Article de référence | Réf : S7462 v1

Comment obtenir les multimodèles
Multimodèles : analyse et synthèse - Commande et observation des modèles Takagi-Sugeno

Auteur(s) : Mohammed CHADLI, Pierre BORNE

Date de publication : 10 mars 2014

Pour explorer cet article
Télécharger l'extrait gratuit

Vous êtes déjà abonné ?Connectez-vous !

Sommaire

Présentation

RÉSUMÉ

Ce dossier étudie la stabilité et la synthèse de lois de commande et d'observateurs pour les multimodèles. Les résultats présentés reposent essentiellement sur la deuxième méthode de Lyapunov et la formulation LMI. L'approche multimodèles est basée sur l’interpolation de plusieurs modèles linéaire ; c'est une représentation polytopique, qui peut être obtenue directement à partir d'un modèle mathématique non linéaire, grâce à une transformation mathématique directe ou par linéarisation autour de différents points de fonctionnement. L'approche a l'avantage de résoudre les problèmes de synthèse de contrôleurs ou d’observateurs sous forme numérique.

Lire cet article issu d'une ressource documentaire complète, actualisée et validée par des comités scientifiques.

Lire l’article

Auteur(s)

  • Mohammed CHADLI : Maître de Conférences HDR - Université de Picardie Jules-Verne d'Amiens

  • Pierre BORNE : Professeur des universités - École centrale de Lille

INTRODUCTION

Ces dernières années, une approche globale basée sur de multiples modèles LTI (linéaires à temps invariant) autour de différents points de fonctionnement a été proposée. Cette approche, dite multimodèle, est une représentation polytopique convexe pouvant être obtenue soit directement à partir d'un modèle mathématique non linéaire, soit par transformation mathématique, soit par linéarisation autour de différents points de fonctionnement. De nombreux travaux concernant la stabilité de cette classe de systèmes non linéaires ont été publiés ces dernières années. Dans un premier temps, ces travaux se sont inspirés des techniques de commande des systèmes linéaires.

Ce dossier présente des résultats sur l'analyse de la stabilité et la synthèse de lois de commande et d’observateurs pour les multimodèles. Dans le but d'asseoir ces problèmes d’analyse et de synthèse sur des bases numériques, les résultats proposés sont basés essentiellement sur la deuxième méthode de Lyapunov et la formulation LMI (Linear Marix Inequality).

Ce dossier est organisé comme suit :

  • la représentation multimodèle et les outils utilisés sont tout d’abord présentés ;

  • puis quelques conditions suffisantes de stabilité des multimodèles utilisant des fonctions de Lyapunov quadratiques et non quadratiques sont proposées ;

  • la synthèse d'observateurs est par la suite considérée. L’estimation d’état en présence d’entrées inconnues est traitée et des conditions de synthèse sous forme LMI sont proposées ;

  • enfin, la stabilisation par retour d'état et de sortie non linéaire est considérée. Les performances des multimodèles en boucle fermée sont assurées par placement de pôles dans des régions LMI.

Des exemples illustratifs sont traités.

Cet article est réservé aux abonnés.
Il vous reste 95% à découvrir.

Pour explorer cet article
Téléchargez l'extrait gratuit

Vous êtes déjà abonné ?Connectez-vous !


L'expertise technique et scientifique de référence

La plus importante ressource documentaire technique et scientifique en langue française, avec + de 1 200 auteurs et 100 conseillers scientifiques.
+ de 10 000 articles et 1 000 fiches pratiques opérationnelles, + de 800 articles nouveaux ou mis à jours chaque année.
De la conception au prototypage, jusqu'à l'industrialisation, la référence pour sécuriser le développement de vos projets industriels.

DOI (Digital Object Identifier)

https://doi.org/10.51257/a-v1-s7462


Cet article fait partie de l’offre

Automatique et ingénierie système

(138 articles en ce moment)

Cette offre vous donne accès à :

Une base complète d’articles

Actualisée et enrichie d’articles validés par nos comités scientifiques

Des services

Un ensemble d'outils exclusifs en complément des ressources

Des modules pratiques

Opérationnels et didactiques, pour garantir l'acquisition des compétences transverses

Doc & Quiz

Des articles interactifs avec des quiz, pour une lecture constructive

ABONNEZ-VOUS

1. Comment obtenir les multimodèles

Nous pouvons dénombrer trois méthodes pouvant être employées pour l'obtention d'un multimodèle :

1) par identification lorsque l’on dispose de données sur les entrées et les sorties ;

2) par linéarisation autour de différents points de fonctionnement ;

3) par une transformation polytopique convexe lorsque l’on dispose d'un modèle analytique.

