Présentation

Article

1 - ESSAIS FONDÉS SUR LA MÉCANIQUE DE LA RUPTURE EN ÉLASTICITÉ LINÉAIRE

2 - ESSAIS FONDÉS SUR LA MÉCANIQUE DE LA RUPTURE EN ÉLASTO-PLASTICITÉ

3 - APPROCHE LOCALE EN MÉCANIQUE DE LA RUPTURE

4 - CONCLUSION

Article de référence | Réf : M4166 v1

Conclusion
Essais de mesure de la ténacité - Mécanique de la rupture

Auteur(s) : Dominique FRANÇOIS

Date de publication : 10 déc. 2007 | Read in English

Pour explorer cet article
Télécharger l'extrait gratuit

Vous êtes déjà abonné ?Connectez-vous !

Sommaire

Présentation

NOTE DE L'ÉDITEUR

La norme ISO 12135 du 15/11/2016 citée dans cet article a été remplacée par la norme ISO 12135 de juillet 2021 : Matériaux métalliques - Méthode unifiée d'essai pour la détermination de la ténacité quasi statique.
Pour en savoir plus, consultez le bulletin de veille normative VN2108 (Août 2021).

20/12/2021

RÉSUMÉ

Les essais par choc ne permettent pas de prévoir la rupture de pièces fissurées. Or, il s'agit là d'une préoccupation majeure dans l’industrie. Pour répondre, a cela, de nouveaux essais et notamment des essais de ténacité ont été mis au point. En effet, la mécanique de la rupture établit une relation quantitative entre la charge à laquelle est soumise une pièce, les dimensions d'une fissure et la propriété du matériau appelée ténacité. Les essais de détermination de la ténacité comprennent ceux fondés sur la mécanique de la rupture en élasticité linéaire, ceux fondés sur la mécanique de la rupture en élasto-plasticité et ceux fondés sur l'approche locale.

Lire cet article issu d'une ressource documentaire complète, actualisée et validée par des comités scientifiques.

Lire l’article

Auteur(s)

INTRODUCTION

Ainsi que nous l'avons indiqué dans l'introduction du dossier [M 4 165] (« Essais de rupture. Essais par choc »), les ruptures en service sont extrêmement coûteuses. Nous y avons cité quelques exemples de catastrophes provoquées par des ruptures.

De nombreux essais ont donc été proposés afin de maîtriser au mieux la résistance des matériaux, vis-à-vis du risque de rupture. Les sollicitations brutales étant particulièrement dangereuses, les essais de choc occupent une place très importante. Ils sont traités dans le dossier [M 4 165]. Mais ils ne permettent pas de prévoir de façon quantitative la rupture de pièces contenant une fissure de dimensions données. Or, il s'agit là d'une préoccupation majeure, en aéronautique et dans le nucléaire tout particulièrement. L'essor de ces industries a été accompagné de développements théoriques et de mise au point d'essais nouveaux qui sont décrits dans le présent dossier.

S'il est nécessaire de connaître précisément les charges que peuvent supporter les pièces contenant des défauts, par exemple des fissures de fatigue, il faut faire appel à la mécanique de la rupture [1] [2] [3] [4] [5] [6]. C'est elle et les essais qui en dérivent qui permettent de calculer la taille des défauts critiques sous un chargement donné, ou la charge critique entraînant la rupture pour un défaut de dimensions supposées ou mesurées. La mécanique de la rupture a été largement développée depuis une cinquantaine d'années, tout particulièrement dans les industries nucléaires, aéronautiques, spatiales et pétrochimiques. Elle s'est largement répandue dans d'autres domaines. La mécanique de la rupture établit une relation quantitative entre la charge à laquelle est soumise une pièce, les dimensions d'une fissure et une propriété du matériau appelée ténacité (figure 1).

Au stade de la conception, la mécanique de la rupture est utilisée pour vérifier qu'une structure donnée, contenant un défaut hypothétique, sera capable de résister aux efforts appliqués prévisibles. Au stade de la fabrication, puis de l'exploitation, elle permet de savoir si un défaut détecté est ou non admissible et de prendre une décision quant à sa réparation. Elle est à même de prévoir l'évolution d'un défaut et le moment où il risque de devenir critique. En expertise, après un accident, elle permet souvent de remonter à ses causes. Ces diverses applications sont rarement réalisables par de simples calculs et elles exigent en général le recours aux méthodes numériques par éléments finis.

