Présentation

Article

1 - PRÉSENTATION

2 - IMPACT DE LA TEMPÉRATURE EN AVAL DE L'ÉCHANGEUR DE SURALIMENTATION

3 - ARCHITECTURES USUELLES DE LA LIGNE D'AIR DE SURALIMENTATION

4 - RÉDUCTION DES ÉMISSIONS POLLUANTES

5 - CONCLUSION

Archive | Réf : BM2635 v1

Architectures usuelles de la ligne d'air de suralimentation
Ligne d'air de suralimentation des moteurs - Entre performances et réduction de la pollution

Auteur(s) : Laurent ODILLARD

Date de publication : 10 janv. 2014

Pour explorer cet article
Télécharger l'extrait gratuit

Vous êtes déjà abonné ?Connectez-vous !

Sommaire

Présentation

RÉSUMÉ

Les moteurs automobiles modernes ont considérablement évolué au rythme imposé par la limitation des émissions polluantes et par la baisse de la consommation de carburant. Aussi, le système d'admission d'air s'est énormément complexifié, devenant un sous-ensemble regroupant des fonctions très diverses imposant l'utilisation d'un ou plusieurs échangeurs thermiques, d'actionneurs, de capteurs et de pièces de formes diverses qu'il faut savoir modéliser et dimensionner. Cet article propose un tour d'horizon des technologies actuelles et des prochaines évolutions.

Lire cet article issu d'une ressource documentaire complète, actualisée et validée par des comités scientifiques.

Lire l’article

Auteur(s)

  • Laurent ODILLARD : Ingénieur Avance de phase Thermique moteur Valeo Systèmes thermiques

INTRODUCTION

Lors de l'introduction des refroidisseurs d'air de suralimentation dans les années 1990, l'échangeur était dimensionné comme un simple composant défini par sa puissance thermique et sa perte de charge, fonction du débit d'air d'admission et de la vitesse de l'air en face avant du véhicule.

Les dernières améliorations des moteurs en matière de réduction de la consommation et de leur conformité avec des normes antipollution de plus en plus exigeantes ont poussé à une augmentation du besoin de refroidissement des gaz de suralimentation. L'introduction du cycle harmonisé WLTC (Worldwide harmonized Light vehicles Test Cycle) accentuera cette tendance par la nécessité d'une augmentation du taux de gaz recyclés (EGR – Exhaust Gas Recirculation) sur des points moteur plus chargés.

La tendance au « downsizing » et au « downspeeding » des moteurs contraint clairement les motoristes à une meilleure intégration de la fonction de refroidissement des gaz en aval du compresseur pour laquelle de nouvelles exigences et fonctionnalités se font sentir, telles que :

  • une importante diminution de la perte de charge afin d'augmenter la pression en amont des soupapes d'admission : cela équivaut à une augmentation de la pression de suralimentation ;

  • une réduction du volume d'air en aval du compresseur afin de réduire les temps de réponse (« time to torque ») ;

  • une stabilité de la température en aval de l'échangeur : elle doit être moins dépendante des conditions de roulage (vitesse véhicule) et de la stratégie de dépollution (taux EGR haute et basse pression) ;

  • la possibilité de contrôler la température en aval de l'échangeur en fonction des points de fonctionnement moteur, de la stratégie de dépollution (problématique de condensation en EGR basse pression, régénération du filtre à particules) ou de vie du moteur (amélioration des démarrages à froid, réduction du « light off » catalyseur) ;

  • une augmentation des performances thermiques et la limitation des échauffements parasites en aval de l'échangeur ;

  • l'ajout de fonctionnalités actives (boîtier papillon, doseur d'air, vanne EGR, volet de swirl, désactivation de cylindre, etc.) ;

  • une compatibilité avec l'ensemble des plateformes véhicule du ou des constructeurs.

Ce besoin d'intégration de la fonction refroidissement des gaz de suralimentation pousse à étudier l'ensemble des composants de la sortie compresseur aux soupapes d'admission comme un système multicomposant appelé « module d'admission » ou « ligne d'air de suralimentation ».

Le présent article traitera de la modélisation des composants de la ligne d'air d'admission, des différentes architectures connues et présentera les principales voies d'amélioration des architectures actuelles.

Cet article est réservé aux abonnés.
Il vous reste 95% à découvrir.

Pour explorer cet article
Téléchargez l'extrait gratuit

Vous êtes déjà abonné ?Connectez-vous !


L'expertise technique et scientifique de référence

La plus importante ressource documentaire technique et scientifique en langue française, avec + de 1 200 auteurs et 100 conseillers scientifiques.
+ de 10 000 articles et 1 000 fiches pratiques opérationnelles, + de 800 articles nouveaux ou mis à jours chaque année.
De la conception au prototypage, jusqu'à l'industrialisation, la référence pour sécuriser le développement de vos projets industriels.

VERSIONS

Il existe d'autres versions de cet article :

DOI (Digital Object Identifier)

https://doi.org/10.51257/a-v1-bm2635


Cet article fait partie de l’offre

Machines hydrauliques, aérodynamiques et thermiques

(182 articles en ce moment)

Cette offre vous donne accès à :

Une base complète d’articles

Actualisée et enrichie d’articles validés par nos comités scientifiques

Des services

Un ensemble d'outils exclusifs en complément des ressources

Des modules pratiques

Opérationnels et didactiques, pour garantir l'acquisition des compétences transverses

Doc & Quiz

Des articles interactifs avec des quiz, pour une lecture constructive

ABONNEZ-VOUS

3. Architectures usuelles de la ligne d'air de suralimentation

Nota

ce qui suit ne concerne que les moteurs suralimentés équipés d'un système de refroidissement des gaz de suralimentation.

