Présentation

Article

1 - QUI A BESOIN DE CONNAÎTRE LA PESÉE MINIMALE ?

2 - PESÉE MINIMALE SELON LA MÉTROLOGIE LÉGALE

3 - PESÉE MINIMALE SELON LE BESOIN DE L'UTILISATEUR

4 - SÉLECTION D'UNE BALANCE

  • 4.1 - Présentation des balances
  • 4.2 - Détermination de la masse après une pulvérisation d'aérosol
  • 4.3 - Contrôle du volume d'une fiole de 25 mL
  • 4.4 - Contrôle du volume délivré par une micropipette automatique de 20 µl

5 - PESÉE MINIMALE SELON L'USP

6 - PESÉE MINIMALE DES CONSTRUCTEURS

7 - SÉCURISER LA PESÉE

8 - CONCLUSION

Archive | Réf : P1382 v2

Pesée minimale selon le besoin de l'utilisateur
Pesée minimale : son importance dans un processus d'analyse industriel

Auteur(s) : Denis LOUVEL

Date de publication : 10 juin 2014

Pour explorer cet article
Télécharger l'extrait gratuit

Vous êtes déjà abonné ?Connectez-vous !

Sommaire

Présentation

RÉSUMÉ

Pendant des décennies, la valeur de la pesée minimale était inscrite sur la plaque d'identification de la balance pour répondre à une obligation de la métrologie légale. La plupart des utilisateurs de balances ne connaissaient pas sa signification et pensaient qu'il était interdit de peser au-dessous de cette valeur. La réglementation ayant évolué, cette information n'apparaît plus systématiquement. La pesée de masses très faibles se développant, du fait des exigences liées à la protection de l'environnement, aux substances toxiques ainsi qu'à la réduction des coûts, la question demeure : quelle est la pesée minimale de la balance utilisée ? Cet article explique pourquoi cette pesée minimale existe, comment la métrologie légale l'a définie, et comment la déterminer soi-même pour sélectionner une balance répondant de façon fiable aux exigences de mesure.

Lire cet article issu d'une ressource documentaire complète, actualisée et validée par des comités scientifiques.

Lire l’article

Auteur(s)

  • Denis LOUVEL : Chef de produit Métrologie scientifique - Mettler-Toledo SAS

INTRODUCTION

En routine, de nombreux utilisateurs pèsent des prises d'essai de quantité infime. Ils n'exploitent en général que 1 à 10 % de la portée de pesage d'une balance. Mais c'est dans cette zone que les incertitudes de mesure sont les plus élevées.

Il est courant de devoir peser 2 à 20 mg pour préparer une solution étalon pour une analyse en chromatographie liquide ou gazeuse.

La question centrale est de savoir désormais si cette quantité à peser est compatible avec les exigences de l'AQ (assurance qualité) et les performances de la balance utilisée.

La détermination de la pesée minimale accroît la certitude que toutes les fois qu'un utilisateur de balance pèse une quantité supérieure à la pesée minimale, ses mesures sont dans les limites des tolérances pour assurer la qualité du produit.

Cette connaissance apporte la certitude que l'usine fabrique toujours des produits de qualité constante ou que le laboratoire réalise toujours des analyses de qualité constante. Une qualité établie pour le processus avec le bon instrument de pesage, et non une qualité obtenue avec beaucoup d'analyses et en triant les produits qui ne correspondaient pas aux spécifications.

Par ailleurs, l'utilisateur a la tranquillité d'esprit, certain qu'il passera facilement le prochain audit ou la prochaine inspection, car maintenant il dispose d'une documentation démontrant que ses instruments sont conformes aux exigences du processus.

Cet article propose de résoudre cette délicate question en fonction de plusieurs situations.

Comme il est d'usage dans la profession, on utilise abusivement le terme poids en kg au lieu du terme masse.

Cet article est réservé aux abonnés.
Il vous reste 93% à découvrir.

Pour explorer cet article
Téléchargez l'extrait gratuit

Vous êtes déjà abonné ?Connectez-vous !


L'expertise technique et scientifique de référence

La plus importante ressource documentaire technique et scientifique en langue française, avec + de 1 200 auteurs et 100 conseillers scientifiques.
+ de 10 000 articles et 1 000 fiches pratiques opérationnelles, + de 800 articles nouveaux ou mis à jours chaque année.
De la conception au prototypage, jusqu'à l'industrialisation, la référence pour sécuriser le développement de vos projets industriels.

VERSIONS

Il existe d'autres versions de cet article :

DOI (Digital Object Identifier)

https://doi.org/10.51257/a-v2-p1382


Cet article fait partie de l’offre

Techniques d'analyse

(290 articles en ce moment)

Cette offre vous donne accès à :

Une base complète d’articles

Actualisée et enrichie d’articles validés par nos comités scientifiques

Des services

Un ensemble d'outils exclusifs en complément des ressources

Des modules pratiques

Opérationnels et didactiques, pour garantir l'acquisition des compétences transverses

Doc & Quiz

Des articles interactifs avec des quiz, pour une lecture constructive

ABONNEZ-VOUS

Lecture en cours
Présentation

3. Pesée minimale selon le besoin de l'utilisateur

De la définition de la pesée minimale (§ 2), on retient que l'erreur relative est significative et qu'il est nécessaire de la connaître.

