Présentation

Article

1 - PRÉPARATION

2 - PROPRIÉTÉS

3 - MISE EN ŒUVRE

4 - APPLICATIONS

  • 4.1 - Automobile et transports
  • 4.2 - Industrie électrique, électronique et bureautique
  • 4.3 - Aéronautique
  • 4.4 - Domaine médical
  • 4.5 - Électroménager

Article de référence | Réf : AM3392 v1

Préparation
Polyphénylèneéther (PPE) Polyarylènesulfones (PSU, PES, PAS)

Auteur(s) : Josiane VILLOUTREIX

Date de publication : 10 janv. 2007 | Read in English

Pour explorer cet article
Télécharger l'extrait gratuit

Vous êtes déjà abonné ?Connectez-vous !

Sommaire

Présentation

RÉSUMÉ

Les polymères polyphénylèneéther (PPE), polysulfone (PSU), polyéthersulfone (PES) et polyarylsulfones (PAS) sont des polymères techniques thermoplastiques dits thermostables. En effet, la présence systématique, sur la chaîne principale, de noyaux aromatiques, explique en particulier la haute résistance thermique de ces composés. Le PPE est souvent mélangé à du polystyrène ou à du polystyrène choc, afin d’en faciliter la mise en œuvre et d’en améliorer la résilience. Les polyarylènesulfones possèdent une très bonne résistance thermomécanique, une résistance au feu, et des propriétés diélectriques intéressantes.

Lire cet article issu d'une ressource documentaire complète, actualisée et validée par des comités scientifiques.

Lire l’article

Auteur(s)

INTRODUCTION

Les polymères étudiés dans ce dossier, polyphénylèneéther (PPE), polysulfone (PSU), polyéthersulfone (PES), polyarylsulfones (PAS) sont des polymères techniques thermoplastiques dits thermostables. En effet, la présence systématique, sur la chaîne principale, de noyaux aromatiques, explique en particulier la haute résistance thermique de ces composés.

C’est en 1965 qu’est synthétisé, par General Electric, le polyphénylèneéther ou PPE (encore appelé polyoxyde de phénylène PPO). Ce polymère est le plus souvent mélangé à du polystyrène ou à du polystyrène choc, afin d’en faciliter la mise en œuvre et d’en améliorer la résilience. Grâce à la miscibilité complète du poly(oxyde de phénylène) PPE avec le polystyrène ou ses copolymères, la gamme des PPE modifiés est par suite très étendue et, comme nous le verrons, les propriétés thermomécaniques varient de ce fait très largement.

Concernant les polyarylènesulfones, c’est Union Carbide qui a été la première société à fabriquer la polysulfone PSU en 1965, puis la polyarylsulfone (PAS) en 1976. La polyéthersulfone (PES) a été introduite sur le marché par Imperial Chemical Industry (ICI) vers la fin des années 1970.

Cet article est réservé aux abonnés.
Il vous reste 95% à découvrir.

Pour explorer cet article
Téléchargez l'extrait gratuit

Vous êtes déjà abonné ?Connectez-vous !


L'expertise technique et scientifique de référence

La plus importante ressource documentaire technique et scientifique en langue française, avec + de 1 200 auteurs et 100 conseillers scientifiques.
+ de 10 000 articles et 1 000 fiches pratiques opérationnelles, + de 800 articles nouveaux ou mis à jours chaque année.
De la conception au prototypage, jusqu'à l'industrialisation, la référence pour sécuriser le développement de vos projets industriels.

DOI (Digital Object Identifier)

https://doi.org/10.51257/a-v1-am3392


Cet article fait partie de l’offre

Plastiques et composites

(400 articles en ce moment)

Cette offre vous donne accès à :

Une base complète d’articles

Actualisée et enrichie d’articles validés par nos comités scientifiques

Des services

Un ensemble d'outils exclusifs en complément des ressources

Des modules pratiques

Opérationnels et didactiques, pour garantir l'acquisition des compétences transverses

Doc & Quiz

Des articles interactifs avec des quiz, pour une lecture constructive

ABONNEZ-VOUS

Lecture en cours
Présentation

1. Préparation

1.1 Préparation du polyphénylèneéther (PPE)

HAUT DE PAGE

1.1.1 PPE homopolymère et copolymère

L’homopolymère est préparé à partir du diméthyl-2,6-phénol. La réaction de polycondensation consiste à traiter le monomère par de l’oxygène en présence de sels de cuivre comme catalyseur. La réaction a lieu entre 20 et 40 C selon :

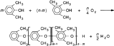
Le copolymère est obtenu à partir du diméthyl-2,6-phénol et du triméthyl-2,3,6-phénol, avec une plus forte proportion du premier monomère. La réaction a lieu dans les mêmes conditions que précédemment selon :

Les copolymères présentent une viscosité à l’état fondu légèrement plus élevée que les homopolymères et une meilleure tenue thermique.

