Présentation

Article

1 - ZONAGE RÉGLEMENTAIRE, CLASSIFICATION DES SOLS ET COEFFICIENTS D’IMPORTANCE

  • 1.1 - Zonage réglementaire
  • 1.2 - Classification des sols selon l’Eurocode 8
  • 1.3 - Coefficients d’importance

2 - COMPORTEMENT DYNAMIQUE DU SOL

  • 2.1 - Module de cisaillement G et amplitude des déformations de cisaillement
  • 2.2 - Définition du degré d’amortissement
  • 2.3 - Corrélations pour estimer le module de cisaillement G
  • 2.4 - Liquéfaction des sols
  • 2.5 - Amplification du mouvement sismique et effets de site

3 - DÉFINITION DES EFFORTS APPLIQUÉS AUX FONDATIONS

4 - JUSTIFICATIONS DES FONDATIONS SUPERFICIELLES

  • 4.1 - Préambule
  • 4.2 - Portance selon l'EN 1998-5 [Annexe F]

5 - JUSTIFICATIONS DES FONDATIONS PROFONDES

  • 5.1 - Préambule
  • 5.2 - Effet inertiel
  • 5.3 - Effet cinématique
  • 5.4 - Cumul des effets inertiels et cinématiques

6 - CONCLUSION

Article de référence | Réf : C250 v1

Justifications des fondations superficielles
Eurocode 8 : fondations superficielles et profondes

Auteur(s) : Léo QUIRIN, Stéphane MULLER

Relu et validé le 20 juil. 2020 | Read in English

Pour explorer cet article
Télécharger l'extrait gratuit

Vous êtes déjà abonné ?Connectez-vous !

Sommaire

Présentation

RÉSUMÉ

Les Eurocodes sont un nouveau référentiel normatif. Du fait de leur principe de rédaction et des nombreux sujets techniques qu'ils couvrent, ils peuvent s'avérer d'une utilisation complexe, conduisant à survoler certains sujets dont tous les aspects doivent être développés pour devenir utilisables. L'objet de cet article est de fournir une aide pratique d'utilisation de la norme NF EN 1998-1, associée aux normes NF EN 1998-5 et NF EN 1997, ainsi qu'à l'Arrêté du 22 octobre 2010 pour la conception et le dimensionnement des fondations superficielles et profondes des bâtiments à risque normal situés en zone sismique. Cet article explicite et complète les chapitres de la norme NF EN 1998-1 lesquels développent les conditions de sol et les actions sismiques, les méthodes d'analyses de la structure et les dispositions constructives des fondations superficielles et profondes.

Lire cet article issu d'une ressource documentaire complète, actualisée et validée par des comités scientifiques.

Lire l’article

Auteur(s)

INTRODUCTION

Selon l’EC8-1 (§ 1.1), la protection parasismique consiste à assurer que :

  • les vies humaines sont protégées ;

  • les dommages sont limités ;

  • les structures importantes pour la protection civile restent opérationnelles.

Trois types de conceptions peuvent être envisagés, qui impliquent des méthodes d’analyse différentes, mais également des conséquences variables en termes de performance et de niveau d’endommagement sismique :

  • conception « élastique » ;

  • conception « ductile » ;

  • ou conception basée sur les principes d’isolation sismique et d’amortissement.

Il appartient donc au maître d'ouvrage, en fonction du contexte (sismicité, valeur attribuée à l’ouvrage, aspects stratégiques, organisation des secours), de se prononcer en faveur de l'une ou l'autre.

Cet article est réservé aux abonnés.
Il vous reste 95% à découvrir.

Pour explorer cet article
Téléchargez l'extrait gratuit

Vous êtes déjà abonné ?Connectez-vous !


L'expertise technique et scientifique de référence

La plus importante ressource documentaire technique et scientifique en langue française, avec + de 1 200 auteurs et 100 conseillers scientifiques.
+ de 10 000 articles et 1 000 fiches pratiques opérationnelles, + de 800 articles nouveaux ou mis à jours chaque année.
De la conception au prototypage, jusqu'à l'industrialisation, la référence pour sécuriser le développement de vos projets industriels.

MOTS-CLÉS

norme européenne

DOI (Digital Object Identifier)

https://doi.org/10.51257/a-v1-c250


Cet article fait partie de l’offre

Mécanique des sols et géotechnique

(41 articles en ce moment)

Cette offre vous donne accès à :

Une base complète d’articles

Actualisée et enrichie d’articles validés par nos comités scientifiques

Des services

Un ensemble d'outils exclusifs en complément des ressources

Des modules pratiques

Opérationnels et didactiques, pour garantir l'acquisition des compétences transverses

Doc & Quiz

Des articles interactifs avec des quiz, pour une lecture constructive

ABONNEZ-VOUS

4. Justifications des fondations superficielles

4.1 Préambule

La nouvelle réglementation NFP 94-261 est à appliquer dans le cas de fondations superficielles. Celle-ci se réfère à l'Eurocode 8 Partie 5 pour la vérification en zone sismique. Désormais, l'Eurocode propose de calculer des courbes enveloppes directement à partir des efforts sismiques et présente l'avantage de tenir compte des forces d'inertie du sol.

HAUT DE PAGE

4.2 Portance selon l'EN 1998-5 [Annexe F]

La capacité portante d'un sol est la contrainte que peut reprendre le sol avant rupture par cisaillement.