3.1 Détermination de l'erreur relative d'un affichage numérique

Lorsque l'affichage d'une horloge numérique indique « 10:01 », cela signifie qu'il est 10 h et 1 min. Qu'il soit 10 h 1 min + 1 s ou + 59 s, l'affichage sera le même. La mesure du temps est arrondie à la précision d'affichage de l'horloge.

L'affichage d'une balance se comporte de la même façon que cette horloge.

Exemple : quand il indique « 10,01 g », le poids mesuré est compris entre 10,005 g et 10,015 g (figure 1).

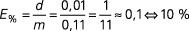
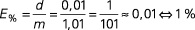
L'étendue des mesures correspond à la différence entre deux indications consécutives de l'indication numérique de la balance (échelon réel d). On peut admettre que l'erreur relative E % liée à cette pesée sur cette balance, est égale au rapport de l'échelon réel d de la balance à la charge pesée m :

À partir de l'exemple précédent, on obtient une erreur relative de :

Avec une valeur affichée de « 1,01 g », on obtient une autre erreur relative :

Avec une valeur affichée de « 0,11 g », on obtient encore une autre erreur relative :

Avec une valeur affichée...

Cet article est réservé aux abonnés.
Il vous reste 95% à découvrir.

Pour explorer cet article
Téléchargez l'extrait gratuit

Vous êtes déjà abonné ?Connectez-vous !


L'expertise technique et scientifique de référence

La plus importante ressource documentaire technique et scientifique en langue française, avec + de 1 200 auteurs et 100 conseillers scientifiques.
+ de 10 000 articles et 1 000 fiches pratiques opérationnelles, + de 800 articles nouveaux ou mis à jours chaque année.
De la conception au prototypage, jusqu'à l'industrialisation, la référence pour sécuriser le développement de vos projets industriels.

Cet article fait partie de l’offre

Techniques d'analyse

(290 articles en ce moment)

Cette offre vous donne accès à :

Une base complète d’articles

Actualisée et enrichie d’articles validés par nos comités scientifiques

Des services

Un ensemble d'outils exclusifs en complément des ressources

Des modules pratiques

Opérationnels et didactiques, pour garantir l'acquisition des compétences transverses

Doc & Quiz

Des articles interactifs avec des quiz, pour une lecture constructive

ABONNEZ-VOUS

Lecture en cours
Pesée minimale selon le besoin de l'utilisateur
Sommaire
Sommaire

BIBLIOGRAPHIE

  • (1) - SFSTP -   Quand la pesée minimale prend des proportions énormes ou la pesée minimale et ses conséquences.  -  Revue STP Pharma Pratiques volume 16, no 1, janv./fév. 2006.

  • (2) - Pharmacopée US -   Appareils pour essais et dosages.  -  Article 41, Balances et Poids. USP36- NF31, 1er décembre 2013.

  • (3) - Pharmacopée US -   Illustrations d"arrondi de valeurs numériques pour comparaison aux exigences.  -  Notices générales USP37-NF29, 1er mai 2011.

  • (4) - OMCL -   Qualification des balances.  -  Annexe 8 au guide pour la qualification d"équipement PA/PH/OMCL (12) 77 7R.Aout 2013.

DANS NOS BASES DOCUMENTAIRES

  • Balances et pesées.

  • Pipettes, contrôle métrologique.

  • Fonctionnement. Référence | Date de publication : 10 déc. 2004 | Denis Louvel

  • Réglementation. Instrumentation .Référence | Date de publication : 10 sept. 2008 | Denis LOUVEL

NORMES

  •  Aspects métrologiques des instruments de pesage à fonctionnement non automatique - PR EN 45501 -

ANNEXES

  1. 1 Annuaire

    1 Annuaire

    Société Française des Sciences et Techniques Pharmaceutiques (SFSTP)

    http://www.sfstp.org

    Organisation Internationale de Métrologie Légale (OIML)

    http://www.oiml.org

    Afnor (Association française de normalisation)

    http://www.afnor.org

    CEN (Comité européen de normalisation)

    http://www.cenorm.be/

    Sous-direction de la métrologie (site hébergé par le ministère de l"industrie) :

    http://www.industrie.gouv.fr/portail/index_metrologie.html

    United States Pharmacopeia (USP)

    http://www.usp.org

    Pharmacopée Européenne

    http://www.edqm.eu

    Réseau européen des laboratoires officiels de contrôle des médicaments à usage humain et vétérinaire (OMCL)

    HAUT DE PAGE

    Cet article est réservé aux abonnés.
    Il vous reste 95% à découvrir.

    Pour explorer cet article
    Téléchargez l'extrait gratuit

    Vous êtes déjà abonné ?Connectez-vous !


    L'expertise technique et scientifique de référence

    La plus importante ressource documentaire technique et scientifique en langue française, avec + de 1 200 auteurs et 100 conseillers scientifiques.
    + de 10 000 articles et 1 000 fiches pratiques opérationnelles, + de 800 articles nouveaux ou mis à jours chaque année.
    De la conception au prototypage, jusqu'à l'industrialisation, la référence pour sécuriser le développement de vos projets industriels.

    Cet article fait partie de l’offre

    Techniques d'analyse

    (290 articles en ce moment)

    Cette offre vous donne accès à :

    Une base complète d’articles

    Actualisée et enrichie d’articles validés par nos comités scientifiques

    Des services

    Un ensemble d'outils exclusifs en complément des ressources

    Des modules pratiques

    Opérationnels et didactiques, pour garantir l'acquisition des compétences transverses

    Doc & Quiz

    Des articles interactifs avec des quiz, pour une lecture constructive

    ABONNEZ-VOUS