Présentation

Article

1 - DÉFINITIONS ET EXEMPLES. ÉCRITURE DES POLYCONDENSATS

  • 1.1 - Définitions officielles données par l’IUPAC et autres dénominations
  • 1.2 - Exemples

2 - NATURE ET FORMATION DES SITES RÉACTIONNELS

3 - PRINCIPALES ÉTAPES DES POLYCONDENSATIONS ET POLYADDITIONS

  • 3.1 - Croissance de la chaîne
  • 3.2 - Cessation de croissance des chaînes

4 - RÉACTIONS SECONDAIRES

5 - CONTRÔLE DES MASSES MOLAIRES

  • 5.1 - Relations générales et systèmes A A + B B ou A B + A B
  • 5.2 - Systèmes A A + B B + R CB
  • 5.3 - Nature des extrémités des chaînes

6 - DISTRIBUTION MOLAIRE DANS LES POLYCONDENSATS LINÉAIRES

7 - POLYCONDENSATIONS ÉQUILIBRÉES

  • 7.1 - Systèmes fermés
  • 7.2 - Systèmes ouverts

8 - CINÉTIQUE DES POLYCONDENSATIONS ET POLYADDITIONS

9 - SYSTÈMES À FONCTIONNALITÉ SUPÉRIEURE À 2. POINT DE GEL

  • 9.1 - Théorie de Carothers
  • 9.2 - Théorie de Flory-Stockmayer

10 - LES TECHNIQUES DE POLYCONDENSATION

Article de référence | Réf : AM3041 v1

Réactions secondaires
Polycondensation et polyaddition

Auteur(s) : Ernest MARÉCHAL

Date de publication : 10 juil. 1998 | Read in English

Pour explorer cet article
Télécharger l'extrait gratuit

Vous êtes déjà abonné ?Connectez-vous !

Sommaire

Présentation

Auteur(s)

  • Ernest MARÉCHAL : Agrégé de Sciences Physiques - Docteur ès Sciences - Professeur Émérite à l’Université Pierre-et-Marie-Curie (Paris)

Lire cet article issu d'une ressource documentaire complète, actualisée et validée par des comités scientifiques.

Lire l’article

INTRODUCTION

Cet article a pour objectif de présenter les bases théoriques de la polyaddition et de la polycondensation, en particulier la définition de leurs principales étapes, leur thermodynamique et leur cinétique ; la contribution des réactions secondaires est analysée. Les relations permettant le contrôle et la distribution des masses molaires ainsi que celles relatives au phénomène de gélification sont données. Les principales techniques de polyaddition et de polycondensation sont décrites, en particulier celles qui ont été plus récemment développées.

Cet article est réservé aux abonnés.
Il vous reste 95% à découvrir.

Pour explorer cet article
Téléchargez l'extrait gratuit

Vous êtes déjà abonné ?Connectez-vous !


L'expertise technique et scientifique de référence

La plus importante ressource documentaire technique et scientifique en langue française, avec + de 1 200 auteurs et 100 conseillers scientifiques.
+ de 10 000 articles et 1 000 fiches pratiques opérationnelles, + de 800 articles nouveaux ou mis à jours chaque année.
De la conception au prototypage, jusqu'à l'industrialisation, la référence pour sécuriser le développement de vos projets industriels.

DOI (Digital Object Identifier)

https://doi.org/10.51257/a-v1-am3041


Cet article fait partie de l’offre

Plastiques et composites

(400 articles en ce moment)

Cette offre vous donne accès à :

Une base complète d’articles

Actualisée et enrichie d’articles validés par nos comités scientifiques

Des services

Un ensemble d'outils exclusifs en complément des ressources

Des modules pratiques

Opérationnels et didactiques, pour garantir l'acquisition des compétences transverses

Doc & Quiz

Des articles interactifs avec des quiz, pour une lecture constructive

ABONNEZ-VOUS

Lecture en cours
Présentation

4. Réactions secondaires

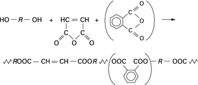
La plupart des polycondensations et des polyadditions sont accompagnées de réactions dites secondaires qui peuvent être très différentes de la réaction principale. Les progrès de l’analyse chimique ont permis de montrer des anomalies structurales dans des systèmes considérés longtemps comme purs. Par ailleurs, l’exigence croissante des applicateurs oblige le producteur à détecter et à éliminer au maximum ces phénomènes parasites. Le cas des poly-esters insaturés est typique de ces phénomènes.

