Présentation

Article interactif

1 - CONTEXTE

2 - MODÈLES EMPIRIQUES DE SPECTRES D’EXCITATION

3 - MÉTHODE NUMÉRIQUE POUR LE CALCUL D’UN SPECTRE

4 - CALCUL DES VIBRATIONS DE LA STRUCTURE

5 - CONCLUSION

6 - GLOSSAIRE DES SIGLES

7 - SYMBOLES

Article de référence | Réf : BM5204 v1

Méthode numérique pour le calcul d’un spectre
Calculs couplés fluide-structure - Réponse vibratoire d’une structure à une excitation turbulente

Auteur(s) : Jean-François SIGRIST

Relu et validé le 10 mars 2021 | Read in English

Pour explorer cet article
Télécharger l'extrait gratuit

Vous êtes déjà abonné ?Connectez-vous !

Sommaire

Présentation

RÉSUMÉ

Caractériser les vibrations d’un système mécanique sous écoulement turbulent intéresse divers secteurs de construction (aéronautique, automobile, énergie ou naval) en raison d’exigences de sûreté, de durée de vie ou de bruit. Cet article est à destination d’élèves ingénieurs en génie mécanique et d’ingénieurs en calcul scientifique et simulation numérique. Il présente une introduction aux méthodes de calcul vibro-acoustiques pour la réponse vibratoire de structures soumises à une excitation de couche limite turbulente. Il propose une méthode de calcul de spectre d’excitation, alternative à l’utilisation de modèles empiriques, fondée sur l’exploitation de simulations numériques.

Lire cet article issu d'une ressource documentaire complète, actualisée et validée par des comités scientifiques.

Lire l’article

Auteur(s)

INTRODUCTION

Un fluide turbulent peut engendrer des vibrations importantes des structures autour desquelles ils s’écoulent. Carène de navire, aile d’avion, tubes d’échangeur de chaleur, câbles sous-marins, etc. ; de nombreux systèmes industriels sont concernés. Les vibrations induites par les écoulements turbulents peuvent atteindre des niveaux inacceptables, en termes de bruit ou d’usure par exemple. Estimer les niveaux vibratoires de structures excitées par un écoulement contribue à limiter l’impact acoustique ou à augmenter la durée de vie des systèmes précités.

Cet article propose une introduction au calcul vibro-acoustique pour la réponse vibratoire d’une structure soumise à une excitation de couche limite turbulente. Il s’adresse principalement à des étudiants en génie mécanique et plus généralement à des ingénieurs en calcul scientifique et à des concepteurs d’installations concernées par cette problématique.

Après avoir rappelé des éléments de contexte (vibrations induites par les écoulements, description de la couche limite turbulente, spectres d’auto-corrélation et d’inter-corrélation), le document propose une analyse des différentes représentations du chargement en pression, en discutant leurs hypothèses et leurs limites, et les différents moyens de les obtenir (empiriquement ou numériquement). Il présente ensuite une méthode numérique permettant de calculer un spectre de pression pariétal dans des configurations plus générales que celles qui prévalent pour les modèles analytiques. Il expose enfin une méthode de calcul de la réponse vibratoire d’une structure déformable, en détaillant une démarche pas-à-pas.

Le propos est complémentaire de nombreux exposés relatifs à l’aéro-acoustique ou à l’hydro-acoustique, et à la simulation numérique en mécanique des fluides et des structures. Ces sujets font l’objet d’articles spécifiques accessibles dans les ressources documentaires de Techniques de l’Ingénieur. Le lecteur trouvera ces références dans la partie documentation de cet article. Une bibliographie supplémentaire et des liens vers des sites internet lui proposent des ressources utiles afin d’approfondir ses connaissances sur le sujet.

Le lecteur trouvera en fin d'article un glossaire des sigles importants, ainsi qu’un tableau des symboles utilisés.

Cet article est réservé aux abonnés.
Il vous reste 93% à découvrir.

