Présentation

Article interactif

1 - COUCHE PHY DE L’UNB

2 - UNB ASSOCIATED MAC

3 - PERFORMANCES DE L’UNB

4 - SÉCURITÉ

5 - APPLICATION/MARCHÉ

6 - CONCLUSION

7 - GLOSSAIRE

8 - SIGLES, NOTATIONS ET SYMBOLES

Article de référence | Réf : TE8016 v1

Performances de l’UNB
Technique de transmission UNB de SigFox - Principes et performances

Auteur(s) : Claire GOURSAUD, Christophe FOURTET

Date de publication : 10 févr. 2023 | Read in English

Pour explorer cet article
Télécharger l'extrait gratuit

Vous êtes déjà abonné ?Connectez-vous !

Sommaire

Présentation

RÉSUMÉ

La technologie UNB de SigFox a révolutionné le monde des télécoms en proposant pour la première fois une méthode de transmission des données IoT simple et efficace. En effet, elle permet des transmissions très longue portée, à faible consommation d’énergie, faible occupation spectrale et avec un protocole d’accès aux ressources minimaliste, tout en fournissant de bonnes performances. Dans cet article, cette technologie est présentée en détail, afin de pouvoir comprendre et mettre en œuvre cette technologie, de la couche PHY à la couche MAC, ainsi que les aspects de sécurité afférents. Enfin, un état des lieux des marchés visés est présenté. 

Lire cet article issu d'une ressource documentaire complète, actualisée et validée par des comités scientifiques.

Lire l’article

Auteur(s)

INTRODUCTION

Pourquoi la technologie UNB ?

L’Internet des Objets (IoT : Internet of Things) est une composante récente des systèmes de communication. L’objectif est de connecter à Internet des dispositifs physiques, des véhicules, des bâtiments et même des animaux sans intervention humaine directe pour les piloter. Pour cela, il faut généraliser la connectivité déjà présente dans les ordinateurs et les téléphones à pratiquement tout objet en le dotant d’une puce et d’une interface radio.

À l’origine, les services offerts par l’IoT se limitaient à la domotique, pour connecter des appareils tels que les thermostats, les compteurs d’énergie, les systèmes de contrôle de l’éclairage, les systèmes de diffusion et de contrôle de la musique, les boîtiers de diffusion vidéo à distance…

Progressivement, les applications visées se sont élargies à tous les objets et même aux êtres vivants, comme la surveillance de la santé, les réseaux intelligents, les villes intelligentes, la logistique, la surveillance et le suivi de la faune, la domotique et la sécurité. Toutes ces applications nécessitent des stations de base dédiées pour établir une passerelle entre les objets communicants de la cellule, et la bulle Internet qui prend en charge la collecte et le traitement des données recueillies. Il est important de noter que l’IoT est caractérisé par la faible taille des données à transmettre (souvent réduite à quelques octets), comparativement aux communications « humaines ».

Pour limiter le coût opérationnel des opérateurs (et conserver un tarif raisonnable relativement à la quantité de données transmise), leur infrastructure doit être la plus réduite possible. Pour cela, ils ont besoin de stations de base (BS Base Station) couvrant une zone la plus étendue possible. Cette exigence est obtenue, pour la vision la plus partagée, par une topologie en étoile avec une très longue portée (les appareils communiquent directement avec la BS). Il existe plusieurs stratégies permettant d’étendre la portée d’une transmission sans-fil :

  • augmenter la puissance de transmission. Cette solution est difficilement acceptable en raison de la consommation électrique induite. En effet, il faut maintenir une consommation d’énergie faible pour les nœuds (qui sont généralement sur batterie) afin de préserver leur durée de vie. De plus, il faut aussi tenir compte de l’impact potentiel sur la santé de l’exposition accrue aux ondes  ;

  • concevoir des récepteurs extrêmement sensibles. Néanmoins, le coût de ces récepteurs serait plus important. Ils pourraient être déployés sur les quelques stations de base, mais pas en masse sur tous les nœuds, ce qui ne permettrait pas d’avoir une liaison descendante ;

