Présentation

Article

1 - ACRYLAMIDE/SODIUM ACRYLATE COPOLYMER

2 - ACRYLATE/ACRYLAMIDE COPOLYMER

3 - ACRYLATE/PROPYLENE GLYCOL COPOLYMER

4 - ACRYLATE/C10-30 ALKYL ACRYLATE CROSSPOLYMER

5 - ACRYLATES COPOLYMER

6 - ACRYLATES/OCTYLACRYLAMIDE COPOLYMER

7 - ACRYLATES/STEARETH-20 METHACRYLATE COPOLYMER

8 - ACRYLIC ACID/ACRYLONITROGENS COPOLYMER

9 - ACRYLIC ACID/ACRYLATE COPOLYMER

10 - ACRYLICS ESTERS – METHACRYLICS ESTERS COPOLYMER

11 - ADIPIC ACID/ DIMETHYLAMINOHYDROXYPROPYL DIETHYLENETRIAMINE COPOLYMER

12 - ALUMINIUM STARCH OCTENYLSUCCINATE

13 - AMMONIUM ACRYLATES/ACRYLONITROGENS COPOLYMER

14 - AMP – ACRYLATES COPOLYMER

15 - CARBOMER

16 - SODIUM CARBOMER

17 - DIGLYCOL/CYCLOHEXANEDIMETHANOL/ ISOPHTHALATES/SULFOISOPHTHALATES

18 - DIGLYCOL/ISOPHTHALATES/SULFOISOPHTHALATES COPOLYMER

19 - ETHYLENE/ACRYLATE COPOLYMER

20 - ETHYLENE/VINYL ACETATE COPOLYMER

21 - GLYCERIN, DIGLYCOL/ CYCLOHEXANEDIMETHANOL/ISOPHTHALATE/ SULFOISOPHTHALATES COPOLYMER

22 - HYDROGENATED POLYISOBUTENE COPOLYMER

23 - METHACRYLOYL ETHYL BETAINE/ METHACRYLATES COPOLYMER

24 - OCTYLACRYLAMIDE/ACRYLATES/BUTYLAMINOETHYL METHACRYLATE COPOLYMER

25 - OXYDIZED POLYETHYLENE

26 - OXY(METHYL-1-1,2-ETHANEDIYL) Α-HYDRO-Ω-HYDROXY POLYMER WITH 1,1'-METHYLENABIS (4-ISOCYANATOCYCLOHEXANE)

