Présentation

Article

1 - DÉFINITIONS FONDAMENTALES

  • 1.1 - Définition newtonienne de la viscosité de cisaillement
  • 1.2 - Unités
  • 1.3 - Viscosité en tant que phénomène de transport
  • 1.4 - Viscosité en tant que phénomène dissipatif
  • 1.5 - Principaux paramètres dont dépend la viscosité des liquides et des pâtes

2 - ASPECTS QUANTITATIFS MACROSCOPIQUES

3 - ASPECTS QUANTITATIFS MICROSCOPIQUES

Archive | Réf : R2350 v3

Définitions fondamentales
Mesure de la viscosité - Principes généraux

Auteur(s) : Dominique DUPUIS

Date de publication : 10 mars 2008

Pour explorer cet article
Télécharger l'extrait gratuit

Vous êtes déjà abonné ?Connectez-vous !

Sommaire

Présentation

Auteur(s)

  • Dominique DUPUIS : Professeur des universités, université de Haute-Alsace - Laboratoire de physique et mécanique textiles UMR 7189 CNRS/UHA

Lire cet article issu d'une ressource documentaire complète, actualisée et validée par des comités scientifiques.

Lire l’article

INTRODUCTION

La viscosité caractérise l'aptitude d'un fluide à s'écouler. La connaissance de la viscosité est fondamentale dans de nombreux domaines : en métrologie des fluides, que ceux-ci soient des gaz, des liquides ou des pâtes, dans l'emploi des peintures, dans celui des fluides vecteurs en thermique, dans la compréhension des phénomènes de lubrification, dans l'agroalimentaire, dans le transport des fluides, etc. Si la mesure de la viscosité sur échantillons peut servir au contrôle de fabrication, la mesure continue permet d'en surveiller et réguler le processus.

Toutefois, il importe, dès à présent, de mettre en garde le lecteur : une mesure ponctuelle de la viscosité est généralement insuffisante pour décrire à elle seule les propriétés d'un fluide en écoulement ; dans ce qui suit, d'autres grandeurs rhéologiques seront définies.

Définition d'un fluide et limitations du sujet : selon le Dictionnaire de rhéologie [8], un fluide est un corps qui ne peut rester en équilibre que lorsque l'état de contrainte imposé est caractérisé par un tenseur isotrope ; au contraire, si le déviateur du tenseur (appelé déviateur des contraintes) n'est pas nul, le corps se déforme indéfiniment. Autrement dit, le fluide est un corps susceptible de se déformer indéfiniment dès lors que la résultante des forces appliquées n'est pas nulle.

Cette définition est très générale et ce sont les liquides et pâtes fluides qui sont particulièrement envisagés dans le présent article.

Le lecteur se reportera utilement, pour les concepts fondamentaux, aux articles « Mécanique des fluides » [A 1 870] et « Fluides non newtoniens » [A 710].

Cet article est réservé aux abonnés.
Il vous reste 93% à découvrir.

Pour explorer cet article
Téléchargez l'extrait gratuit

Vous êtes déjà abonné ?Connectez-vous !


L'expertise technique et scientifique de référence

La plus importante ressource documentaire technique et scientifique en langue française, avec + de 1 200 auteurs et 100 conseillers scientifiques.
+ de 10 000 articles et 1 000 fiches pratiques opérationnelles, + de 800 articles nouveaux ou mis à jours chaque année.
De la conception au prototypage, jusqu'à l'industrialisation, la référence pour sécuriser le développement de vos projets industriels.