  • concevoir de nouvelles technologies de transmission. C’est cette dernière possibilité qui a été adoptée par les opérateurs et la communauté scientifique. Cette nouvelle approche a conduit à la définition du concept des LPWAN (Low Power Wide Area Network), faisant référence à un réseau très étendu (jusqu’à plusieurs dizaines de kilomètres de portée dans les zones rurales), tout en visant une consommation énergétique minimale pour les objets. En outre, les réseaux LPWAN doivent permettre de traiter de petits paquets de données (les données échangées sont généralement de petite taille), et transmis sporadiquement (les applications visées ne nécessitent pas un flux continu de remontée de données, mais plutôt un paquet lorsque cela est pertinent).

D’autre part, les réseaux LPWAN se caractérisent par le fait que les bandes ISM sont généralement utilisées pour les transmissions car elles sont exemptes de licence, ce qui permet de réduire davantage le coût du réseau, et de permettre à ces nouvelles applications d’être mises en œuvre.

Les réseaux LPWAN ouvrent la voie à de nouveaux marchés et à de nouveaux opérateurs commerciaux. En effet, grâce à un coût d’infrastructure très faible, de nouveaux entrants ont pu se positionner en lançant leur propre technologie de transmission et rejoindre les opérateurs télécoms historiques sur ce marché. Ces derniers ont tout d’abord concentré leurs efforts sur NB-IoT (Narrow Band IoT). Parmi les nouveaux opérateurs, on peut citer SemTech et LoRa Alliance avec la technologie LoRa (Long Range), SigFox avec UNB (Ultra Narrow Band), et Ingenu avec RPMA (Random Phase Multiple Access). Plus récemment, le protocole Mioty basé sur le découpage de paquets a été proposé.

En pratique, deux directions principales (étonnamment diamétralement opposées) ont été prises par les nouveaux opérateurs pour la définition de nouvelles technologies de transmission :

  • étalement du spectre (LoRa avec CSS (Chirp Spread Spectrum), ou Ingenu avec RPMA) : les données sont envoyées sur une bande de fréquence beaucoup plus large que celle de leur occupation en bande de base. Pour cela, un code d’étalement spécifique est envoyé pour coder un symbole. La diversité obtenue sur les fréquences permet de récupérer un signal même si sa DSP (Densité Spectrale de Puissance) est inférieure au plancher de bruit, car un motif spécifique est recherché et permet des gains de décodage intéressants. En outre, les différents codes qui présentent de bonnes propriétés de corrélation peuvent être affectés à différents dispositifs d’émission simultanée, à des fins d’accès multiple au canal de transmission ;

  • réduction de l’occupation spectrale du signal (SigFox avec UNB) : les données sont envoyées à un débit très faible avec un schéma de modulation simple, de façon à assurer une occupation minimale du spectre. L’avantage de cette technique est que le bruit perçu (après filtrage du signal) est réduit car il dépend linéairement de la largeur de bande du signal.

Pour les deux techniques, la puissance reçue requise pour une qualité de service donnée est considérablement réduite. Ainsi, pour une même puissance d’émission que les systèmes classiques, une plus grande portée peut être atteinte sans dégrader les performances.

L’objectif de cet article est de définir de nouvelles techniques de transmission pour l’IoT vérifiant les contraintes suivantes :

  • faible coût des dispositifs et de l’infrastructure : le nombre de stations de base doit être le plus faible possible, tandis que les dispositifs ont de faibles capacités de calcul ;

  • très grande portée de transmission ;

  • faible consommation d’énergie : les données doivent être envoyées avec une puissance d’émission la plus faible, et avec une durée la plus courte ;

  • capacité à gérer la transmission en rafale de paquets de petite taille ;

  • l’évolutivité et la capacité à gérer un très grand nombre de nœuds.

Cet article est réservé aux abonnés.
Il vous reste 94% à découvrir.