3.1 Rappel au sujet de la modélisation des échangeurs

Par définition, lorsque nous souhaitons caractériser une tubulure ou une canalisation dans laquelle circule un fluide, il est intéressant de connaître :

  • la perte de charge aux bornes de la conduite ;

  • la puissance thermique échangée.

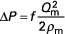
Dans ce type de modélisation stationnaire, nous considérons le débit de fluide constant. Dans ce cas, la perte de charge, pour une section de passage donnée, est représentée par :

( 4 )
( 5 )

avec :

ΔP
 : 
(Pa) perte de charge statique,
Qm
 : 
(kg/s) débit massique de fluide dans la conduite,
ρm
 : 
(kg/m3) masse volumique moyenne du fluide,
f
 : 
coefficient de frottement,
fc
 : 
coefficient de frottement à Rec  ,
Re
 : 
régime d'écoulement (nombre de Reynolds),
Rec
 : 
régime d'écoulement critique (passage de laminaire à transitoire et de transitoire à turbulent),
Pente
 : 
exposant en régime laminaire, transitoire ou turbulent.

Dans le même esprit, l'échange thermique entre deux fluides séparés par une paroi pourra être modélisé assez simplement en...

Cet article est réservé aux abonnés.
Il vous reste 95% à découvrir.

Pour explorer cet article
Téléchargez l'extrait gratuit

Vous êtes déjà abonné ?Connectez-vous !


L'expertise technique et scientifique de référence

La plus importante ressource documentaire technique et scientifique en langue française, avec + de 1 200 auteurs et 100 conseillers scientifiques.
+ de 10 000 articles et 1 000 fiches pratiques opérationnelles, + de 800 articles nouveaux ou mis à jours chaque année.
De la conception au prototypage, jusqu'à l'industrialisation, la référence pour sécuriser le développement de vos projets industriels.

Cet article fait partie de l’offre

Machines hydrauliques, aérodynamiques et thermiques

(182 articles en ce moment)

Cette offre vous donne accès à :

Une base complète d’articles

Actualisée et enrichie d’articles validés par nos comités scientifiques

Des services

Un ensemble d'outils exclusifs en complément des ressources

Des modules pratiques

Opérationnels et didactiques, pour garantir l'acquisition des compétences transverses

Doc & Quiz

Des articles interactifs avec des quiz, pour une lecture constructive

ABONNEZ-VOUS

Lecture en cours
Architectures usuelles de la ligne d'air de suralimentation
Sommaire
Sommaire

BIBLIOGRAPHIE

  • (1) - GRISSTEDE (I.), FRANOSCHEK (S.), SEYLER (M.), HOYER (R.), NOACK (H.), BASSO (S.), MÜLLER (W.), HANAU (W.) -   Robust NOx after treatment systems for diesel pass-cars beyond EU6.  -  Aachen Colloquium Automobile and Engine Technology (2012). 

  • (2) - ROSE (D.), HEIBELS (A.K.), GEORGE (S.), WARKINS (J.), GOLOMB (N.), WARREN (C.) -   A new generation high porosity DuraTrap® at for integration of deNOx functionalities.  -    Aachen Colloquium Automobile and Engine Technology (2012)

  • (3) - KÖNIGSTEDT (J.), ASSMANN (M.), BRINKMANN (C.), EISER (A.), GROB (A.), JABLONSKI (J.), MÜLLER (R.) -   The new 4.0-l V8 TFSI engines from Audi.  -  Internationales Wiener Motorensymposium (2012).

  • (4) - NEUSSER (H.-J.), KAHRSTEDT (J.), JELDEN (H.), ENGLER (H.-J.), DORENKAMP (R.), JAUNS-SEYFRIED (S.), KRAUSE (A.) -   Volkswagen's new modular TDI® generation.  -  Internationales Wiener Motorensymposium (2012).

  • (5) - KAHRSTEDT (J.), DORENKAMP (R.), KUIKEN (S.), GREINER (M.), KÜHNE (I.), NIGRO (G.), DÜSTERDIEK (T.), VELDTEN (B.), THÖM (N.) -   The new 2.0 l TDI® to fulfill...

1 Outils logiciels

GT-SUITE

Gamma Technologies, Inc., USA

KULI software

Magna Powertrain Group, Autriche

HAUT DE PAGE

Cet article est réservé aux abonnés.
Il vous reste 95% à découvrir.

Pour explorer cet article
Téléchargez l'extrait gratuit

Vous êtes déjà abonné ?Connectez-vous !


L'expertise technique et scientifique de référence

La plus importante ressource documentaire technique et scientifique en langue française, avec + de 1 200 auteurs et 100 conseillers scientifiques.
+ de 10 000 articles et 1 000 fiches pratiques opérationnelles, + de 800 articles nouveaux ou mis à jours chaque année.
De la conception au prototypage, jusqu'à l'industrialisation, la référence pour sécuriser le développement de vos projets industriels.

Cet article fait partie de l’offre

Machines hydrauliques, aérodynamiques et thermiques

(182 articles en ce moment)

Cette offre vous donne accès à :

Une base complète d’articles

Actualisée et enrichie d’articles validés par nos comités scientifiques

Des services

Un ensemble d'outils exclusifs en complément des ressources

Des modules pratiques

Opérationnels et didactiques, pour garantir l'acquisition des compétences transverses

Doc & Quiz

Des articles interactifs avec des quiz, pour une lecture constructive

ABONNEZ-VOUS