Présentation

Article

1 - PRINCIPES FONDAMENTAUX

  • 1.1 - Formulation de résines photopolymérisables
  • 1.2 - Avantages du procédé photochimique

2 - LES PHOTOAMORCEURS

3 - LES RÉSINES PHOTOPOLYMÉRISABLES

4 - CINÉTIQUE DES POLYMÉRISATIONS PHOTOAMORCÉES

5 - PROPRIÉTÉS DES POLYMÈRES PHOTORÉTICULÉS

6 - APPLICATIONS DES RÉSINES PHOTOPOLYMÉRISABLES

7 - PERSPECTIVES

Article de référence | Réf : AM3044 v1

Les résines photopolymérisables
Polymérisation sous rayonnement UV

Auteur(s) : Christian DECKER

Date de publication : 10 juil. 2000 | Read in English

Pour explorer cet article
Télécharger l'extrait gratuit

Vous êtes déjà abonné ?Connectez-vous !

Sommaire

Présentation

Auteur(s)

  • Christian DECKER : Directeur de recherche au Centre national de la recherche scientifique (CNRS)

Lire cet article issu d'une ressource documentaire complète, actualisée et validée par des comités scientifiques.

Lire l’article

INTRODUCTION

Cet article a pour objectif de présenter brièvement les principes généraux des polymérisations photoamorcées et les différents types de systèmes photopolymérisables actuellement utilisés. On examinera également l’aspect cinétique de ces processus ultrarapides qui transforment la molécule réactive en un matériau ayant les propriétés requises pour l’application envisagée.

Pour plus de détails sur la mise en œuvre du procédé photochimique, les performances des divers systèmes et les caractéristiques des photopolymères obtenus, le lecteur se reportera aux monographies et articles de synthèse [1] à [12] récemment publiés sur le sujet [Doc. AM 3 044].

Cet article est réservé aux abonnés.
Il vous reste 95% à découvrir.

Pour explorer cet article
Téléchargez l'extrait gratuit

Vous êtes déjà abonné ?Connectez-vous !


L'expertise technique et scientifique de référence

La plus importante ressource documentaire technique et scientifique en langue française, avec + de 1 200 auteurs et 100 conseillers scientifiques.
+ de 10 000 articles et 1 000 fiches pratiques opérationnelles, + de 800 articles nouveaux ou mis à jours chaque année.
De la conception au prototypage, jusqu'à l'industrialisation, la référence pour sécuriser le développement de vos projets industriels.

DOI (Digital Object Identifier)

https://doi.org/10.51257/a-v1-am3044


Cet article fait partie de l’offre

Plastiques et composites

(400 articles en ce moment)

Cette offre vous donne accès à :

Une base complète d’articles

Actualisée et enrichie d’articles validés par nos comités scientifiques

Des services

Un ensemble d'outils exclusifs en complément des ressources

Des modules pratiques

Opérationnels et didactiques, pour garantir l'acquisition des compétences transverses

Doc & Quiz

Des articles interactifs avec des quiz, pour une lecture constructive

ABONNEZ-VOUS

3. Les résines photopolymérisables

La plupart des polymérisations photoamorcées sont des réactions en chaîne dans lesquelles un centre actif initial est à l’origine de la formation de la chaîne polymère. On distingue deux catégories de réactions de photopolymérisation selon le mécanisme mis en jeu et la nature des espèces actives qui seront soit des radicaux, soit des cations.

3.1 Systèmes radicalaires

Il existe quatre principaux types de résines photosensibles polymérisant par un mécanisme radicalaire [9].

HAUT DE PAGE

3.1.1 Résines polyester insaturé-styrène

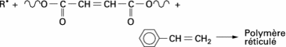
Les premières résines photoréticulables utilisées pour des applications industrielles étaient constituées d’un polyester insaturé dissous dans le styrène et de benzophénone. La réticulation se fait par copolymérisation directe du monomère vinylique avec la double liaison (du type maléique ou fumarique) située sur la chaîne polymère :

La polymérisation relativement lente, le nombre limité de monomères disponibles, ainsi que la volatilité de la résine, ont limité le développement de ce système qui est principalement utilisé comme vernis photodurcissable dans l’industrie de l’ameublement, en raison de son coût modique.

HAUT DE PAGE

3.1.2 Résines thiol-polyènes

L’addition de thiol (RSH) sur une double liaison oléfinique peut servir à créer un réseau polymère tridimensionnel, à condition d’utiliser des monomères multifonctionnels. La polymérisation thiol-ène procède selon un mécanisme d’addition par étape qui est propagé par une réaction de transfert de chaîne impliquant le radical thiyl. Elle se déroule rapidement sous l’action de la lumière lorsqu’on utilise la benzophénone ...

