Présentation

Article interactif

1 - EXEMPLE INTRODUCTIF

2 - APPARITION DES MODES INGOUVERNABLES ET/OU INOBSERVABLES

3 - STRUCTURE CANONIQUE DE KALMAN

4 - GOUVERNABILITÉ ET OBSERVABILITÉ

5 - CAS DES SYSTÈMES LINÉAIRES INCERTAINS

6 - ASPECTS LOGICIELS

  • 6.1 - Construction structurée et réduction modale
  • 6.2 - Réduction équilibrée
  • 6.3 - Test de gouvernabilité d’un système LTI incertain

7 - CONCLUSION

Article de référence | Réf : S7135 v2

Exemple introductif
Gouvernabilité et observabilité des systèmes linéaires incertains

Auteur(s) : Jean-Marc BIANNIC

Relu et validé le 26 avr. 2021 | Read in English

Pour explorer cet article
Télécharger l'extrait gratuit

Vous êtes déjà abonné ?Connectez-vous !

Sommaire

Présentation

RÉSUMÉ

Cet article propose une introduction avancée sur les notions de gouvernabilité et d’observabilité des systèmes linéaires en présence éventuelle d’incertitudes. Dans un premier temps, l’apparition des modes ingouvernables ou inobservables est étudiée dans le cadre des systèmes monodimensionnels. Puis une généralisation aux systèmes multidimensionnels est décrite. Des détails sur la structure canonique de Kalman viennent compléter ces notions. Quelques réflexions sur la gouvernabilité forte et la gouvernabilité faible sont ensuite proposées avant que ne soient abordée une extension de la notion de gouvernabilité au cas des systèmes linéaires incertains. Des aspects logiciels viennent conclure cet article.

Lire cet article issu d'une ressource documentaire complète, actualisée et validée par des comités scientifiques.

Lire l’article

Auteur(s)

  • Jean-Marc BIANNIC : Directeur de recherche à l’ONERA – Professeur à ISAE-SUPAÉRO - ONERA-DTIS, Toulouse, France

INTRODUCTION

L’article [S 7 130] « Représentation d’un système linéaire. Extensions aux systèmes incertains » avait introduit la représentation par modèle d’état, et montré comment ce modèle pouvait être obtenu à partir d’une représentation initiale sous forme d’équation différentielle ou de fonction de transfert, et comment on pouvait obtenir, pour un système complexe constitué de sous-systèmes interconnectés, un modèle d’état global conservant l’information de structure.

Pour des raisons de simplicité, les notions – pourtant fondamentales – de gouvernabilité et d’observabilité avaient été occultées et, de ce fait, on pouvait croire que les trois types de représentation (fonction de transfert, équation différentielle, modèle d’état) correspondaient à une même connaissance du système.

Il n’en est pas toujours ainsi et la représentation d’état d’un système peut être d’un ordre supérieur à celui de la fonction de transfert, voire de l’équation différentielle. Quelle est l’origine de l’existence de ces modes ? Quelles conséquences en résulte-t-il ? Ce sont deux questions fondamentales en théorie, mais aussi très importantes en pratique, auxquelles on répondra en l’absence d’incertitudes dans un premier temps. Dans un deuxième temps, on reviendra sur le cas des systèmes linéaires incertains dont la représentation LFT a aussi été abordée dans l’article [S 7 130]. On étudiera comment, sur de tels systèmes, se généralise la notion de gouvernabilité.

Cet article est réservé aux abonnés.
Il vous reste 95% à découvrir.

Pour explorer cet article
Téléchargez l'extrait gratuit

Vous êtes déjà abonné ?Connectez-vous !


L'expertise technique et scientifique de référence

La plus importante ressource documentaire technique et scientifique en langue française, avec + de 1 200 auteurs et 100 conseillers scientifiques.
+ de 10 000 articles et 1 000 fiches pratiques opérationnelles, + de 800 articles nouveaux ou mis à jours chaque année.
De la conception au prototypage, jusqu'à l'industrialisation, la référence pour sécuriser le développement de vos projets industriels.

