Présentation

Article

1 - DÉFINITIONS ET EXEMPLES. ÉCRITURE DES POLYCONDENSATS

  • 1.1 - Définitions officielles données par l’IUPAC et autres dénominations
  • 1.2 - Exemples

2 - NATURE ET FORMATION DES SITES RÉACTIONNELS

3 - PRINCIPALES ÉTAPES DES POLYCONDENSATIONS ET POLYADDITIONS

  • 3.1 - Croissance de la chaîne
  • 3.2 - Cessation de croissance des chaînes

4 - RÉACTIONS SECONDAIRES

5 - CONTRÔLE DES MASSES MOLAIRES

  • 5.1 - Relations générales et systèmes A A + B B ou A B + A B
  • 5.2 - Systèmes A A + B B + R C B
  • 5.3 - Nature des extrémités de chaîne

6 - DISTRIBUTION MOLAIRE DANS LES POLYCONDENSATS LINÉAIRES

7 - POLYCONDENSATIONS ÉQUILIBRÉES

  • 7.1 - Systèmes fermés
  • 7.2 - Systèmes ouverts

8 - CINÉTIQUE DES POLYCONDENSATIONS ET POLYADDITIONS

9 - SYSTÈMES À FONCTIONNALITÉ SUPÉRIEURE À 2. POINT DE GEL

  • 9.1 - Théorie de Carothers
  • 9.2 - Théorie de Flory-Stockmayer

10 - TECHNIQUES DE POLYCONDENSATION

11 - GÉNÉRALITÉS SUR LA MODIFICATION CHIMIQUE

12 - PRINCIPALES RÉACTIONS SUR LES POLYMÈRES

  • 12.1 - Isomérisations
  • 12.2 - Additions
  • 12.3 - Chélations
  • 12.4 - Substitutions
  • 12.5 - Éliminations
  • 12.6 - Coupures de chaîne

13 - TECHNIQUES DE MODIFICATION CHIMIQUE DES POLYMÈRES

  • 13.1 - Modification en présence d'UV ou de radiations ionisantes
  • 13.2 - Modification catalysée par les enzymes
  • 13.3 - Modification catalysée par transfert de phase
  • 13.4 - Réactions mécanochimiques
  • 13.5 - Modification en machine de transformation
  • 13.6 - Utilisation des micro-ondes

14 - PRINCIPALES APPLICATIONS DE LA MODIFICATION CHIMIQUE

Article de référence | Réf : J5831 v1

Techniques de modification chimique des polymères
Polycondensation, polyaddition et modification des polymères

Auteur(s) : Ernest MARÉCHAL

Date de publication : 10 déc. 2000 | Read in English

Pour explorer cet article
Télécharger l'extrait gratuit

Vous êtes déjà abonné ?Connectez-vous !

Sommaire

Présentation

Auteur(s)

  • Ernest MARÉCHAL : Agrégé de sciences physiques - Docteur ès sciences - Professeur émérite à l’université Pierre-et-Marie-Curie (Paris)

Lire cet article issu d'une ressource documentaire complète, actualisée et validée par des comités scientifiques.

Lire l’article

INTRODUCTION

Cet article a pour objectif de présenter les bases théoriques de la polyaddition et de la polycondensation, en particulier la définition de leurs principales étapes, leur thermodynamique et leur cinétique ; la contribution des réactions secondaires est analysée. Les relations permettant le contrôle et la distribution des masses molaires ainsi que celles relatives au phénomène de gélification sont données. Les principales techniques de polyaddition et de polycondensation sont décrites, en particulier celles qui ont été plus récemment développées.

Nous traitons aussi ici de l’importance croissante de la modification chimique en synthèse macromoléculaire et de son développement industriel.

Cet article est réservé aux abonnés.
Il vous reste 95% à découvrir.

Pour explorer cet article
Téléchargez l'extrait gratuit

Vous êtes déjà abonné ?Connectez-vous !


L'expertise technique et scientifique de référence

La plus importante ressource documentaire technique et scientifique en langue française, avec + de 1 200 auteurs et 100 conseillers scientifiques.
+ de 10 000 articles et 1 000 fiches pratiques opérationnelles, + de 800 articles nouveaux ou mis à jours chaque année.
De la conception au prototypage, jusqu'à l'industrialisation, la référence pour sécuriser le développement de vos projets industriels.

DOI (Digital Object Identifier)

https://doi.org/10.51257/a-v1-j5831


Cet article fait partie de l’offre

Opérations unitaires. Génie de la réaction chimique

(370 articles en ce moment)

Cette offre vous donne accès à :

Une base complète d’articles

Actualisée et enrichie d’articles validés par nos comités scientifiques

Des services

Un ensemble d'outils exclusifs en complément des ressources

Des modules pratiques

Opérationnels et didactiques, pour garantir l'acquisition des compétences transverses

Doc & Quiz

Des articles interactifs avec des quiz, pour une lecture constructive

ABONNEZ-VOUS

13. Techniques de modification chimique des polymères

Les réactions sur polymère peuvent être réalisées en solution, en milieu fondu (en particulier en machine de transformation), par catalyse par transfert de phase et à l'état solide. Dans ce qui suit, quelques méthodes particulières sont décrites : modification sous irradiation, par catalyse par transfert de phase, par mécanochimie et en machine de transformation.

