Présentation

Article

1 - PRESCRIPTIONS POUR REJETS D'ÉPURATION D'EAUX URBAINES

2 - CHOIX DES FILIÈRES TECHNIQUES

3 - CALCUL DES DÉBITS D'EAUX USÉES DOMESTIQUES

  • 3.1 - Débits maximaux d'avenir
  • 3.2 - Débits moyens actuels

4 - RELÈVEMENT EN TÊTE DE L’INSTALLATION

5 - FILIÈRES DE PRÉTRAITEMENT

6 - CONCLUSION

Archive | Réf : C5220 v2

Relèvement en tête de l’installation
Traitement des eaux résiduaires des agglomérations - Concepts et relevage

Auteur(s) : Jean-Marc BERLAND

Date de publication : 10 févr. 2014

Pour explorer cet article
Télécharger l'extrait gratuit

Vous êtes déjà abonné ?Connectez-vous !

Sommaire

Présentation

Auteur(s)

  • Jean-Marc BERLAND : Docteur en sciences et techniques de l’Environnement de l’École Nationale des Ponts et Chaussées - Chef de Projet à l’Office International de l’Eau – CNIDE – Limoges (France)

Lire cet article issu d'une ressource documentaire complète, actualisée et validée par des comités scientifiques.

Lire l’article

INTRODUCTION

L’application et le respect de la directive du Conseil du 21 mai 1991, relative au traitement des eaux résiduaires urbaines, constituent toujours un enjeu majeur pour la France. Cette directive est une des pièces maîtresses de la politique environnementale de l'Union européenne.

L'une des dispositions de ce texte est l'obligation, pour les agglomérations, de mettre en place un système de collecte des eaux usées, obligatoirement associé à un système de traitement des eaux usées.

Le respect de ces obligations devait se mettre en place de manière progressive. Il s'agissait d'équiper :

  • avant le 31 décembre 1998, les agglomérations de plus de 10 000 EH rejetant leurs effluents dans une zone sensible ;

  • avant le 31 décembre 2000, les agglomérations de plus de 15 000 EH qui ne rejettent pas leurs effluents dans des zones sensibles ;

  • avant le 31 décembre 2005, les agglomérations de 2 000 EH à 10 000 EH, ou de 2 000 EH à 15 000 EH non concernées par les échéances de 1998 et de 2000.

En ce qui concerne l'échéance de 2005, la directive oblige les agglomérations de 2 000 EH à 10 000 EH qui rejettent dans une zone sensible, et jusqu'à 15 000 EH pour celles qui ne rejettent pas leurs effluents en zone sensible, à mettre en place un système de collecte et de traitement secondaire (pour les rejets en eau douce ou en estuaire), ou un système de collecte et de traitement approprié (pour les rejets en eaux côtières).

Néanmoins, la directive permet, lorsque l'installation d'un système de collecte ne se justifie pas, soit parce qu'il ne présente pas d'intérêt pour l'environnement, soit parce que son coût est excessif, de mettre en place des systèmes d'assainissement individuels, ou d'autres systèmes appropriés assurant un niveau identique de protection de l'environnement.

Par ailleurs, l'obligation de mettre en place un traitement ne se limite pas aux agglomérations de plus de 2 000 EH. Il est précisé, dans la directive, que les agglomérations de moins de 2 000 EH, ayant un système de collecte, mettent en place un traitement approprié de leurs effluents avant le 31 décembre 2005.

Le présent ensemble de trois articles présente les différentes techniques de traitement des eaux usées qui permettent de respecter les différentes obligations de cette directive.

C’est avant tout vers ces différentes techniques qu’il faudra se tourner pour remplacer une (ou plusieurs, en cas de regroupement des effluents) station(s) d’épuration vétuste(s), ou quand il faudra construire une station pour une nouvelle zone d’urbanisation, ou dans une zone non encore desservie par telle station de traitement des eaux résiduaires urbaines.

Ce premier article aborde les aspects suivants :

  • prescriptions relatives aux rejets provenant des stations d'épuration d'eaux urbaines ;

  • choix des filières techniques ;

  • calcul des débits des eaux usées domestiques ;

  • relèvement en tête de l’installation ;

  • filières de prétraitement.

Cet article est réservé aux abonnés.
Il vous reste 94% à découvrir.

Pour explorer cet article
Téléchargez l'extrait gratuit

Vous êtes déjà abonné ?Connectez-vous !


L'expertise technique et scientifique de référence

La plus importante ressource documentaire technique et scientifique en langue française, avec + de 1 200 auteurs et 100 conseillers scientifiques.
+ de 10 000 articles et 1 000 fiches pratiques opérationnelles, + de 800 articles nouveaux ou mis à jours chaque année.
De la conception au prototypage, jusqu'à l'industrialisation, la référence pour sécuriser le développement de vos projets industriels.

VERSIONS

Il existe d'autres versions de cet article :

DOI (Digital Object Identifier)

https://doi.org/10.51257/a-v2-c5220


Cet article fait partie de l’offre

Travaux publics et infrastructures

(82 articles en ce moment)

Cette offre vous donne accès à :

Une base complète d’articles

Actualisée et enrichie d’articles validés par nos comités scientifiques

Des services

Un ensemble d'outils exclusifs en complément des ressources

Des modules pratiques

Opérationnels et didactiques, pour garantir l'acquisition des compétences transverses

ABONNEZ-VOUS

Lecture en cours
Présentation

4. Relèvement en tête de l’installation

À l’arrivée d’une station de traitement des eaux usées, les concepteurs sont le plus souvent contraints d’installer un poste de relèvement, pour assurer un écoulement gravitaire sur l’ensemble des ouvrages, et cela jusqu’au point de rejet.

