Présentation

Article

1 - DOMAINE D'APPLICATION – CLASSIFICATION

2 - VITESSE ET PRESSION DYNAMIQUE DU VENT

3 - ACTIONS DU VENT

4 - COEFFICIENTS DE PRESSION ET DE FROTTEMENT

5 - COEFFICIENT STRUCTURAL

6 - EXEMPLE D'APPLICATION

7 - CONCLUSION

Article de référence | Réf : C3306 v1

Coefficient structural
Actions du vent sur les bâtiments selon l'Eurocode 1 – Partie 1-4

Auteur(s) : Danielle CLAVAUD

Date de publication : 10 mai 2014

Pour explorer cet article
Télécharger l'extrait gratuit

Vous êtes déjà abonné ?Connectez-vous !

Sommaire

Présentation

RÉSUMÉ

Un bâtiment doit résister aux actions auxquelles il risque d'être soumis pendant sa durée de vie. Cet article indique comment déterminer les actions du vent naturel à prendre en compte pour calculer les structures des bâtiments, ainsi que leurs éléments constitutifs pour chacune des zones affectées par ces actions. La vitesse locale du vent dépend du lieu, de la hauteur au-dessus du sol, du type de terrain que celui-ci rencontre sur sa trajectoire. De son côté, un bâtiment se présente comme un obstacle à la progression du vent. Ce dernier y exerce des pressions sur les parois qui engendrent des forces perpendiculaires à la surface de la construction. Les actions sur la construction dépendent de la forme, des dimensions, de la rigidité, des ouvertures (portes, fenêtres, fuites) pratiquées dans le bâtiment, ainsi que de son environnement immédiat. Elles varient en fonction du temps et s'appliquent directement sur les surfaces extérieures et agissent indirectement sur les surfaces intérieures.

Lire cet article issu d'une ressource documentaire complète, actualisée et validée par des comités scientifiques.

Lire l’article

Auteur(s)

  • Danielle CLAVAUD : Chef de projet Recherche - Centre technique industriel de la construction métallique

INTRODUCTION

L'ensemble des règles techniques, harmonisées pour le dimensionnement des ouvrages de bâtiment et de génie civil au niveau européen, a été publié. Ces normes européennes, appelées Eurocodes, remplacent les règles nationales en vigueur.

Dans ce cadre, l'Eurocode 1 définit les actions sur les structures. Il est composé de plusieurs parties rattachées à diverses actions. La partie 1-4 fournit des indications pour la conception structurale des ouvrages de construction en ce qui concerne les actions du vent. Une Annexe nationale apporte un ensemble de précisions et de compléments, permettant l'application de cette norme, pour la conception des ouvrages de construction à réaliser sur le territoire national français.

La norme NF EN 1991-1-4 de novembre 2005 et son Annexe nationale NF EN 1991-1-4/NA de mars 2008 – avec ses Amendements NF EN 1991-1-4/NA/A1 d'octobre 2010  et NF EN 1991-1-4/NA/A2 de juin 2012 – sont destinées aux calculateurs, aux concepteurs, aux constructeurs et aux autorités publiques. Elles fixent les valeurs des vitesses du vent et permettent d'évaluer les efforts correspondants, agissant sur la structure d'une construction.

Pour la cohérence des calculs, elles sont destinées à être utilisées avec les autres parties de l'Eurocode 1, ainsi qu'avec les autres Eurocodes. En particulier, ceux qui traitent spécifiquement des structures (EN 1992 à 1999).

Les bâtiments doivent être conçus et dimensionnés pour résister aux vents les plus forts qui sont susceptibles de se produire au cours de leur vie sur leur lieu d'implantation. La carte des vitesses du vent sur notre territoire métropolitain est basée sur une série de mesures de vitesses maximales effectuée par Météo France. Pour les départements d'outre-mer, en particulier, les départements soumis aux cyclones tropicaux, les vitesses des vents extrêmes ont été déterminées à partir des relevés météorologiques et d'estimations basées sur la cartographie du vent maximum historiquement vraisemblable  .

Cet article est réservé aux abonnés.
Il vous reste 93% à découvrir.

Pour explorer cet article
Téléchargez l'extrait gratuit

Vous êtes déjà abonné ?Connectez-vous !


L'expertise technique et scientifique de référence

La plus importante ressource documentaire technique et scientifique en langue française, avec + de 1 200 auteurs et 100 conseillers scientifiques.
+ de 10 000 articles et 1 000 fiches pratiques opérationnelles, + de 800 articles nouveaux ou mis à jours chaque année.
De la conception au prototypage, jusqu'à l'industrialisation, la référence pour sécuriser le développement de vos projets industriels.