Pour explorer cet article
Téléchargez l'extrait gratuit

Vous êtes déjà abonné ?Connectez-vous !


L'expertise technique et scientifique de référence

La plus importante ressource documentaire technique et scientifique en langue française, avec + de 1 200 auteurs et 100 conseillers scientifiques.
+ de 10 000 articles et 1 000 fiches pratiques opérationnelles, + de 800 articles nouveaux ou mis à jours chaque année.
De la conception au prototypage, jusqu'à l'industrialisation, la référence pour sécuriser le développement de vos projets industriels.

DOI (Digital Object Identifier)

https://doi.org/10.51257/a-v1-te8016


Cet article fait partie de l’offre

Réseaux Télécommunications

(140 articles en ce moment)

Cette offre vous donne accès à :

Une base complète d’articles

Actualisée et enrichie d’articles validés par nos comités scientifiques

Des services

Un ensemble d'outils exclusifs en complément des ressources

Des modules pratiques

Opérationnels et didactiques, pour garantir l'acquisition des compétences transverses

Doc & Quiz

Des articles interactifs avec des quiz, pour une lecture constructive

ABONNEZ-VOUS

Lecture en cours
Présentation

3. Performances de l’UNB

Comme vu dans la section 1.2, le réseau SigFox est basé sur une topologie distribuée, où chaque station de base opère de façon autonome. Afin de caractériser les performances de l’UNB, il suffit de considérer la topologie atomique du réseau : en étoile (où les stations de base centrées dans de grandes cellules reçoivent les données d’un grand nombre de nœuds sources dispersés). Cette topologie considère une seule BS centrale dans le réseau servant tous les nœuds à sa portée.

3.1 Portée dans le cas idéal

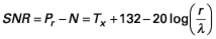
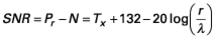
La portée dépend généralement des caractéristiques du canal, des interférences et du niveau de bruit du récepteur. Dans un premier temps, considérons une transmission en visibilité directe (Line of Sight, LoS) et des conditions sans interférence. Ainsi, la portée est d’abord contrainte par le niveau de bruit donné par N = k·T·NF·b, ce qui donne en échelle logarithmique :

( 4 )

avec NF le facteur de bruit du récepteur.

Dans le cas de référence UNB décrit ci-dessus où b = 100 Hz, le plancher de bruit est donc de − 154 + NF dBm. Par conséquent, dans des conditions d’espace libre et en supposant que les gains d’antenne équilibrent approximativement la perte du facteur de bruit, le rapport signal/bruit est de :

...

Cet article est réservé aux abonnés.
Il vous reste 94% à découvrir.

Pour explorer cet article
Téléchargez l'extrait gratuit

Vous êtes déjà abonné ?Connectez-vous !


L'expertise technique et scientifique de référence

La plus importante ressource documentaire technique et scientifique en langue française, avec + de 1 200 auteurs et 100 conseillers scientifiques.
+ de 10 000 articles et 1 000 fiches pratiques opérationnelles, + de 800 articles nouveaux ou mis à jours chaque année.
De la conception au prototypage, jusqu'à l'industrialisation, la référence pour sécuriser le développement de vos projets industriels.

TEST DE VALIDATION ET CERTIFICATION CerT.I. :

Cet article vous permet de préparer une certification CerT.I.

Le test de validation des connaissances pour obtenir cette certification de Techniques de l’Ingénieur est disponible dans le module CerT.I.

Obtenez CerT.I., la certification
de Techniques de l’Ingénieur !
Acheter le module

Cet article fait partie de l’offre

Réseaux Télécommunications

(140 articles en ce moment)

Cette offre vous donne accès à :

Une base complète d’articles

Actualisée et enrichie d’articles validés par nos comités scientifiques

Des services

Un ensemble d'outils exclusifs en complément des ressources

Des modules pratiques

Opérationnels et didactiques, pour garantir l'acquisition des compétences transverses

Doc & Quiz

Des articles interactifs avec des quiz, pour une lecture constructive

ABONNEZ-VOUS

Lecture en cours
Performances de l’UNB
Sommaire
Sommaire

BIBLIOGRAPHIE

  • (1) - COLLIN (A.) -   Dosimétrie des systèmes d’exposition pour l’étude des effets biologiques non thermiques des radiations électromagnétiques.  -  Thèse, Université de Limoges (2007).

