Présentation

Article

1 - PRINCIPES DE FONCTIONNEMENT D'UNE OLED

2 - DOPAGE

3 - EXTRACTION LUMINEUSE

4 - OLED À ÉMISSION HAUTE

5 - OLED POUR L'ÉCLAIRAGE

6 - OLED POUR L'AFFICHAGE

7 - ADRESSAGE

8 - CONCLUSION ET PERSPECTIVES

Article de référence | Réf : R620 v3

Extraction lumineuse
OLED pour l'affichage et l'éclairage

Auteur(s) : Christophe FÉRY, Philippe LE ROY

Relu et validé le 01 mars 2015

Pour explorer cet article
Télécharger l'extrait gratuit

Vous êtes déjà abonné ?Connectez-vous !

Sommaire

Présentation

RÉSUMÉ

Cet article décrit le principe de fonctionnement d'une diode organique électroluminescente à base de petites molécules (OLED). L'optimisation du dispositif y est discutée, notamment l'architecture multicouche et le dopage des couches de transport et d'émission. Ces stratégies ont permis de tels progrès qu'il est envisageable pour les diodes organiques de remplacer les LED inorganiques (Light-Emitting Diodes) pour des applications d'éclairage ou bien les LCD (Liquid Crystal Display) pour de la visualisation. Les performances requises pour l'éclairage sont présentées et un bref état de l'art est proposé. Les caractéristiques d'un écran OLED sont comparées avec celles d'un écran LCD. Les différentes stratégies d'adressage sont aussi discutées.

Lire cet article issu d'une ressource documentaire complète, actualisée et validée par des comités scientifiques.

Lire l’article

Auteur(s)

  • Christophe FÉRY : Responsable produit - SCHMID Group, Freudenstadt, Allemagne

  • Philippe LE ROY : Ingénieur Recherche et Développement - Technicolor R France, Cesson-Sévigné, France

INTRODUCTION

Si l'électroluminescence organique est étudiée depuis les années 1960, c'est depuis les résultats reportés par Kodak à la fin des années 1980 que le sujet a pris une ampleur déterminante. À tel point qu'il est possible que les diodes organiques électroluminescentes (ou « Organic Light-Emitting Diodes » – OLED) remplacent un jour les écrans LCD ou les systèmes d'éclairage à incandescence, voire ceux à base de diodes inorganiques et ouvrent la voie à de nouvelles applications telles que les écrans flexibles ou les murs lumineux. Il faut distinguer trois types d'OLED qui se définissent en fonction de la nature des matériaux organiques utilisés : les molécules de faible masse moléculaire qui sont déposées par évaporation sous vide, et les petites molécules en solution et les polymères qui sont mis en œuvre de la même façon, par impression par jet d'encre. Il ne sera question ici que des petites molécules déposées sous vide, celles-ci présentant les meilleures performances en termes de rendement ou de durée de vie. Évidemment, d'un point de vue économique, les matériaux imprimables sont préférables et, à long terme, il est probable qu'ils dominent le marché.