DOI (Digital Object Identifier)

https://doi.org/10.51257/a-v1-c3306


Cet article fait partie de l’offre

Les superstructures du bâtiment

(120 articles en ce moment)

Cette offre vous donne accès à :

Une base complète d’articles

Actualisée et enrichie d’articles validés par nos comités scientifiques

Des services

Un ensemble d'outils exclusifs en complément des ressources

Des modules pratiques

Opérationnels et didactiques, pour garantir l'acquisition des compétences transverses

Doc & Quiz

Des articles interactifs avec des quiz, pour une lecture constructive

ABONNEZ-VOUS

Lecture en cours
Présentation

5. Coefficient structural

Le coefficient structural cscd peut-être pris = 1 pour :

  • les bâtiments dont la hauteur H < 15 m ;

  • les éléments de façade ou de toiture dont la fréquence propre f > 5 Hz ;

  • les bâtiments en charpente avec cloisons dont la hauteur H < 100 m et cette hauteur H < 4 . b (b = dimension en plan du bâtiment perpendiculaire à la direction du vent).

Pour les autres structures, la procédure détaillée doit être appliquée.

Dans tous les cas, le coefficient structural cscd peut être déterminé par la procédure détaillée :

avec :

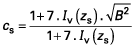
cs
 : 
coefficient de dimension (effet réducteur). Il traduit la non simultanéité des pointes de pression sur la construction :
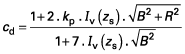
cd
 : 
coefficient dynamique (effet majorateur). Il traduit le fait que les vibrations engendrées par la turbulence entrent en résonance avec la structure :
kp
 : 
facteur de pointe,
B2
 : 
coefficient de réponse quasi-statique (imparfaite corrélation de la pression sur la surface),
R2
 : 
coefficient de réponse résonante (résonance du mode de vibration engendrée par la turbulence).

Il est inutile...

Cet article est réservé aux abonnés.
Il vous reste 95% à découvrir.

Pour explorer cet article
Téléchargez l'extrait gratuit

Vous êtes déjà abonné ?Connectez-vous !


L'expertise technique et scientifique de référence

La plus importante ressource documentaire technique et scientifique en langue française, avec + de 1 200 auteurs et 100 conseillers scientifiques.
+ de 10 000 articles et 1 000 fiches pratiques opérationnelles, + de 800 articles nouveaux ou mis à jours chaque année.
De la conception au prototypage, jusqu'à l'industrialisation, la référence pour sécuriser le développement de vos projets industriels.

Cet article fait partie de l’offre

Les superstructures du bâtiment

(120 articles en ce moment)

Cette offre vous donne accès à :

Une base complète d’articles

Actualisée et enrichie d’articles validés par nos comités scientifiques

Des services

Un ensemble d'outils exclusifs en complément des ressources

Des modules pratiques

Opérationnels et didactiques, pour garantir l'acquisition des compétences transverses

Doc & Quiz

Des articles interactifs avec des quiz, pour une lecture constructive

ABONNEZ-VOUS

Lecture en cours
Coefficient structural
Sommaire
Sommaire

BIBLIOGRAPHIE

  • (1) - CECM -   Recommandations pour le calcul des effets du vent sur les constructions  -  CECM n° 52, 1987, Construction Métallique n° 1 (1989).

  • (2) - DELAUNAY (D.) -   Vents extrêmes dus aux cyclones tropicaux dans les DOM-TOM  -  Cahiers du CSTB n° 2078 (1986).

  • (3) - MARINO (J.L.), POURRET (V.) -   Durées de retour des vents cycloniques (sur les Antilles françaises)  -  METEO-France, DIRAG.

1 Événements

Séminaire de l’AIV a lieu tous les deux ans

http://www.aiv.asso.fr

HAUT DE PAGE

2 Normes et standards

AFNOR Eurocode 1 - Actions sur les structuresPartie 1-4 : Actions généralesActions du vent – NF EN 1991-1-4 AFNOR, 2005, NF EN 1991-1-4 AFNOR, 2012. - -

[2] CECM - Recommandations pour le calcul des effets du vent sur les constructions – CECM n° 52, 1987, Construction Métallique n° 1, 1989. - -

NF EN 1990 AFNOR et NF EN 1990/NA AFNOR - 2003 et 2011 - AFNOR Eurocodes structurauxBases de calcul des structures. - -

HAUT DE PAGE

3 Annuaires

HAUT DE PAGE

3.1 Organismes – Fédérations – Associations (liste non exhaustive)

Association de l’Ingénierie du...

Cet article est réservé aux abonnés.
Il vous reste 95% à découvrir.

Pour explorer cet article
Téléchargez l'extrait gratuit

Vous êtes déjà abonné ?Connectez-vous !


L'expertise technique et scientifique de référence

La plus importante ressource documentaire technique et scientifique en langue française, avec + de 1 200 auteurs et 100 conseillers scientifiques.
+ de 10 000 articles et 1 000 fiches pratiques opérationnelles, + de 800 articles nouveaux ou mis à jours chaque année.
De la conception au prototypage, jusqu'à l'industrialisation, la référence pour sécuriser le développement de vos projets industriels.

Cet article fait partie de l’offre

Les superstructures du bâtiment

(120 articles en ce moment)

Cette offre vous donne accès à :

Une base complète d’articles

Actualisée et enrichie d’articles validés par nos comités scientifiques

Des services

Un ensemble d'outils exclusifs en complément des ressources

Des modules pratiques

Opérationnels et didactiques, pour garantir l'acquisition des compétences transverses

Doc & Quiz

Des articles interactifs avec des quiz, pour une lecture constructive

ABONNEZ-VOUS