  • (2) - ANDRETZKO (J.P.) -   Contribution à l'optimisation et à la modélisation d'un banc de mesure CEM : Application à la caractérisation de l'immunité des stimulateurs cardiaques.  -  Diss. Université Henri Poincaré-Nancy 1 (2007).

  • (3) - JAEHYUN (L.), HYUNSOO (K.), JACKSON (T.), CHOI (K.), KENNY (D.) -   An ultra-compact and low-power oven-controlled crystal oscillator design for precision timing applications.  -  IEEE transactions on ultrasonics, ferroelectrics, and frequency control, vol. 57, n° 9, p. 1906-1914, IEEE (2010).

  • (4) - KARN (P.) -   The VMSK Delusion.  -  http://www.ka9q.net/vmsk/, dernier accès (2017).

  • (5) - XIAOCHENG (C.), XIAOYI (C.), QINGDONG(Y.) -   The VMSK modulation delusion [J].  -  Journal of...

Cet article est réservé aux abonnés.
Il vous reste 95% à découvrir.

Pour explorer cet article
Téléchargez l'extrait gratuit

Vous êtes déjà abonné ?Connectez-vous !


L'expertise technique et scientifique de référence

La plus importante ressource documentaire technique et scientifique en langue française, avec + de 1 200 auteurs et 100 conseillers scientifiques.
+ de 10 000 articles et 1 000 fiches pratiques opérationnelles, + de 800 articles nouveaux ou mis à jours chaque année.
De la conception au prototypage, jusqu'à l'industrialisation, la référence pour sécuriser le développement de vos projets industriels.

Cet article fait partie de l’offre

Réseaux Télécommunications

(140 articles en ce moment)

Cette offre vous donne accès à :

Une base complète d’articles

Actualisée et enrichie d’articles validés par nos comités scientifiques

Des services

Un ensemble d'outils exclusifs en complément des ressources

Des modules pratiques

Opérationnels et didactiques, pour garantir l'acquisition des compétences transverses

Doc & Quiz

Des articles interactifs avec des quiz, pour une lecture constructive

ABONNEZ-VOUS

Sommaire

QUIZ ET TEST DE VALIDATION PRÉSENTS DANS CET ARTICLE

1/ Quiz d'entraînement

Entraînez vous autant que vous le voulez avec les quiz d'entraînement.

2/ Test de validation

Lorsque vous êtes prêt, vous passez le test de validation. Vous avez deux passages possibles dans un laps de temps de 30 jours.

Entre les deux essais, vous pouvez consulter l’article et réutiliser les quiz d'entraînement pour progresser. L’attestation vous est délivrée pour un score minimum de 70 %.


L'expertise technique et scientifique de référence

La plus importante ressource documentaire technique et scientifique en langue française, avec + de 1 200 auteurs et 100 conseillers scientifiques.
+ de 10 000 articles et 1 000 fiches pratiques opérationnelles, + de 800 articles nouveaux ou mis à jours chaque année.
De la conception au prototypage, jusqu'à l'industrialisation, la référence pour sécuriser le développement de vos projets industriels.

Cet article fait partie de l’offre

Réseaux Télécommunications

(140 articles en ce moment)

Cette offre vous donne accès à :

Une base complète d’articles

Actualisée et enrichie d’articles validés par nos comités scientifiques

Des services

Un ensemble d'outils exclusifs en complément des ressources

Des modules pratiques

Opérationnels et didactiques, pour garantir l'acquisition des compétences transverses

Doc & Quiz

Des articles interactifs avec des quiz, pour une lecture constructive

ABONNEZ-VOUS