L'objectif du premier paragraphe est de décrire les principaux mécanismes à l'origine de l'électroluminescence (injection, transport, recombinaison et désexcitation) et d'en déduire les règles de base pour la conception de diodes électroluminescentes organiques : sélection des matériaux et conception de systèmes multicouches. Les définitions des différents rendements utiles pour caractériser les performances des OLED y sont aussi discutées et les problèmes de durée de vie sont présentés. Le paragraphe 2 est consacré au dopage des couches émissives et des couches de transport. Cette technologie, en bien des points analogue à celle employée dans les semi-conducteurs inorganiques, permet d'obtenir la conversion quasi intégrale de l'énergie électrique en énergie lumineuse. Malheureusement, seule une partie de cette lumière (20 %) est extraite, du fait de l'indice optique du milieu émetteur (supérieur à 1). Le paragraphe 3 décrit les stratégies mises en œuvre pour récupérer cette énergie perdue. Une architecture de diode particulière est ensuite présentée qui est indispensable pour l'intégration sur des matrices TFT et/ou des substrats flexibles (diode à émission haute, paragraphe 4). Le paragraphe 5 discute de la pertinence des diodes organiques électroluminescentes « blanches » pour l'éclairage et un état de l'art y est proposé. L'utilisation d'OLED pour l'affichage vidéo est présentée paragraphe 6 où l'étendue de l'espace des couleurs émises (gamut) et la consommation électrique d'un système RVB (rouge, vert, bleu) sont discutées sur la base de performances actuelles. Trois verrous technologiques liés à l'industrialisation sont aussi évoqués : la pixellisation, les dépôts sous vide et l'encapsulation. Enfin, le paragraphe 7 traite des structures et du fonctionnement d'écrans OLED, ainsi que des stratégies d'adressage.

Cet article est réservé aux abonnés.
Il vous reste 95% à découvrir.

Pour explorer cet article
Téléchargez l'extrait gratuit

Vous êtes déjà abonné ?Connectez-vous !


L'expertise technique et scientifique de référence

La plus importante ressource documentaire technique et scientifique en langue française, avec + de 1 200 auteurs et 100 conseillers scientifiques.
+ de 10 000 articles et 1 000 fiches pratiques opérationnelles, + de 800 articles nouveaux ou mis à jours chaque année.
De la conception au prototypage, jusqu'à l'industrialisation, la référence pour sécuriser le développement de vos projets industriels.

VERSIONS

Il existe d'autres versions de cet article :

DOI (Digital Object Identifier)

https://doi.org/10.51257/a-v3-r620


Cet article fait partie de l’offre

Le traitement du signal et ses applications

(162 articles en ce moment)

Cette offre vous donne accès à :

Une base complète d’articles

Actualisée et enrichie d’articles validés par nos comités scientifiques

Des services

Un ensemble d'outils exclusifs en complément des ressources

Des modules pratiques

Opérationnels et didactiques, pour garantir l'acquisition des compétences transverses

Doc & Quiz

Des articles interactifs avec des quiz, pour une lecture constructive

ABONNEZ-VOUS

Lecture en cours
Présentation

3. Extraction lumineuse

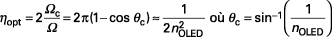
Jusqu'ici, nous avons supposé que ηopt ≈ 20 %. Ce facteur s'explique par la différence des indices de réfraction entre le milieu dans lequel les photons sont générés (en général nOLED = 1,7) et l'air (n = 1) : les rayons qui arrivent à l'interface verre/air avec un angle d'incidence trop important, en accord avec la loi de Snell-Descarte, sont totalement réfléchis et restent piégés dans la structure. L'onde lumineuse émise lors de la désexcitation d'un exciton étant isotrope, il est alors possible d'estimer l'énergie transmise vers l'observateur :

avec :

c
 : 
angle solide d'extraction,
 : 
angle solide d'émission,
qc
 : 
angle critique au-delà duquel la réflexion est totale.

Le facteur 2 tient compte du fait que la moitié du flux émis est réfléchi sur l'électrode métallique avant d'être extrait. Bien évidemment, un premier piégeage s'effectue entre l'ITO et le verre (nIT0 = 1,8 et nverre = 1,5). Les différents modes de propagation possibles sont reportés dans le tableau 3. Remarquons que c'est cette redistribution angulaire lors de la transmission vers l'air qui donne à l'OLED une émission quasi lambertienne .

L'estimation de l'énergie transportée par chaque mode peut être assez éloignée de la réalité quand les phénomènes interférentiels ne sont pas pris en compte. Un premier type d'interférence a pour origine les réflexions...

Cet article est réservé aux abonnés.
Il vous reste 92% à découvrir.

Pour explorer cet article
Téléchargez l'extrait gratuit

Vous êtes déjà abonné ?Connectez-vous !