27 - PAA

28 - PEG-N, OÙ N = 4, 6, 8, 12, 20, 32, 75, 100 ET 150

29 - PEG-2M, PEG-5M, PEG-7M, PEG-14M, PEG-9M, PEG-20M, PEG-23M, PEG-45M, PEG-90M

30 - PEG-N-METHYL ETHER OÙ N = 6, 10, 16, 40 OU 100

31 - PEG-N(40 OU 60) SORBITAN TETRAOLEATE

32 - PEG-55 PROPYLENE GLYCOL OLEATE

33 - PEG-120 METHYL GLUCOSE DIOLEATE

34 - PEG-150 DISTEARATE

35 - PEG-150 PENTAERYTHRITYL TETRASTEARATE

36 - PEI

37 - PERFLUOROPOLYMETHYL-ISOPROPYLETHERS

38 - POLOXAMER

39 - POLYACRYLAMIDOMETHYLPROPANE SULFONIC ACID

40 - POLYDECENE/POLYBUTENE COPOLYMER

41 - POLYETHYLENE

42 - POLYMETHACRYLAMIDOPROPYL TRIMONIUM CHLORIDE

43 - POLYQUATERNIUM-2

44 - POLYQUATERNIUM-6

45 - POLYQUATERNIUM-7

46 - POLYQUATERNIUM-11

47 - POLYQUATERNIUM-16

48 - POLYQUATERNIUM-17

49 - POLYQUATERNIUM-18

50 - POLYQUATERNIUM-22

51 - POLYQUATERNIUM-27

52 - POLYQUATERNIUM-28

53 - POLYQUATERNIUM-39

54 - PVM/MA COPOLYMER ESTERS

55 - PVM/MA DECADIENE CROSSPOLYMER

56 - PVOH ; PVA

57 - PVP

58 - PVP/ACRYLATES COPOLYMER

59 - PVP/DIMETHYLAMINOETHYL METHACRYLATE COPOLYMER

60 - PVP/DIMETHYLAMINOETHYLMETHACRYLATE POLYCARBAMYL POLYGLYCOL ESTER

61 - PVP/EICOSENE COPOLYMER

62 - PVP/ÉTHYL METHACRYLATE/METHACRYLIC ACID TERPOLYMER

63 - PVP/HEXADECANE COPOLYMER

64 - PVP/POLYCARBAMYL POLYGLYCOL ESTER

65 - PVP/VA COPOLYMER

66 - PVP/VA/VINYL PROPIONATE COPOLYMER

67 - SODIUM POLYMETHACRYLATE

68 - SODIUM POLYNAPHTHALENESULFONATE

69 - SODIUMPOLYSTYRENE SULFONATE

70 - STYRENE/PVP COPOLYMER

71 - TRICONTANYL PVP

72 - TRIHYDROXYSTEARIN

73 - VA/BUTYLE MALEATE/ISOBORNYL ACRYLATE COPOLYMER

74 - VA/CROTONATES COPOLYMER

75 - VA/CROTONATES/VINYL NEODECANOATE COPOLYMER

76 - VA ACETATE/CROTONATES ACID/ VINYLPROPIONATE COPOLYMER

77 - VINYLCAPROLACTAME/PVP/ DIMETHYLAMINOETHYLMETHACRYLATE COPOLYMER

Article de référence | Réf : J2191 v1

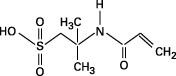
Polyacrylamidomethylpropane sulfonic acid
Liste des polymères synthétiques utilisés en cosmétique

Auteur(s) : Bernard LE NEINDRE, Patrick CANCOUËT

Relu et validé le 20 avr. 2020

Pour explorer cet article
Télécharger l'extrait gratuit

Vous êtes déjà abonné ?Connectez-vous !

Sommaire

Présentation

RÉSUMÉ

Les polymères synthétiques utilisés en cosmétique ont été classés en adoptant la nomenclature INCI (International Nomenclature for Cosmetics Ingredients). Y sont présentés noms, caractéristiques, forme et fonction dans la formulation pour les acrylates aux polyquaternium, en passant par le styrène et les différents PEG. Ce classement a été élaboré par le Comité international de nomenclature de l'American Cosmetic, Toiletry and Flagrance Association CTFA. Le système INCI constitue la base de l'International Cosmetic Ingredient (ICI) Dictionary and Handbook.

Lire cet article issu d'une ressource documentaire complète, actualisée et validée par des comités scientifiques.

Lire l’article

Auteur(s)

  • Bernard LE NEINDRE : Docteur ès sciences - Directeur de recherche au Centre national de la recherche scientifique (CNRS)

  • Patrick CANCOUËT : Docteur ès sciences physiques, Ingénieur chimiste - Directeur recherches & développement (ATOMER)

INTRODUCTION

Les polymères ont été classés en adoptant la nomenclature INCI (International Nomenclature for Cosmetics Ingredients), qui a été élaborée par le Comité international de nomenclature de l'American Cosmetic, Toiletry and Flagrance Association CTFA.

Le système INCI constitue la base de l'International Cosmetic Ingredient (ICI) Dictionary and Handbook.

Sauf indication contraire, les pourcentages de composition donnés dans ce dossier sont massiques.

Cet article est réservé aux abonnés.
Il vous reste 95% à découvrir.

Pour explorer cet article
Téléchargez l'extrait gratuit

Vous êtes déjà abonné ?Connectez-vous !