La mécanique de la rupture nécessite donc la détermination de la ténacité des matériaux. Les essais qui permettent cette détermination utilisent des éprouvettes comportant des fissures calibrées et une instrumentation particulière. Ils sont coûteux et sont affaire de spécialistes. Il est inutile de les entreprendre si une application comme l'une de celles évoquées ci-avant n'est pas envisagée. Les essais de mécanique de la rupture sont aujourd'hui parfaitement décrits dans des normes internationales (ISO 12135) qu'il est indispensable de respecter scrupuleusement pour obtenir des résultats valables.

La transposition des résultats des essais de mécanique de la rupture à des structures est rigoureuse dans le cas où la déformation plastique reste négligeable. En revanche, dans le cas contraire, il faut faire appel à la mécanique de la rupture en élasto-plasticité qui repose sur des bases plus approximatives. Un développement, qui pallie certaines de ses déficiences, est fondé sur l'approche locale en mécanique de la rupture [6]. Elle utilise des essais sur des éprouvettes cylindriques entaillées. Ils doivent être associés à des calculs par éléments finis.

Dans cet article, nous n'envisageons que les ruptures brutales, celles qui surviennent au cours du chargement ou en fin de durée de vie lorsque les fissures à croissance lente atteignent une valeur critique. Nous excluons donc les essais destinés à apprécier les risques de rupture différée, par fatigue, par corrosion sous contrainte, par fluage. Ils sont abordés dans d'autres articles :

  • Essais de fatigue [M 4 170], [M 4 171] ;

  • Essais de fatigue-corrosion [M 135] ;

  • Essais de fluage [M 140].

Les essais de détermination de la ténacité comprennent ceux fondés sur la mécanique de la rupture en élasticité linéaire, ceux fondés sur la mécanique de la rupture en élasto-plasticité et ceux fondés sur l'approche locale. Nous consacrons donc le présent dossier successivement à ces trois types d'essais, en commençant chaque fois par des explications sur leurs fondements théoriques. Ce faisant, nous éviterons les développements mathématiques, qui procureraient pourtant les véritables bases [2] [3], en nous restreignant aux notions fondamentales aussi simples que possible.

Cet article est réservé aux abonnés.
Il vous reste 95% à découvrir.

Pour explorer cet article
Téléchargez l'extrait gratuit

Vous êtes déjà abonné ?Connectez-vous !


L'expertise technique et scientifique de référence

La plus importante ressource documentaire technique et scientifique en langue française, avec + de 1 200 auteurs et 100 conseillers scientifiques.
+ de 10 000 articles et 1 000 fiches pratiques opérationnelles, + de 800 articles nouveaux ou mis à jours chaque année.
De la conception au prototypage, jusqu'à l'industrialisation, la référence pour sécuriser le développement de vos projets industriels.

DOI (Digital Object Identifier)

https://doi.org/10.51257/a-v1-m4166


Cet article fait partie de l’offre

Étude et propriétés des métaux

(200 articles en ce moment)

Cette offre vous donne accès à :

Une base complète d’articles

Actualisée et enrichie d’articles validés par nos comités scientifiques

Des services

Un ensemble d'outils exclusifs en complément des ressources

Des modules pratiques

Opérationnels et didactiques, pour garantir l'acquisition des compétences transverses

Doc & Quiz

Des articles interactifs avec des quiz, pour une lecture constructive

ABONNEZ-VOUS

4. Conclusion

La mécanique de la rupture procure des valeurs de la ténacité, des paramètres critiques intrinsèques, c'est-à-dire qui, une fois déterminés à l'aide d'essais sur des éprouvettes, permettent de prévoir le comportement d'une fissure dans une pièce sous charge. En élasticité linéaire, cette transposition des résultats est rigoureusement exacte. La connaissance (figure 1) de l'emplacement et des dimensions d'un défaut dans la pièce et de la ténacité du matériau K Ic permet de calculer le chargement critique, en déterminant K I et en l'égalant à K I c (ou bien connaissant le chargement de déterminer la taille du défaut critique). Mais cette application de la mécanique de la rupture en élasticité linéaire se heurte à des limitations sur la taille des éprouvettes et des pièces qui peuvent être rédhibitoires lorsque la limite d'élasticité est basse.

En élasto-plasticité, on dispose de moyens pour s'affranchir de ces limitations, mais la transposition des résultats obtenus sur petites éprouvettes n'est pas aussi rigoureux qu'en élasticité. Les mêmes essais sont mis en œuvre pour la mesure de la ténacité en élasticité linéaire comme en élasto-plasticité. De la sorte, si les conditions sont remplies pour déterminer la ténacité K Ic, nul besoin d'aller plus loin. Sinon, on pourra toujours dépouiller les résultats pour obtenir les valeurs de ténacité J i si possible, ou J 0,2BL ou J c(B) ou J u(B) suivant la finesse de l'expérimentation, ou en termes d'écartement de fissure critique si l'on préfère.