L'Annexe F de l'EC8-5 propose une expression générale issue d'essais (Pecker, 1995) afin d'établir la vérification de la capacité portante sismique.

La principale nouveauté est la vérification de la portance sismique à partir de courbes enveloppes, fonction des actions sismiques.

HAUT DE PAGE

4.2.1 Expression générale

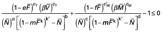
Pour des situations de projet sismiques vis-à-vis d'un défaut de portance, la NFP 94 261 se réfère à l'Annexe F de l'EC8-5. Cette Annexe F établit l'expression générale (1) qui définit la stabilité par rapport à une rupture par perte de capacité portante sismique d'une semelle superficielle reposant sur la surface d'un sol homogène.

Cette expression relie la résistance du sol, les effets de l'action sismique de calcul (N Ed, V Ed, M Ed) au niveau des fondations et les forces d'inertie du sol.

( 1 )

avec a, b, c, d, e, f, m, k, k′,...

Cet article est réservé aux abonnés.
Il vous reste 94% à découvrir.

Pour explorer cet article
Téléchargez l'extrait gratuit

Vous êtes déjà abonné ?Connectez-vous !


L'expertise technique et scientifique de référence

La plus importante ressource documentaire technique et scientifique en langue française, avec + de 1 200 auteurs et 100 conseillers scientifiques.
+ de 10 000 articles et 1 000 fiches pratiques opérationnelles, + de 800 articles nouveaux ou mis à jours chaque année.
De la conception au prototypage, jusqu'à l'industrialisation, la référence pour sécuriser le développement de vos projets industriels.

Cet article fait partie de l’offre

Mécanique des sols et géotechnique

(41 articles en ce moment)

Cette offre vous donne accès à :

Une base complète d’articles

Actualisée et enrichie d’articles validés par nos comités scientifiques

Des services

Un ensemble d'outils exclusifs en complément des ressources

Des modules pratiques

Opérationnels et didactiques, pour garantir l'acquisition des compétences transverses

Doc & Quiz

Des articles interactifs avec des quiz, pour une lecture constructive

ABONNEZ-VOUS

Lecture en cours
Justifications des fondations superficielles
Sommaire
Sommaire

BIBLIOGRAPHIE

  • (1) - AFPS -   Procédés d’amélioration et de renforcement de sol sous actions sismiques  -  Presses des Ponts (2012).

  • (2) - DAVIDOVICI (V.), LAMBERT (S.) -   Fondations et procédés d’amélioration du sol  -  Édition Eyrolles (2013).

  • (3) - SOULOUMIAC (R.) -   Méthode simplifiée de calcul des pieux en zones sismiques  -  Annales de l’Institut Technique du Bâtiment et des Travaux Public n° 441 (1986).

  • (4) - DAVIDOVICI (V.), CORVEZ (D.), CAPRA (A.), GHAVAMIAN (S.), LE CORVEC (V.), SAINTJEAN (C.) -   Pratique du calcul sismique (Guide d’Application)  -  Édition Eyrolles (2013).

NORMES

  • Eurocode 7 : calcul géotechnique – Partie 1 : règles générales (Indice de classement : P94-251-1). - NF EN 1997-1 - (juin 2005)

  • Eurocode 7 – Calcul géotechnique – Partie 1 : règles générales – Annexe Nationale à la NF EN 1997-1:2005 (Indice de classement : P94-251-1/NA). - NF EN 1997-1/NA - (septembre 2006)

  • Eurocode 7 : calcul géotechnique – Partie 2 : reconnaissance des terrains et essais (Indice de classement : P94-252). - NF EN 1997-2 - (septembre 2007)

  • Eurocode 8 – Calcul des structures pour leur résistance aux séismes (indice de classement français : P06-030-1). - NF EN 1998-1 -  

  • Eurocode 8 – Calcul des structures pour leur résistance aux séismes – Partie 5 : fondations, ouvrages de soutènement et aspects géotechniques (Indice de classement : P06-035-1). - NF EN 1998-5 - (Septembre 2005)

1 Réglementation

Arrêté du 22 octobre 2010 et de l’Arrêté du 19 juillet 2011 modifiant l’arrêté du 22 octobre 2010 relatif à la classification et aux règles de construction parasismique applicables aux bâtiments de la classe dite « à risque normal ».

HAUT DE PAGE

Cet article est réservé aux abonnés.
Il vous reste 94% à découvrir.

Pour explorer cet article
Téléchargez l'extrait gratuit

Vous êtes déjà abonné ?Connectez-vous !


L'expertise technique et scientifique de référence

La plus importante ressource documentaire technique et scientifique en langue française, avec + de 1 200 auteurs et 100 conseillers scientifiques.
+ de 10 000 articles et 1 000 fiches pratiques opérationnelles, + de 800 articles nouveaux ou mis à jours chaque année.
De la conception au prototypage, jusqu'à l'industrialisation, la référence pour sécuriser le développement de vos projets industriels.

Cet article fait partie de l’offre

Mécanique des sols et géotechnique

(41 articles en ce moment)

Cette offre vous donne accès à :

Une base complète d’articles

Actualisée et enrichie d’articles validés par nos comités scientifiques

Des services

Un ensemble d'outils exclusifs en complément des ressources

Des modules pratiques

Opérationnels et didactiques, pour garantir l'acquisition des compétences transverses

Doc & Quiz

Des articles interactifs avec des quiz, pour une lecture constructive

ABONNEZ-VOUS