Pour explorer cet article
Téléchargez l'extrait gratuit

Vous êtes déjà abonné ?Connectez-vous !


L'expertise technique et scientifique de référence

La plus importante ressource documentaire technique et scientifique en langue française, avec + de 1 200 auteurs et 100 conseillers scientifiques.
+ de 10 000 articles et 1 000 fiches pratiques opérationnelles, + de 800 articles nouveaux ou mis à jours chaque année.
De la conception au prototypage, jusqu'à l'industrialisation, la référence pour sécuriser le développement de vos projets industriels.

DOI (Digital Object Identifier)

https://doi.org/10.51257/a-v1-bm5204


Cet article fait partie de l’offre

Bruit et vibrations

(90 articles en ce moment)

Cette offre vous donne accès à :

Une base complète d’articles

Actualisée et enrichie d’articles validés par nos comités scientifiques

Des services

Un ensemble d'outils exclusifs en complément des ressources

Des modules pratiques

Opérationnels et didactiques, pour garantir l'acquisition des compétences transverses

Doc & Quiz

Des articles interactifs avec des quiz, pour une lecture constructive

ABONNEZ-VOUS

3. Méthode numérique pour le calcul d’un spectre

3.1 Enjeux

Le calcul d'un spectre d’excitation turbulente peut se réaliser au moyen de différentes méthodes, analytiques ou numériques. Le coût de calcul augmente avec la précision attendue, et pour des applications industrielles, un compromis reste à opérer entre les deux exigences (figure 12).

Les modèles empiriques, détaillés au paragraphe § 2, utilisent des paramètres de l’écoulement afin d’en caractériser le contenu énergétique. Un calcul numérique de l’écoulement donne accès à ces données, avec une précision dépendante de la modélisation adoptée. Passons très rapidement en revue les trois grandes approches disponibles à ce jour aux ingénieurs.

HAUT DE PAGE

3.1.1 Calcul DNS

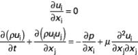
La simulation numérique directe (DNS) de la turbulence consiste à résoudre les équations de conservation de masse et de quantité de mouvement à l’aide d’une résolution numérique suffisamment fine pour pouvoir capter les différentes structures se développant dans l’écoulement. Pour rappel, les équations d’écoulement de fluide incompressible s’écrivent :

La DNS est encore à l’heure actuelle difficilement applicable à des situations industrielles : très coûteuse en temps de calcul, elle est souvent limitée à des configurations simples – comme l’écoulement autour de profils portants...

Cet article est réservé aux abonnés.
Il vous reste 95% à découvrir.

Pour explorer cet article
Téléchargez l'extrait gratuit

Vous êtes déjà abonné ?Connectez-vous !


L'expertise technique et scientifique de référence

La plus importante ressource documentaire technique et scientifique en langue française, avec + de 1 200 auteurs et 100 conseillers scientifiques.
+ de 10 000 articles et 1 000 fiches pratiques opérationnelles, + de 800 articles nouveaux ou mis à jours chaque année.
De la conception au prototypage, jusqu'à l'industrialisation, la référence pour sécuriser le développement de vos projets industriels.

TEST DE VALIDATION ET CERTIFICATION CerT.I. :

Cet article vous permet de préparer une certification CerT.I.

Le test de validation des connaissances pour obtenir cette certification de Techniques de l’Ingénieur est disponible dans le module CerT.I.

Obtenez CerT.I., la certification
de Techniques de l’Ingénieur !
Acheter le module

Cet article fait partie de l’offre

Bruit et vibrations

(90 articles en ce moment)

Cette offre vous donne accès à :

Une base complète d’articles

Actualisée et enrichie d’articles validés par nos comités scientifiques

Des services

Un ensemble d'outils exclusifs en complément des ressources

Des modules pratiques

Opérationnels et didactiques, pour garantir l'acquisition des compétences transverses

Doc & Quiz

Des articles interactifs avec des quiz, pour une lecture constructive

ABONNEZ-VOUS

Lecture en cours
Méthode numérique pour le calcul d’un spectre
Sommaire
Sommaire

BIBLIOGRAPHIE

  • (1) - AXISA (F.) -   Modélisation des systèmes mécaniques.  -  Vol. 3 : interactions fluide/structure Hemès (2001).