VERSIONS

Il existe d'autres versions de cet article :

DOI (Digital Object Identifier)

https://doi.org/10.51257/a-v3-r2350


Cet article fait partie de l’offre

Mesures physiques

(118 articles en ce moment)

Cette offre vous donne accès à :

Une base complète d’articles

Actualisée et enrichie d’articles validés par nos comités scientifiques

Des services

Un ensemble d'outils exclusifs en complément des ressources

Des modules pratiques

Opérationnels et didactiques, pour garantir l'acquisition des compétences transverses

Doc & Quiz

Des articles interactifs avec des quiz, pour une lecture constructive

ABONNEZ-VOUS

Lecture en cours
Présentation

1. Définitions fondamentales

1.1 Définition newtonienne de la viscosité de cisaillement

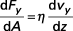
L'écoulement de cisaillement simple type est celui où le fluide est enfermé entre deux plans parallèles infinis (figure 1) ; l'un des plans (par exemple le plan inférieur) est immobile, l'autre se déplace à vitesse uniforme vy sous l'action d'une force tangentielle Fy . Ce déplacement se communique aux couches de fluide inférieures qui peuvent glisser les unes sur les autres, à l'image d'un jeu de cartes. Seules les couches fluides directement en contact avec les surfaces solides ne glissent pas, leur vitesse par rapport aux parois est toujours nulle ; c'est une hypothèse fondamentale, bien vérifiée expérimentalement dans la grande majorité des cas ; il existe cependant des exemples où, en raison d'interactions physico-chimiques à la paroi, cette hypothèse n'est plus strictement vérifiée. La paroi réelle peut alors être remplacée par une paroi virtuelle ; la portée des interactions étant en général faible par rapport aux dimensions efficaces des instruments de mesure, la correction à introduire – s'il y a lieu – est souvent petite.

Il suffit alors d'écrire que la force motrice agissant sur un élément d'aire dA ≥ dx dy égale la force de frottement visqueux pour obtenir la loi de Newton :

soit

( 1 )

L'expression ainsi obtenue relie la contrainte de cisaillement τ ≥ dFy /dA au gradient de vitesse , appelé aussi vitesse de cisaillement, et à la viscosité de cisaillement η, ou viscosité dynamique (le plus souvent appelée simplement viscosité). La relation  n'est valable que si l'écoulement est laminaire, c'est-à-dire...

Cet article est réservé aux abonnés.
Il vous reste 94% à découvrir.

Pour explorer cet article
Téléchargez l'extrait gratuit

Vous êtes déjà abonné ?Connectez-vous !


L'expertise technique et scientifique de référence

La plus importante ressource documentaire technique et scientifique en langue française, avec + de 1 200 auteurs et 100 conseillers scientifiques.
+ de 10 000 articles et 1 000 fiches pratiques opérationnelles, + de 800 articles nouveaux ou mis à jours chaque année.
De la conception au prototypage, jusqu'à l'industrialisation, la référence pour sécuriser le développement de vos projets industriels.

Cet article fait partie de l’offre

Mesures physiques

(118 articles en ce moment)

Cette offre vous donne accès à :

Une base complète d’articles

Actualisée et enrichie d’articles validés par nos comités scientifiques

Des services

Un ensemble d'outils exclusifs en complément des ressources

Des modules pratiques

Opérationnels et didactiques, pour garantir l'acquisition des compétences transverses

Doc & Quiz

Des articles interactifs avec des quiz, pour une lecture constructive

ABONNEZ-VOUS

Lecture en cours
Définitions fondamentales
Sommaire
Sommaire

Cet article est réservé aux abonnés.
Il vous reste 94% à découvrir.

Pour explorer cet article
Téléchargez l'extrait gratuit

Vous êtes déjà abonné ?Connectez-vous !


L'expertise technique et scientifique de référence

La plus importante ressource documentaire technique et scientifique en langue française, avec + de 1 200 auteurs et 100 conseillers scientifiques.
+ de 10 000 articles et 1 000 fiches pratiques opérationnelles, + de 800 articles nouveaux ou mis à jours chaque année.
De la conception au prototypage, jusqu'à l'industrialisation, la référence pour sécuriser le développement de vos projets industriels.

Cet article fait partie de l’offre

Mesures physiques

(118 articles en ce moment)

Cette offre vous donne accès à :

Une base complète d’articles

Actualisée et enrichie d’articles validés par nos comités scientifiques

Des services

Un ensemble d'outils exclusifs en complément des ressources

Des modules pratiques

Opérationnels et didactiques, pour garantir l'acquisition des compétences transverses

Doc & Quiz

Des articles interactifs avec des quiz, pour une lecture constructive

ABONNEZ-VOUS