Cet article est réservé aux abonnés.
Il vous reste 93% à découvrir.

Pour explorer cet article
Téléchargez l'extrait gratuit

Vous êtes déjà abonné ?Connectez-vous !


L'expertise technique et scientifique de référence

La plus importante ressource documentaire technique et scientifique en langue française, avec + de 1 200 auteurs et 100 conseillers scientifiques.
+ de 10 000 articles et 1 000 fiches pratiques opérationnelles, + de 800 articles nouveaux ou mis à jours chaque année.
De la conception au prototypage, jusqu'à l'industrialisation, la référence pour sécuriser le développement de vos projets industriels.

Cet article fait partie de l’offre

Plastiques et composites

(400 articles en ce moment)

Cette offre vous donne accès à :

Une base complète d’articles

Actualisée et enrichie d’articles validés par nos comités scientifiques

Des services

Un ensemble d'outils exclusifs en complément des ressources

Des modules pratiques

Opérationnels et didactiques, pour garantir l'acquisition des compétences transverses

Doc & Quiz

Des articles interactifs avec des quiz, pour une lecture constructive

ABONNEZ-VOUS

Lecture en cours
Les résines photopolymérisables
Sommaire
Sommaire

BIBLIOGRAPHIE

  • (1) -   UV-curing science and technology  -  . − Pappas (S.P.) (éd.). Technology Marketing Corporation. Stamford (C.T.). Vol. 1 (1978), vol. 2 (1985).

  • (2) - DECKER (C.) -   *  -  Dans Handbook of polymer Science and Technology. Vol. 3 (éd. Cheremisinoff (N.P.)) Marcel Dekker, New York p. 541 (1989).

  • (3) -   Radiation curing of polymeric materials  -  . − Hoyle (C.E.), Kinstle (J.F.) (éds). ACS Symp. Ser. 417 (1990).

  • (4) -   Chemistry and technology of UV and EB formulation for coatings, inks and paints  -  . Vol. 1-4 (Oldring (P.K.T.)) (éd.). Wiley SITA Technology, Londres (1991).

  • (5) -   Radiation Curing-Science and Technology  -  . Pappas (S.P.), (éd.) Plenum Press. New York (1992).

  • (6) -   Radiation Curing in Polymer Science and Technology  -  . − Fouassier (J.P.), Rabek (J.F.) (éd). Elsevier,...

1 Thèses

* - http://www.sudoc.abes.fr

TOURÉ (M.L.) - Exposition UV spectrale [Texte imprimé] : instrumentation et modélisation. - Université Joseph Fourier (Grenoble) (2003).

PERNY (S.) - Alignement de cristaux liquides par irradiation en lumière UV linéairement polarisée de films minces de polymères photoréticulaires - (1998).

HAUT DE PAGE

2 Appareillage

Une installation industrielle d’irradiation UV comprend trois éléments de base (figure 1) :

  • une source lumineuse (S) munie d’un réflecteur parabolique ou elliptique. Il s’agit en général d’une lampe à vapeur de mercure moyenne pression qui peut être dopée avec un sel de gallium pour déplacer le spectre d’émission vers le proche UV et le visible ;

  • un système d’extraction de l’ozone formé et un système de refroidissement de la lampe par ventilation (V) ;

  • un convoyeur (C) dont la vitesse de défilement peut être régulée, typiquement entre 5 et 200 m/min, selon le type d’application.

Des installations d’irradiation UV de différentes tailles sont construites par les sociétés...

Cet article est réservé aux abonnés.
Il vous reste 94% à découvrir.

Pour explorer cet article
Téléchargez l'extrait gratuit

Vous êtes déjà abonné ?Connectez-vous !


L'expertise technique et scientifique de référence

La plus importante ressource documentaire technique et scientifique en langue française, avec + de 1 200 auteurs et 100 conseillers scientifiques.
+ de 10 000 articles et 1 000 fiches pratiques opérationnelles, + de 800 articles nouveaux ou mis à jours chaque année.
De la conception au prototypage, jusqu'à l'industrialisation, la référence pour sécuriser le développement de vos projets industriels.

Cet article fait partie de l’offre

Plastiques et composites

(400 articles en ce moment)

Cette offre vous donne accès à :

Une base complète d’articles

Actualisée et enrichie d’articles validés par nos comités scientifiques

Des services

Un ensemble d'outils exclusifs en complément des ressources

Des modules pratiques

Opérationnels et didactiques, pour garantir l'acquisition des compétences transverses

Doc & Quiz

Des articles interactifs avec des quiz, pour une lecture constructive

ABONNEZ-VOUS