L'expertise technique et scientifique de référence

La plus importante ressource documentaire technique et scientifique en langue française, avec + de 1 200 auteurs et 100 conseillers scientifiques.
+ de 10 000 articles et 1 000 fiches pratiques opérationnelles, + de 800 articles nouveaux ou mis à jours chaque année.
De la conception au prototypage, jusqu'à l'industrialisation, la référence pour sécuriser le développement de vos projets industriels.

DOI (Digital Object Identifier)

https://doi.org/10.51257/a-v1-j2191


Cet article fait partie de l’offre

Formulation

(123 articles en ce moment)

Cette offre vous donne accès à :

Une base complète d’articles

Actualisée et enrichie d’articles validés par nos comités scientifiques

Des services

Un ensemble d'outils exclusifs en complément des ressources

Des modules pratiques

Opérationnels et didactiques, pour garantir l'acquisition des compétences transverses

Doc & Quiz

Des articles interactifs avec des quiz, pour une lecture constructive

ABONNEZ-VOUS

Lecture en cours
Présentation

39. Polyacrylamidomethylpropane sulfonic acid

Nom chimique : acide polymère polysulfonique

Description chimique : 1-propanesulfonic acid,2-méthyl-2-[(1-oxo-2-propényl)-amino]-homopolymère

Nom commercial : Kraft Polymer 80-1

Fonctions dans la formulation : épaississant, donne de l'onctuosité, réducteur de friction, émollient

Forme disponible : liquide clair, visqueux (17 à 18 % de principes actifs dans l'eau)

Commentaires spéciaux : polymère anionique qui donne une sensation de douceur aux crèmes, lotions, liquides et crèmes à raser, etc ; procure un étalement agréable pendant l'application et laisse une sensation comme le talc. La neutralisation de ce polymère est sans effet sur la rhéologie du produit

Fournisseur : Kraft Chimical

HAUT DE PAGE

Cet article est réservé aux abonnés.
Il vous reste 92% à découvrir.

Pour explorer cet article
Téléchargez l'extrait gratuit

Vous êtes déjà abonné ?Connectez-vous !


L'expertise technique et scientifique de référence

La plus importante ressource documentaire technique et scientifique en langue française, avec + de 1 200 auteurs et 100 conseillers scientifiques.
+ de 10 000 articles et 1 000 fiches pratiques opérationnelles, + de 800 articles nouveaux ou mis à jours chaque année.
De la conception au prototypage, jusqu'à l'industrialisation, la référence pour sécuriser le développement de vos projets industriels.

Cet article fait partie de l’offre

Formulation

(123 articles en ce moment)

Cette offre vous donne accès à :

Une base complète d’articles

Actualisée et enrichie d’articles validés par nos comités scientifiques

Des services

Un ensemble d'outils exclusifs en complément des ressources

Des modules pratiques

Opérationnels et didactiques, pour garantir l'acquisition des compétences transverses

Doc & Quiz

Des articles interactifs avec des quiz, pour une lecture constructive

ABONNEZ-VOUS

Lecture en cours
Polyacrylamidomethylpropane sulfonic acid
Sommaire
Sommaire

Cet article est réservé aux abonnés.
Il vous reste 94% à découvrir.

Pour explorer cet article
Téléchargez l'extrait gratuit

Vous êtes déjà abonné ?Connectez-vous !


L'expertise technique et scientifique de référence

La plus importante ressource documentaire technique et scientifique en langue française, avec + de 1 200 auteurs et 100 conseillers scientifiques.
+ de 10 000 articles et 1 000 fiches pratiques opérationnelles, + de 800 articles nouveaux ou mis à jours chaque année.
De la conception au prototypage, jusqu'à l'industrialisation, la référence pour sécuriser le développement de vos projets industriels.

Cet article fait partie de l’offre

Formulation

(123 articles en ce moment)

Cette offre vous donne accès à :

Une base complète d’articles

Actualisée et enrichie d’articles validés par nos comités scientifiques

Des services

Un ensemble d'outils exclusifs en complément des ressources

Des modules pratiques

Opérationnels et didactiques, pour garantir l'acquisition des compétences transverses

Doc & Quiz

Des articles interactifs avec des quiz, pour une lecture constructive

ABONNEZ-VOUS