue française, avec + de 1 200 auteurs et 100 conseillers scientifiques.
+ de 10 000 articles et 1 000 fiches pratiques opérationnelles, + de 800 articles nouveaux ou mis à jours chaque année.
De la conception au prototypage, jusqu'à l'industrialisation, la référence pour sécuriser le développement de vos projets industriels.

Cet article fait partie de l’offre

Formulation

(123 articles en ce moment)

Cette offre vous donne accès à :

Une base complète d’articles

Actualisée et enrichie d’articles validés par nos comités scientifiques

Des services

Un ensemble d'outils exclusifs en complément des ressources

Des modules pratiques

Opérationnels et didactiques, pour garantir l'acquisition des compétences transverses

Doc & Quiz

Des articles interactifs avec des quiz, pour une lecture constructive

ABONNEZ-VOUS

Lecture en cours
Procédés de fabrication
Sommaire
Sommaire

BIBLIOGRAPHIE

  • (1) - SCHICK (M.J.) éd -   Nonionic surfactants  -  . Surfactants Science Series, vol. 1, Marcel Dekker Inc., New York, ISBN 0-8247-1605-1.

  • (2) - SCHOENFELDT (N.) -   Surface active ethylene oxide adducts/Oberflaechenaktiven Anlagerungs produktte des Aethylenoxides  -  . Pergamon Press Ltd, Londres (1969)/Wissenschaftliche Verlagsgesellschaft mbH, Stuttgart (1959).

  • (3) - KAO CORPORATION -   Surfactants, a comprehensive guide  -  . Tokyo, Japon.

  • (4) - SHINODA (K.), NAKAGAWA (T.), TAMAMUSHI (B.-I.), ISEMURA (T.) -   Colloidal surfactants  -  . Academic Press, New York et Londres (1963).

  • (5) - DAVIES (J.T.), RIDEAL (E.K.) -   Interfacial phenomena  -  . Academic Press, New York et Londres (1961).

  • (6) - ROSEN (M.J.) -   Surfactants and interfacial phenomena  -  . John Whiley & Sons, New York (1989).

  • ...

1 Thèses récentes

* - http://corail.sudoc.abes.fr

THIEULEUX (C.) - Synthèse de matériaux hybrides méso-structurés en présence de tensioactifs non ioniques – Contrôle de la chimie dans les pores et dans les murs - . Université des sciences et techniques du Languedoc (2002).

MAGNIN (E.) - Étude de la formation de vésicules à partir de quatre nouveaux tensioactifs non ioniques et de la diffusion in vitro d’un principe hydrophile à travers des membranes synthétiques et biologiques - . Université Claude Bernard (Lyon) (2002).

ALLARD-ÉCHALIER (B.) - Barrière cutanée et tensioactifs non ioniques en tant que promoteurs d’absorption - . Université René Descartes Paris (2001).

ROPERS (M.-H.) - Étude structurale de systèmes moléculaires organisés à base de tensioactifs fluorés non ioniques - . Application à l’immobilisation de biomolécules. Sciences biologiques fondamentales et appliquées. Nancy 1 (2000).

HAUT DE PAGE

2 Données économiques

  • Production

    Parmi les différentes classes d’agents de surface, les tensioactifs non ioniques (NI) se situent à la deuxième...

Cet article est réservé aux abonnés.
Il vous reste 94% à découvrir.

Pour explorer cet article
Téléchargez l'extrait gratuit

Vous êtes déjà abonné ?Connectez-vous !


L'expertise technique et scientifique de référence

La plus importante ressource documentaire technique et scientifique en langue française, avec + de 1 200 auteurs et 100 conseillers scientifiques.
+ de 10 000 articles et 1 000 fiches pratiques opérationnelles, + de 800 articles nouveaux ou mis à jours chaque année.
De la conception au prototypage, jusqu'à l'industrialisation, la référence pour sécuriser le développement de vos projets industriels.

Cet article fait partie de l’offre

Formulation

(123 articles en ce moment)

Cette offre vous donne accès à :

Une base complète d’articles

Actualisée et enrichie d’articles validés par nos comités scientifiques

Des services

Un ensemble d'outils exclusifs en complément des ressources

Des modules pratiques

Opérationnels et didactiques, pour garantir l'acquisition des compétences transverses

Doc & Quiz

Des articles interactifs avec des quiz, pour une lecture constructive

ABONNEZ-VOUS