Présentation

Article

1 - PRINCIPE DU CALCUL PRÉVISIONNEL

2 - FATIGUE ET ENDOMMAGEMENT DANS LA VALIDATION D'UNE DURÉE DE VIE D'UN COMPOSANT MÉCANIQUE

3 - APPORTS ET INFLUENCE DES MODÉLISATIONS STATISTIQUES D'UNE CONTRAINTE ALÉATOIRE DANS LE CALCUL DE LA DURÉE DE VIE

4 - CALCUL DE L'ENDOMMAGEMENT ET DE LA DURÉE DE VIE À PARTIR DE LA DENSITÉ SPECTRALE DE PUISSANCE (DSP)

5 - ORGANISATION D'ESSAIS DE VALIDATION

6 - CONCLUSION

Article de référence | Réf : BM5032 v1

Calcul de l'endommagement et de la durée de vie à partir de la Densité spectrale de puissance (DSP)
Durée de vie d'un système mécanique - Étude de l'impact de sollicitation aléatoire

Auteur(s) : Raed KOUTA, Daniel PLAY

Date de publication : 10 avr. 2008 | Read in English

Pour explorer cet article
Télécharger l'extrait gratuit

Vous êtes déjà abonné ?Connectez-vous !

Sommaire

Présentation

RÉSUMÉ

La durée de vie et la fiabilité (probabilité de non-rupture) de systèmes ou de composants mécaniques représentent des caractéristiques déterminantes, d’où l’intérêt de la mise en place de calculs prévisionnels pour accéder à ces valeurs. Couramment, la fatigue des matériaux est abordée de deux manières : une approche globale et une approche locale. Cet article se consacre à la première, actuellement la plus retenue en industrie, et qui consiste à considérer le matériau comme un milieu homogène à une échelle macroscopique, avec la construction de courbes de fatigue et la définition des points de sollicitations critiques. La connaissance des conditions réelles d’usage, des réponses des systèmes et des modèles de dégradation des matériaux reste toutefois un prérequis indispensable aux ingénieurs de conception.

Lire cet article issu d'une ressource documentaire complète, actualisée et validée par des comités scientifiques.

Lire l’article

Auteur(s)

  • Raed KOUTA : Docteur en mécanique - Maître de conférences, université Technologique de Belfort-Montbéliard

  • Daniel PLAY : Ingénieur, Docteur, professeur d'université à l'institut national des Sciences appliquées de Lyon

INTRODUCTION

Le calcul prévisionnel de la durée de vie d'un système, ou d'un composant, mécanique, fonctionnant dans des conditions réelles d'usage, s'effectue à partir de l'état de fatigue des matériaux constitutifs des composants étudiés.

La fatigue des matériaux se manifeste chaque fois que les efforts et les sollicitations varient au cours du temps. Ces sollicitations aléatoires prennent des allures très variées (consulter [BM 5 030] et [BM 5 031]). La rupture peut ainsi apparaître avec des contraintes relativement faibles, quelquefois inférieures à une limite conventionnelle appelée « limite d'endurance » SD .

La fatigue des matériaux est abordée de deux façons.

La première repose sur une approche globale où le matériau est considéré comme un milieu homogène à une échelle macroscopique. Les caractéristiques mécaniques du matériau sont présentés par les courbes de fatigue, dont la plus connue est la « courbe de Wöhler ». Les points critiques des composants sont définis par les points de sollicitations les plus dommageables, et les calculs de durée de vie sont faits en ces points.

La seconde façon d'aborder la fatigue des matériaux repose sur une approche locale où sont considérés des défauts caractéristiques potentiels du matériau (fissures). Dans ces zones, les sollicitations conduisent à la définition d'une vitesse de fissuration, et la rupture est obtenue lorsqu'une longueur limite de fissure est atteinte.

Ces deux façons d'aborder le calcul de la durée de vie en fatigue des systèmes, ou des composants mécaniques utilisent les mêmes distributions de charges aléatoires.

La présentation de ce dossier sera cependant limitée à l'approche globale, car cette façon d'aborder la résistance des matériaux est très largement répandue et repose sur une large compétence dans l'industrie. Un gain significatif de la qualité des prévisions est alors attendu avec la prise en compte des sollicitations aléatoires. Signalons toutefois que la seconde approche n'est pas exclue et que tous les développements présentés ici peuvent être extrapolés.

Cet article est réservé aux abonnés.
Il vous reste 95% à découvrir.

Pour explorer cet article
Téléchargez l'extrait gratuit

Vous êtes déjà abonné ?Connectez-vous !


L'expertise technique et scientifique de référence

La plus importante ressource documentaire technique et scientifique en langue française, avec + de 1 200 auteurs et 100 conseillers scientifiques.
+ de 10 000 articles et 1 000 fiches pratiques opérationnelles, + de 800 articles nouveaux ou mis à jours chaque année.
De la conception au prototypage, jusqu'à l'industrialisation, la référence pour sécuriser le développement de vos projets industriels.