L'expertise technique et scientifique de référence

La plus importante ressource documentaire technique et scientifique en langue française, avec + de 1 200 auteurs et 100 conseillers scientifiques.
+ de 10 000 articles et 1 000 fiches pratiques opérationnelles, + de 800 articles nouveaux ou mis à jours chaque année.
De la conception au prototypage, jusqu'à l'industrialisation, la référence pour sécuriser le développement de vos projets industriels.

Cet article fait partie de l’offre

Le traitement du signal et ses applications

(162 articles en ce moment)

Cette offre vous donne accès à :

Une base complète d’articles

Actualisée et enrichie d’articles validés par nos comités scientifiques

Des services

Un ensemble d'outils exclusifs en complément des ressources

Des modules pratiques

Opérationnels et didactiques, pour garantir l'acquisition des compétences transverses

Doc & Quiz

Des articles interactifs avec des quiz, pour une lecture constructive

ABONNEZ-VOUS

Lecture en cours
Extraction lumineuse
Sommaire
Sommaire

BIBLIOGRAPHIE

  • (1) - HUNG (L.S.), TANG (C.W.), MASON (M.G.) -   Enhanced electron injection in organic electroluminescent device using an Ql/LiF electrode.  -  Appl. Phys. Lett. 70, p. 152-155 (1997).

  • (2) - JABBOUR (G.E.), KAWABE (Y.), SHAHEEN (S.E.), WANG (J.F.), MORRELL (M.M.), KIPPELEN (B.), PEYGHAMBARIAN (N.) -   Highly efficient and bright organic electroluminescent devices with an aluminum cathode.  -  Appl. Phys. Lett., 71, p. 1762-1765 (1997).

  • (3) - STÖSSEL (M.), STAUDIGEL (J.), STEUBER (F.), BLÄSSING (J.), SIMMERER (J.), WINNACKER (A.), NEUNER (H.), METZDORF (D.), JOHANNES (H.H.), KOWALSKY (W.) -   Electron injection and transport in 8-hydroxyquinoline aluminum.  -  Synth. Met. 111, p. 19-24 (2000).

  • (4) - MORI (T.), FUJIKAWA (H.), TOKITO (S.), TAGA (Y.) -   Electronic structure of 8-hydroxyquinoline aluminum/LiF/Al interface for organic electroluminescent device studied by ultraviolet photoelectron spectroscopy.  -  Appl. Phys. Lett., 73, p. 2763-2766 (1998).

  • (5) - MILLIRON (D.J.), HILL (I.G.), SHEN (C.), KAHN (A.), SCHWARTZ (J.) -   Surface oxidation activates indium tin oxide for hole injection  -  . J....

DANS NOS BASES DOCUMENTAIRES

Cet article est réservé aux abonnés.
Il vous reste 94% à découvrir.

Pour explorer cet article
Téléchargez l'extrait gratuit

Vous êtes déjà abonné ?Connectez-vous !


L'expertise technique et scientifique de référence

La plus importante ressource documentaire technique et scientifique en langue française, avec + de 1 200 auteurs et 100 conseillers scientifiques.
+ de 10 000 articles et 1 000 fiches pratiques opérationnelles, + de 800 articles nouveaux ou mis à jours chaque année.
De la conception au prototypage, jusqu'à l'industrialisation, la référence pour sécuriser le développement de vos projets industriels.

Cet article fait partie de l’offre

Le traitement du signal et ses applications

(162 articles en ce moment)

Cette offre vous donne accès à :

Une base complète d’articles

Actualisée et enrichie d’articles validés par nos comités scientifiques

Des services

Un ensemble d'outils exclusifs en complément des ressources

Des modules pratiques

Opérationnels et didactiques, pour garantir l'acquisition des compétences transverses

Doc & Quiz

Des articles interactifs avec des quiz, pour une lecture constructive

ABONNEZ-VOUS