La cote d’arrivée des effluents en aval de la station doit être déterminée par la prise en compte de l’ensemble des pertes de charges au travers des ouvrages, en partant de la cote des plus hautes eaux (PHE) du point de rejet.

  • On parle de « poste de relèvement » quand il s’agit de faire acheminer l’eau usée uniquement en hauteur, sans grande distance entre le lieu de pompage et le lieu de livraison de l’eau. Autrement dit, lorsque les pertes de charges linéaires sont faibles devant la hauteur géométrique.

  • On parle de « poste de refoulement » par opposition quand la distance est souvent grande. C'est-à-dire quand les pertes de charges linéaires sont prépondérantes dans le calcul de la hauteur manométrique totale (HMT).

Les paramètres nécessaires pour le dimensionnement d’un poste de relèvement sont les suivants :

  • débit maximum à relever ;

  • volume utile de la bâche de relèvement ;

  • hauteur manométrique totale (HMT) ;

  • puissance de la pompe ;

  • courbe caractéristique et point de fonctionnement.

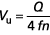
4.1 Volume utile de la bâche de relèvement

  • Le volume utile de la bâche est donné par la formule suivante :

    avec :

    Vu
     : 
    volume utile de la bâche (volume constitué entre les niveaux bas et hauts d’enclenchement de la pompe),
    Q
     : 
    débit maximum à pomper (en m3/h,
    n
     : 
    nombre de démarrages ou d’enclenchement à l’heure,
    f
     : 
    4 pour...

Cet article est réservé aux abonnés.
Il vous reste 93% à découvrir.

Pour explorer cet article
Téléchargez l'extrait gratuit

Vous êtes déjà abonné ?Connectez-vous !


L'expertise technique et scientifique de référence

La plus importante ressource documentaire technique et scientifique en langue française, avec + de 1 200 auteurs et 100 conseillers scientifiques.
+ de 10 000 articles et 1 000 fiches pratiques opérationnelles, + de 800 articles nouveaux ou mis à jours chaque année.
De la conception au prototypage, jusqu'à l'industrialisation, la référence pour sécuriser le développement de vos projets industriels.

Cet article fait partie de l’offre

Travaux publics et infrastructures

(82 articles en ce moment)

Cette offre vous donne accès à :

Une base complète d’articles

Actualisée et enrichie d’articles validés par nos comités scientifiques

Des services

Un ensemble d'outils exclusifs en complément des ressources

Des modules pratiques

Opérationnels et didactiques, pour garantir l'acquisition des compétences transverses

ABONNEZ-VOUS

Lecture en cours
Relèvement en tête de l’installation
Sommaire
Sommaire

BIBLIOGRAPHIE

  • (1) - BERLAND (J.-M.), BOUTIN (C.), MOLLE (P.), COOPER (P.) -   Guide des procédés épuratoires extensifs d'épuration des eaux usées adaptés aux petites collectivités  -  OIEau ; Commission Européenne – DGXI (2001).

  • (2) - ALEXANDRE (O.), BOUTIN (C.), DUCHENE (P.), LAGRANGE (C.), LAKEL (A.), LIENARD (A.), ORDITZ (D.) -   *  -  . – Document technique FNDAE n° 22 Filières d'épuration adaptées aux petites collectivités ; ministère de l'Agriculture et de la pêche (1998).

  • (3) - Agence de l’Eau Rhin-Meuse -   *  -  . – Procédés d’épuration des petites collectivités du bassin Rhin-Meuse : éléments de comparaison techniques et économiques (2007).

  • (4) - CHABAUD (S.) -   Influence du biofilm sur les performances des systèmes de traitement par infiltration dans le sol : application à l'assainissement non collectif  -  Thèse de Doctorat, Discipline : Sciences pour l'ingénieur, Spécialité : Génie des Procédés, Université de Nantes Faculté des Sciences et Techniques, École Doctorale « Mécanique, Thermique, Génie Civil » (2007).

  • ...

1 Outils logiciels

  • Protocole GMP : protocole pour la modélisation du fonctionnement des stations d'épuration à boues activées

HAUT DE PAGE

2 Sites Internet

  • Différents documents techniques concernent les stations de traitement des eaux usées sur le site toujours mis à jour du Fonds national pour le développement des adductions d'eau (FNDAE)

    http://www.fndae.fr

HAUT...

Cet article est réservé aux abonnés.
Il vous reste 94% à découvrir.

Pour explorer cet article
Téléchargez l'extrait gratuit

Vous êtes déjà abonné ?Connectez-vous !


L'expertise technique et scientifique de référence

La plus importante ressource documentaire technique et scientifique en langue française, avec + de 1 200 auteurs et 100 conseillers scientifiques.
+ de 10 000 articles et 1 000 fiches pratiques opérationnelles, + de 800 articles nouveaux ou mis à jours chaque année.
De la conception au prototypage, jusqu'à l'industrialisation, la référence pour sécuriser le développement de vos projets industriels.

Cet article fait partie de l’offre

Travaux publics et infrastructures

(82 articles en ce moment)

Cette offre vous donne accès à :

Une base complète d’articles

Actualisée et enrichie d’articles validés par nos comités scientifiques

Des services

Un ensemble d'outils exclusifs en complément des ressources

Des modules pratiques

Opérationnels et didactiques, pour garantir l'acquisition des compétences transverses

ABONNEZ-VOUS