VERSIONS

Il existe d'autres versions de cet article :

DOI (Digital Object Identifier)

https://doi.org/10.51257/a-v2-s7135


Cet article fait partie de l’offre

Automatique et ingénierie système

(137 articles en ce moment)

Cette offre vous donne accès à :

Une base complète d’articles

Actualisée et enrichie d’articles validés par nos comités scientifiques

Des services

Un ensemble d'outils exclusifs en complément des ressources

Des modules pratiques

Opérationnels et didactiques, pour garantir l'acquisition des compétences transverses

Doc & Quiz

Des articles interactifs avec des quiz, pour une lecture constructive

ABONNEZ-VOUS

1. Exemple introductif

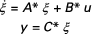
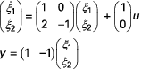
À titre d’illustration, on considère les deux systèmes Σ, Σ * représentés sur la figure 1 (a et b), constitués de deux sous-systèmes S1, S2, interconnectés en cascade, dans l’ordre S1S2 puis S2S1.

Manifestement, ces deux systèmes Σ et Σ * sont d’ordre 2, et instables par suite de l’existence du mode p = 1 dans le demi-plan droit.

De fait, des modèles d’état associés, avec le choix des variables indiquées sur la figure 1 (a et b), sont :

  • pour Σ :

    ( 1 )

    soit :

  • pour Σ * :

    ( 2 )

    soit :

L’équation caractéristique est (p + 1)(p – 1) = 0 dans les deux cas.

  • Supposons qu’au lieu de chercher un modèle d’état, on ait cherché l’équation différentielle liant l’entrée et la sortie, ce qui revient à éliminer les variables x 1, x 2 (ou ξ 1, ξ 2) dans les équations précédentes.

    • Dans le premier cas (figure 1 a et équation (1)), on a :

      ...

Cet article est réservé aux abonnés.
Il vous reste 92% à découvrir.

Pour explorer cet article
Téléchargez l'extrait gratuit

Vous êtes déjà abonné ?Connectez-vous !


L'expertise technique et scientifique de référence

La plus importante ressource documentaire technique et scientifique en langue française, avec + de 1 200 auteurs et 100 conseillers scientifiques.
+ de 10 000 articles et 1 000 fiches pratiques opérationnelles, + de 800 articles nouveaux ou mis à jours chaque année.
De la conception au prototypage, jusqu'à l'industrialisation, la référence pour sécuriser le développement de vos projets industriels.

TEST DE VALIDATION ET CERTIFICATION CerT.I. :

Cet article vous permet de préparer une certification CerT.I.

Le test de validation des connaissances pour obtenir cette certification de Techniques de l’Ingénieur est disponible dans le module CerT.I.

Obtenez CerT.I., la certification
de Techniques de l’Ingénieur !
Acheter le module

Cet article fait partie de l’offre

Automatique et ingénierie système

(137 articles en ce moment)

Cette offre vous donne accès à :

Une base complète d’articles

Actualisée et enrichie d’articles validés par nos comités scientifiques

Des services

Un ensemble d'outils exclusifs en complément des ressources

Des modules pratiques

Opérationnels et didactiques, pour garantir l'acquisition des compétences transverses

Doc & Quiz

Des articles interactifs avec des quiz, pour une lecture constructive

ABONNEZ-VOUS

Lecture en cours
Exemple introductif
Sommaire
Sommaire

BIBLIOGRAPHIE

  • (1) - BEMPORAD (A.), FERRARI-TRECATE (G.), MORARI (M.) -   Observability and controllability of piecewise affine and hybrid systems.  -  IEEE Transactions on Automatic Control, vol. 45, Issue 10 – pp. 1864-1876 (October 2000).

  • (2) - CALLIER (F.M.) -   Linear System Theory.  -  Ed. Springer (1991).

  • (3) - CORLESS (M.J.), FRAHZO (A.E.) -   Linear Systems and Control.  -  Ed. Marcel Dekker (2003).

  • (4) - DOYLE (J.), PACKARD (A.), ZHOU (K.) -   Review of LFTs, LMIs and µ.  -  In proceedings of the 30th Conference on Decision and Control, Brighton, England, December 1991.