13.1 Modification en présence d'UV ou de radiations ionisantes

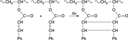
Les modifications en présence d'UV ou de radiations ionisantes constituent une voie d'accès à des transformations qui ne peuvent être obtenues par voie chimique ou, tout au moins, seulement par des réactions difficiles à mettre en jeu. C'est le cas pour l'isomérisation  cistrans  des polydiènes en présence de photoamorceurs (cf. § 12.1.1). L'irradiation UV peut être utilisée pour amorcer des réticulations spécifiques. Ainsi des cycles butaniques se forment dans le poly(cinnamate de vinyle) quand il est irradié [réaction [57]], ce qui le rend insoluble bien qu'il ne s'agisse pas de réticulation :

Il existe de nombreux ouvrages relatifs à la chimie macromolé-culaire sous irradiation par les rayons γ ou les électrons accélérés. Selon leur structure, les polymères sont dégradés ou réticulés ; le tableau 1 donne leur répartition entre ces deux comportements, chaque...

Cet article est réservé aux abonnés.
Il vous reste 94% à découvrir.

Pour explorer cet article
Téléchargez l'extrait gratuit

Vous êtes déjà abonné ?Connectez-vous !


L'expertise technique et scientifique de référence

La plus importante ressource documentaire technique et scientifique en langue française, avec + de 1 200 auteurs et 100 conseillers scientifiques.
+ de 10 000 articles et 1 000 fiches pratiques opérationnelles, + de 800 articles nouveaux ou mis à jours chaque année.
De la conception au prototypage, jusqu'à l'industrialisation, la référence pour sécuriser le développement de vos projets industriels.

Cet article fait partie de l’offre

Opérations unitaires. Génie de la réaction chimique

(370 articles en ce moment)

Cette offre vous donne accès à :

Une base complète d’articles

Actualisée et enrichie d’articles validés par nos comités scientifiques

Des services

Un ensemble d'outils exclusifs en complément des ressources

Des modules pratiques

Opérationnels et didactiques, pour garantir l'acquisition des compétences transverses

Doc & Quiz

Des articles interactifs avec des quiz, pour une lecture constructive

ABONNEZ-VOUS

Lecture en cours
Techniques de modification chimique des polymères
Sommaire
Sommaire

BIBLIOGRAPHIE

  • (1) - MERCIER (J.P.), MARÉCHAL (E.) -   Chimie des polymères.  -  Presses Polytechniques et Universitaires Romandes, Lausanne (1996).

  • (2) - ODIAN (G.) -   Principes de polymérisation.  -  3e éd., Wiley-Interscience (1992).

  • (3) - ALLEN (G.), BEVINGTON (J.C.) -   Comprehensive polymer science.  -  Vol. 5, Pergamon Press (1989).

  • (4) - INGOLD (C.K.) -   Structure and mechanisms in organic chemistry.  -  2e éd., Cornell University Press (1969).

  • (5) - LALOT (Th.), BRIGODIOT (M.), MARÉCHAL (E.) -   Enzymatic catalysis in organic media for[nbsp ]polymer synthesis.  -  In Comprehensive Polymer Science, éd. S.L. Aggarwal et S. Russo, second supplément, Pergamon Press (1996).

  • (6) - MARÉCHAL (E.) -   Chemical modification of synthetic polymers  -  . In Comprehensive Polymer Science, éd....

Cet article est réservé aux abonnés.
Il vous reste 92% à découvrir.

Pour explorer cet article
Téléchargez l'extrait gratuit

Vous êtes déjà abonné ?Connectez-vous !


L'expertise technique et scientifique de référence

La plus importante ressource documentaire technique et scientifique en langue française, avec + de 1 200 auteurs et 100 conseillers scientifiques.
+ de 10 000 articles et 1 000 fiches pratiques opérationnelles, + de 800 articles nouveaux ou mis à jours chaque année.
De la conception au prototypage, jusqu'à l'industrialisation, la référence pour sécuriser le développement de vos projets industriels.

Cet article fait partie de l’offre

Opérations unitaires. Génie de la réaction chimique

(370 articles en ce moment)

Cette offre vous donne accès à :

Une base complète d’articles

Actualisée et enrichie d’articles validés par nos comités scientifiques

Des services

Un ensemble d'outils exclusifs en complément des ressources

Des modules pratiques

Opérationnels et didactiques, pour garantir l'acquisition des compétences transverses

Doc & Quiz

Des articles interactifs avec des quiz, pour une lecture constructive

ABONNEZ-VOUS