DOI (Digital Object Identifier)

https://doi.org/10.51257/a-v1-bm5032


Cet article fait partie de l’offre

Fonctions et composants mécaniques

(212 articles en ce moment)

Cette offre vous donne accès à :

Une base complète d’articles

Actualisée et enrichie d’articles validés par nos comités scientifiques

Des services

Un ensemble d'outils exclusifs en complément des ressources

Des modules pratiques

Opérationnels et didactiques, pour garantir l'acquisition des compétences transverses

Doc & Quiz

Des articles interactifs avec des quiz, pour une lecture constructive

ABONNEZ-VOUS

Lecture en cours
Présentation

4. Calcul de l'endommagement et de la durée de vie à partir de la Densité spectrale de puissance (DSP)

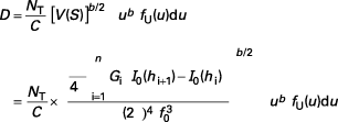
Un système ou un composant mécanique présente une réponse aux sollicitations appliquées (DSP). Cette réponse peut être, soit mesurée sur un prototype soumis à des essais de qualification, soit calculée à partir d'un modèle mécanique global.

L'expression  montre que le dommage dépend de la variance des amplitudes de la sollicitation. La relation (39) du § 3.1 de  donne l'expression de la variance d'une sollicitation aléatoire en fonction de sa DSP. Cette dernière doit être auparavant représentée par plusieurs paliers (G i). Dans ce cas, la relation  s'exprime de la manière suivante :

( 33 )
  • Cette...

Cet article est réservé aux abonnés.
Il vous reste 95% à découvrir.

Pour explorer cet article
Téléchargez l'extrait gratuit

Vous êtes déjà abonné ?Connectez-vous !


L'expertise technique et scientifique de référence

La plus importante ressource documentaire technique et scientifique en langue française, avec + de 1 200 auteurs et 100 conseillers scientifiques.
+ de 10 000 articles et 1 000 fiches pratiques opérationnelles, + de 800 articles nouveaux ou mis à jours chaque année.
De la conception au prototypage, jusqu'à l'industrialisation, la référence pour sécuriser le développement de vos projets industriels.

Cet article fait partie de l’offre

Fonctions et composants mécaniques

(212 articles en ce moment)

Cette offre vous donne accès à :

Une base complète d’articles

Actualisée et enrichie d’articles validés par nos comités scientifiques

Des services

Un ensemble d'outils exclusifs en complément des ressources

Des modules pratiques

Opérationnels et didactiques, pour garantir l'acquisition des compétences transverses

Doc & Quiz

Des articles interactifs avec des quiz, pour une lecture constructive

ABONNEZ-VOUS

Lecture en cours
Calcul de l'endommagement et de la durée de vie à partir de la Densité spectrale de puissance (DSP)
Sommaire
Sommaire

BIBLIOGRAPHIE

  • (1) - LIEURADE (H.-P.) -   Estimation des caractéristiques de résistance et d'endurance en fatigue – La fatigue des matériaux et des structures.  -  Collection université de Compiègne, Éditeurs scientifiques : Bathias, C., Bailon, J. P., Les presses de l'université de Montréal (1980).

  • (2) - FATEMI (A.), YANG (L.) -   Cumulative fatigue damage and life prediction theories : a survey of the state of the art for homogeneous materials.  -  Int J Fatigue, 20(1), p. 9-34 (1998).

  • (3) - LELUAN (A.) -   Méthodes d'essais de fatigue et modèles d'endommagement pour les structures de véhicules ferroviaires.  -  Revue générale des chemins de fer, Gauthier-Villars éditions, p. 21-27, déc. 1992.

  • (4) - BROZZETTI (J.), CHABROLIN (B.) -   Méthodes de comptage des charges de fatigue.  -  Revue Construction Métallique, no 1 (1986).

  • (5) - LALANNE (C.) -   Vibrations et chocs mécaniques – tome 4 : Dommage par fatigue.  -  HERMES Science Publications, Paris (1999).

  • ...

Cet article est réservé aux abonnés.
Il vous reste 94% à découvrir.

Pour explorer cet article
Téléchargez l'extrait gratuit

Vous êtes déjà abonné ?Connectez-vous !


L'expertise technique et scientifique de référence

La plus importante ressource documentaire technique et scientifique en langue française, avec + de 1 200 auteurs et 100 conseillers scientifiques.
+ de 10 000 articles et 1 000 fiches pratiques opérationnelles, + de 800 articles nouveaux ou mis à jours chaque année.
De la conception au prototypage, jusqu'à l'industrialisation, la référence pour sécuriser le développement de vos projets industriels.

Cet article fait partie de l’offre

Fonctions et composants mécaniques

(212 articles en ce moment)

Cette offre vous donne accès à :

Une base complète d’articles

Actualisée et enrichie d’articles validés par nos comités scientifiques

Des services

Un ensemble d'outils exclusifs en complément des ressources

Des modules pratiques

Opérationnels et didactiques, pour garantir l'acquisition des compétences transverses

Doc & Quiz

Des articles interactifs avec des quiz, pour une lecture constructive

ABONNEZ-VOUS