HAUT DE PAGE

1.1.2 Autres mélanges à base de PPE

  • PPE modifiés (mélanges PPE + PS choc)

    À l’état fondu, les PPE et les polystyrènes (PS) sont miscibles intégralement. Suivant la composition du mélange, le PPE (ou le PS) est dispersé en fines particules (inférieures à un micromètre) dans la matrice PS (ou PPE). Les produits commerciaux contiennent entre 30 et 80 % en masse de PPE. L’incorporation du PS choc dans du PPE (homopolymère ou copolymère) diminue la viscosité à l’état fondu et rend possible la mise en œuvre par injection et par extrusion.

  • PPE modifié + élastomère covulcanisé et PPE modifié + polyamides 6

    D’autres mélanges tels que ceux-ci existent.

    Compte tenu de toutes ces possibilités de modifications, une très large gamme de PPE modifiés...

Cet article est réservé aux abonnés.
Il vous reste 95% à découvrir.

Pour explorer cet article
Téléchargez l'extrait gratuit

Vous êtes déjà abonné ?Connectez-vous !


L'expertise technique et scientifique de référence

La plus importante ressource documentaire technique et scientifique en langue française, avec + de 1 200 auteurs et 100 conseillers scientifiques.
+ de 10 000 articles et 1 000 fiches pratiques opérationnelles, + de 800 articles nouveaux ou mis à jours chaque année.
De la conception au prototypage, jusqu'à l'industrialisation, la référence pour sécuriser le développement de vos projets industriels.

Cet article fait partie de l’offre

Plastiques et composites

(400 articles en ce moment)

Cette offre vous donne accès à :

Une base complète d’articles

Actualisée et enrichie d’articles validés par nos comités scientifiques

Des services

Un ensemble d'outils exclusifs en complément des ressources

Des modules pratiques

Opérationnels et didactiques, pour garantir l'acquisition des compétences transverses

Doc & Quiz

Des articles interactifs avec des quiz, pour une lecture constructive

ABONNEZ-VOUS

Lecture en cours
Préparation
Sommaire
Sommaire

BIBLIOGRAPHIE

  • (1) - MARGOLIS (J.) -   Engineering thermoplastics, properties and applications  -  . Marcel Dekker.

  • (2) -   Encyclopedia of Polymer Science and Technology  -  , 3e édition, Wiley interscience.

  • (3) - CNAM -   Matériaux industriels. Polymères  -  . Cours du CNAM, MPL 106, MPL111. http://www.cnam.frhttp://www.idf.pleiad.net

  • (4) -   *  -  On pourra consulter les dossiers suivants qui traitent d’autres polymères thermoplastiques thermostables :

  • (5) - GIOAN (P.) -   Poly(sulfure de phénylène) PPS  -  [AM 3 396]. Base documentaire « Plastiques et Composites » (1989).

  • (6) - PARDOS (F.) -   Polysulfure de phénylène (PPS). Aspects économiques  -  [AM 3 396]. Base documentaire « Plastiques et Composites » (2002).

  • ...

1 Normalisation

Le tableau 1 répertorie les normes AFNOR ( http://www.boutique.afnor.fr) et ISO ( http://www.iso.ch) concernant la détermination des caractéristiques des polyphénylèneéthers (PPE et PPE modifiées) et des polyarylènesulfones (PSU, PES, PAS).

HAUT DE PAGE

2 Producteurs

(liste non exhaustive)

Le tableau 2 donne quelques références commerciales de PPE, PES et PAS ainsi que les producteurs qui les mettent sur le marché.

HAUT DE PAGE

Cet article est réservé aux abonnés.
Il vous reste 93% à découvrir.

Pour explorer cet article
Téléchargez l'extrait gratuit

Vous êtes déjà abonné ?Connectez-vous !


L'expertise technique et scientifique de référence

La plus importante ressource documentaire technique et scientifique en langue française, avec + de 1 200 auteurs et 100 conseillers scientifiques.
+ de 10 000 articles et 1 000 fiches pratiques opérationnelles, + de 800 articles nouveaux ou mis à jours chaque année.
De la conception au prototypage, jusqu'à l'industrialisation, la référence pour sécuriser le développement de vos projets industriels.

Cet article fait partie de l’offre

Plastiques et composites

(400 articles en ce moment)

Cette offre vous donne accès à :

Une base complète d’articles

Actualisée et enrichie d’articles validés par nos comités scientifiques

Des services

Un ensemble d'outils exclusifs en complément des ressources

Des modules pratiques

Opérationnels et didactiques, pour garantir l'acquisition des compétences transverses

Doc & Quiz

Des articles interactifs avec des quiz, pour une lecture constructive

ABONNEZ-VOUS