  • (5) - FOSSARD (A.J.) -   Représentation, observation et commande dans l’espace d’état.  -  Polycopié SUPAÉRO (1995).

  • (6) - GILBERT (E.G.) -   Controllability...

1 Outils logiciels

BIANNIC (J-M), DEMOURANT (F), FERRERES (G), HARDIER (G), ROOS (C). The SMAC Toolbox : a collection of libraries for Systems Modeling Analysis and Control, June 2016, online available at http://w3.onera.fr/smac/.

BIANNIC (J-M), ROOS (C), Generalized State Space : a new Matlab class to model uncertain and nonlinear systems as Linear Fractional Representations, February 2016, available with the SMAC toolbox at http://w3.onera.fr/smac/gss.

ROOS (C), BIANNIC (J-M), Robustness analysis by a μ-analysis based approach using the SMART library, February 2016, available with the SMAC toolbox at http://w3.onera.fr/smac/smart.

MATHWORKS – MATLAB and SIMULINK for technical computing – https://fr.mathworks.com/

MATHWORKS – CONTROL SYSTEM TOOLBOX – Design and analyze controllers for dynamic systems – https://fr.mathworks.com/products/control.html

MATHWORKS – ROBUST CONTROL TOOLBOX – Design robust controllers for uncertain plants – https://fr.mathworks.com/help/robust/

OCTAVE – A high-level language dedicated to numerical computations – http://www.gnu.org/software/octave/

SCILAB – A Free Scientific Software Package – http://www.scilab.org

HAUT DE PAGE

Cet article est réservé aux abonnés.
Il vous reste 95% à découvrir.

Pour explorer cet article
Téléchargez l'extrait gratuit

Vous êtes déjà abonné ?Connectez-vous !


L'expertise technique et scientifique de référence

La plus importante ressource documentaire technique et scientifique en langue française, avec + de 1 200 auteurs et 100 conseillers scientifiques.
+ de 10 000 articles et 1 000 fiches pratiques opérationnelles, + de 800 articles nouveaux ou mis à jours chaque année.
De la conception au prototypage, jusqu'à l'industrialisation, la référence pour sécuriser le développement de vos projets industriels.

Cet article fait partie de l’offre

Automatique et ingénierie système

(137 articles en ce moment)

Cette offre vous donne accès à :

Une base complète d’articles

Actualisée et enrichie d’articles validés par nos comités scientifiques

Des services

Un ensemble d'outils exclusifs en complément des ressources

Des modules pratiques

Opérationnels et didactiques, pour garantir l'acquisition des compétences transverses

Doc & Quiz

Des articles interactifs avec des quiz, pour une lecture constructive

ABONNEZ-VOUS

Sommaire

QUIZ ET TEST DE VALIDATION PRÉSENTS DANS CET ARTICLE

1/ Quiz d'entraînement

Entraînez vous autant que vous le voulez avec les quiz d'entraînement.

2/ Test de validation

Lorsque vous êtes prêt, vous passez le test de validation. Vous avez deux passages possibles dans un laps de temps de 30 jours.

Entre les deux essais, vous pouvez consulter l’article et réutiliser les quiz d'entraînement pour progresser. L’attestation vous est délivrée pour un score minimum de 70 %.


L'expertise technique et scientifique de référence

La plus importante ressource documentaire technique et scientifique en langue française, avec + de 1 200 auteurs et 100 conseillers scientifiques.
+ de 10 000 articles et 1 000 fiches pratiques opérationnelles, + de 800 articles nouveaux ou mis à jours chaque année.
De la conception au prototypage, jusqu'à l'industrialisation, la référence pour sécuriser le développement de vos projets industriels.

Cet article fait partie de l’offre

Automatique et ingénierie système

(137 articles en ce moment)

Cette offre vous donne accès à :

Une base complète d’articles

Actualisée et enrichie d’articles validés par nos comités scientifiques

Des services

Un ensemble d'outils exclusifs en complément des ressources

Des modules pratiques

Opérationnels et didactiques, pour garantir l'acquisition des compétences transverses

Doc & Quiz

Des articles interactifs avec des quiz, pour une lecture constructive

ABONNEZ-VOUS