La préparation la plus classique des polyesters insaturés consiste à polycondenser un mélange de diols et d’anhydrides renfermant presque toujours de l’anhydride maléique et, pour certains grades, l’anhydride phtalique. La réaction principale est la suivante :

La parenthèse indique que l’anhydride phtalique est présent ou non.

Cette réaction principale est accompagnée de nombreuses réactions secondaires ; trois d’entre elles [12], [13], [14] sont données ci-dessous :

  • quand HO R OH est le propane-1,2-diol (CH3 ...

Cet article est réservé aux abonnés.
Il vous reste 93% à découvrir.

Pour explorer cet article
Téléchargez l'extrait gratuit

Vous êtes déjà abonné ?Connectez-vous !


L'expertise technique et scientifique de référence

La plus importante ressource documentaire technique et scientifique en langue française, avec + de 1 200 auteurs et 100 conseillers scientifiques.
+ de 10 000 articles et 1 000 fiches pratiques opérationnelles, + de 800 articles nouveaux ou mis à jours chaque année.
De la conception au prototypage, jusqu'à l'industrialisation, la référence pour sécuriser le développement de vos projets industriels.

Cet article fait partie de l’offre

Plastiques et composites

(400 articles en ce moment)

Cette offre vous donne accès à :

Une base complète d’articles

Actualisée et enrichie d’articles validés par nos comités scientifiques

Des services

Un ensemble d'outils exclusifs en complément des ressources

Des modules pratiques

Opérationnels et didactiques, pour garantir l'acquisition des compétences transverses

Doc & Quiz

Des articles interactifs avec des quiz, pour une lecture constructive

ABONNEZ-VOUS

Lecture en cours
Réactions secondaires
Sommaire
Sommaire

BIBLIOGRAPHIE

  • (1) - MARÉCHAL (E.) -   Polycondensation, polyaddition et modification des polymères.  -  [J 5 831] Traité Opérations unitaires. Génie de la réaction chimique (2000).

  • (2) - QUENTIN (J.-P.) -   Polycondensation des polyesters saturés.  -  [J 5 850] Traité Génie de la réaction. Génie de la réaction chimique (2004).

  • (3) - GUYOT (A.) -   Polymérisation.  -  [J 5 830] Traité Opérations unitaires. Génie de la réaction chimique (2000).

  • (4) - LAOUT (J.-C.) -   Formulation des peintures. Mise en œuvre des polymères utilisés.  -  [J 2 272] Traité Formulation (2005).

  • (5) - LAOUT (J.-C.) -   Protection et décoration par peinture.  -  [M 1 505] Traité Corrosion Vieillissement (1999).

  • (6) - GUÉRIN (B.) -   Polyamides...

1 Outils

  • RheoPower (Logiciel de détection de la distribution des masses moléculaires en fonction des mesures de viscosité. Modélisation et simulation des distributions). TOMCOAT http://www.tomcoat.com

  • PolyEFF (Simulateur de réaction de polymérisation). EFFTech Engineering Software http://efftech.tripod.com

HAUT DE PAGE

2 Annuaire

HAUT DE PAGE

2.1 Laboratoires – Bureaux d'études – Écoles – Centres de recherche (liste non exhaustive)

Cet article est réservé aux abonnés.
Il vous reste 93% à découvrir.

Pour explorer cet article
Téléchargez l'extrait gratuit

Vous êtes déjà abonné ?Connectez-vous !


L'expertise technique et scientifique de référence

La plus importante ressource documentaire technique et scientifique en langue française, avec + de 1 200 auteurs et 100 conseillers scientifiques.
+ de 10 000 articles et 1 000 fiches pratiques opérationnelles, + de 800 articles nouveaux ou mis à jours chaque année.
De la conception au prototypage, jusqu'à l'industrialisation, la référence pour sécuriser le développement de vos projets industriels.

Cet article fait partie de l’offre

Plastiques et composites

(400 articles en ce moment)

Cette offre vous donne accès à :

Une base complète d’articles

Actualisée et enrichie d’articles validés par nos comités scientifiques

Des services

Un ensemble d'outils exclusifs en complément des ressources

Des modules pratiques

Opérationnels et didactiques, pour garantir l'acquisition des compétences transverses

Doc & Quiz

Des articles interactifs avec des quiz, pour une lecture constructive

ABONNEZ-VOUS