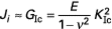
Si les dimensions de la pièce sont assez grandes pour pouvoir utiliser pour celle-ci la mécanique de la rupture en élasticité linéaire, la ténacité K Ic peut être évaluée par la formule : , où E est le module d'Young et ν...

Cet article est réservé aux abonnés.
Il vous reste 93% à découvrir.

Pour explorer cet article
Téléchargez l'extrait gratuit

Vous êtes déjà abonné ?Connectez-vous !


L'expertise technique et scientifique de référence

La plus importante ressource documentaire technique et scientifique en langue française, avec + de 1 200 auteurs et 100 conseillers scientifiques.
+ de 10 000 articles et 1 000 fiches pratiques opérationnelles, + de 800 articles nouveaux ou mis à jours chaque année.
De la conception au prototypage, jusqu'à l'industrialisation, la référence pour sécuriser le développement de vos projets industriels.

Cet article fait partie de l’offre

Étude et propriétés des métaux

(200 articles en ce moment)

Cette offre vous donne accès à :

Une base complète d’articles

Actualisée et enrichie d’articles validés par nos comités scientifiques

Des services

Un ensemble d'outils exclusifs en complément des ressources

Des modules pratiques

Opérationnels et didactiques, pour garantir l'acquisition des compétences transverses

Doc & Quiz

Des articles interactifs avec des quiz, pour une lecture constructive

ABONNEZ-VOUS

Lecture en cours
Conclusion
Sommaire
Sommaire

BIBLIOGRAPHIE

  • (1) - FRANÇOIS (D.), JOLY (L.) -   La rupture des métaux  -  . Masson (1972).

  • (2) - BUI (H.D.) -   Mécanique de la rupture fragile  -  . Masson (1978).

  • (3) - LABBENS (R.) -   Introduction à la mécanique de la rupture  -  . Pluralis (1980).

  • (4) - FRANÇOIS (D.), PINEAU (A.), ZAOUI (A.) -   Comportement mécanique des matériaux  -  . Hermès, Paris (1994).

  • (5) - MIANNAY (D.) -   Mécanique de la rupture  -  . Les Éditions de Physique (1995).

  • (6) - BESSON (J.) -   Local Approach to Fracture  -  . Les Presses de l'École des Mines, Paris (2004).

  • (7)...

NORMES

  • Essai de choc de la fonte grise (sur éprouvette biappuyée non entaillée) - NF A03-202 - 11-67

  • Résistance des matériaux et essais mécaniques des matériaux. Vocabulaire - NF X10- 011 - 03-58

  • Matériaux métalliques. Essai de flexion par choc sur éprouvettes Charpy. Partie 1 : méthode d'essai - NF EN 10045- 1 - 10-90

  • Matériaux métalliques. Essai de flexion par choc sur éprouvettes Charpy. Partie 2 : vérification de la machine d'essai (mouton- pendule) - NF EN 10045- 2 - 12-92

  • Matériaux métalliques. Désignation des axes des éprouvettes en relation avec la texture du produit - NF EN ISO 3785 - 5-06

  • Matériaux métalliques. Détermination du facteur d'intensité de contrainte critique - NF EN ISO 12737 - 2-06

  • Matériaux métalliques. Essai de flexion par choc sur éprouvette Charpy. Partie 1 : méthode...

ANNEXES

  1. 1 Organisme

    1 Organisme

    Eur opean Structural Integrity Society (ESIS) http://www.esisweb.org/

    HAUT DE PAGE

    Cet article est réservé aux abonnés.
    Il vous reste 93% à découvrir.

    Pour explorer cet article
    Téléchargez l'extrait gratuit

    Vous êtes déjà abonné ?Connectez-vous !


    L'expertise technique et scientifique de référence

    La plus importante ressource documentaire technique et scientifique en langue française, avec + de 1 200 auteurs et 100 conseillers scientifiques.
    + de 10 000 articles et 1 000 fiches pratiques opérationnelles, + de 800 articles nouveaux ou mis à jours chaque année.
    De la conception au prototypage, jusqu'à l'industrialisation, la référence pour sécuriser le développement de vos projets industriels.

    Cet article fait partie de l’offre

    Étude et propriétés des métaux

    (200 articles en ce moment)

    Cette offre vous donne accès à :

    Une base complète d’articles

    Actualisée et enrichie d’articles validés par nos comités scientifiques

    Des services

    Un ensemble d'outils exclusifs en complément des ressources

    Des modules pratiques

    Opérationnels et didactiques, pour garantir l'acquisition des compétences transverses

    Doc & Quiz

    Des articles interactifs avec des quiz, pour une lecture constructive

    ABONNEZ-VOUS