  • (2) - BERTON (M.) -   Modélisation de la réponse vibro-acoustique d’une structure excite par une couche limite turbulente en presence de gradient de pression statique.  -  Thèse de Doctorat, École Centrale de Lyon (2014).

  • (3) - CLEMENT (A.) -   Étude hydroacoustique de la réponse d’une structure à une excitation de couche limite turbulente.  -  Thèse de Doctorat, École Nationale Supérieure des Arts et Métiers (2015).

  • (4) - DAVID (A.) -   Étude des vibrations des réseaux de transport de gaz dans l'industrie de l'aluminium.  -  Thèse de Doctorat, Université Technologique de Compiègne (2016).

  • (5) - GROSSET (O.) -   Identification de la pression pariétale turbulente par problème inverse vibratoire dans les domaines aéronautique et naval.  -  Thèse de Doctorat,...

Cet article est réservé aux abonnés.
Il vous reste 92% à découvrir.

Pour explorer cet article
Téléchargez l'extrait gratuit

Vous êtes déjà abonné ?Connectez-vous !


L'expertise technique et scientifique de référence

La plus importante ressource documentaire technique et scientifique en langue française, avec + de 1 200 auteurs et 100 conseillers scientifiques.
+ de 10 000 articles et 1 000 fiches pratiques opérationnelles, + de 800 articles nouveaux ou mis à jours chaque année.
De la conception au prototypage, jusqu'à l'industrialisation, la référence pour sécuriser le développement de vos projets industriels.

Cet article fait partie de l’offre

Bruit et vibrations

(90 articles en ce moment)

Cette offre vous donne accès à :

Une base complète d’articles

Actualisée et enrichie d’articles validés par nos comités scientifiques

Des services

Un ensemble d'outils exclusifs en complément des ressources

Des modules pratiques

Opérationnels et didactiques, pour garantir l'acquisition des compétences transverses

Doc & Quiz

Des articles interactifs avec des quiz, pour une lecture constructive

ABONNEZ-VOUS

Sommaire

QUIZ ET TEST DE VALIDATION PRÉSENTS DANS CET ARTICLE

1/ Quiz d'entraînement

Entraînez vous autant que vous le voulez avec les quiz d'entraînement.

2/ Test de validation

Lorsque vous êtes prêt, vous passez le test de validation. Vous avez deux passages possibles dans un laps de temps de 30 jours.

Entre les deux essais, vous pouvez consulter l’article et réutiliser les quiz d'entraînement pour progresser. L’attestation vous est délivrée pour un score minimum de 70 %.


L'expertise technique et scientifique de référence

La plus importante ressource documentaire technique et scientifique en langue française, avec + de 1 200 auteurs et 100 conseillers scientifiques.
+ de 10 000 articles et 1 000 fiches pratiques opérationnelles, + de 800 articles nouveaux ou mis à jours chaque année.
De la conception au prototypage, jusqu'à l'industrialisation, la référence pour sécuriser le développement de vos projets industriels.

Cet article fait partie de l’offre

Bruit et vibrations

(90 articles en ce moment)

Cette offre vous donne accès à :

Une base complète d’articles

Actualisée et enrichie d’articles validés par nos comités scientifiques

Des services

Un ensemble d'outils exclusifs en complément des ressources

Des modules pratiques

Opérationnels et didactiques, pour garantir l'acquisition des compétences transverses

Doc & Quiz

Des articles interactifs avec des quiz, pour une lecture constructive

ABONNEZ-VOUS