Les travaux portant sur l'analyse de stabilité des multimodèles, dits également modèles Takagi-Sugeno , ainsi que la synthèse de lois de commande ou d’observateurs, adoptent la représentation d'état afin d'étendre au cas non linéaire les techniques de commande par retour d'état, par retour de sortie, ainsi que la construction d'observateurs non linéaires en se basant sur les observateurs classiques largement utilisés dans le domaine linéaire.

La forme généralement retenue d’un multimodèle continu est :

( 1 )

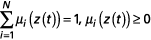
avec les fonctions d'activation µi  (.) i ∈ IN (avec IN = {1, 2,..., N}), obéissant à la propriété de convexité :

( 2 )

x  (.) ∈ Rn est le vecteur des variables d’état, u  (.) ∈ Rm le vecteur des entrées, z  (.) ∈ Rq le vecteur des variables de décision et N le nombre de modèles adoptés.

La forme similaire pour les multimodèles discrets est :

...

Cet article est réservé aux abonnés.
Il vous reste 94% à découvrir.

Pour explorer cet article
Téléchargez l'extrait gratuit

Vous êtes déjà abonné ?Connectez-vous !


L'expertise technique et scientifique de référence

La plus importante ressource documentaire technique et scientifique en langue française, avec + de 1 200 auteurs et 100 conseillers scientifiques.
+ de 10 000 articles et 1 000 fiches pratiques opérationnelles, + de 800 articles nouveaux ou mis à jours chaque année.
De la conception au prototypage, jusqu'à l'industrialisation, la référence pour sécuriser le développement de vos projets industriels.

Cet article fait partie de l’offre

Automatique et ingénierie système

(138 articles en ce moment)

Cette offre vous donne accès à :

Une base complète d’articles

Actualisée et enrichie d’articles validés par nos comités scientifiques

Des services

Un ensemble d'outils exclusifs en complément des ressources

Des modules pratiques

Opérationnels et didactiques, pour garantir l'acquisition des compétences transverses

Doc & Quiz

Des articles interactifs avec des quiz, pour une lecture constructive

ABONNEZ-VOUS

Lecture en cours
Comment obtenir les multimodèles
Sommaire
Sommaire

BIBLIOGRAPHIE

  • (1) - CHADLI (M.), BORNE (P.) -   Multimodèles en Automatique-Outils Avancés d'Analyses et de Synthèse  -  Hermès-Lavoisier, p. 192, ISBN : 978-2-7462-3825-1 (2012).

  • (2) - CHADLI (M.), KARIMI (H.R.) -   Robust Observer Design for Unknown Inputs Takagi-Sugeno Models  -  IEEE Trans. on Fuzzy Systems. Vol. 21(1), pp. 158-164 (2013).

  • (3) - CHADLI (M.), BORNE (P.) -   Multiple models Approach in Automation : Takagi-Sugeno Fuzzy Systems  -  Wiley-ISTE. p. 208. ISBN : 978-1-84821-412-5 (2013).

  • (4) - CHADLI (M.), BORNE (P.) -   Stabilité des multimodèles  -  Revue d’Électricité et d’Électronique, REE-SEE, N° 10, pp. 55-59 (2008).

  • (5) - CHADLI (M.) -   On the Stability Analysis of Uncertain Fuzzy Models  -  International Journal of Fuzzy Systems, Vol. 8, N° 4, pp. 224-231 (Dec. 2006).

  • (6)...

1 Outils logiciels

YALMIP Softawre, [Logiciel] Outil numérique gratuit de résolution d’égalités et inégalités matricielles (LME & LMI)

http://users.isy.liu.se/johanl/yalmip/

LMI Control Toolbox – MathWorks, Under MATLAB. [Logiciel] Outil numérique de résolution d’inégalités matricielles (LMI)

HAUT DE PAGE

2 Événements

(congrès, salons, colloques, journées d’étude)

École en modélisation, analyse et conduite des systèmes dynamiques (MACS). Observation, diagnostic et commande tolérante aux fautes de systèmes modélisés par des multimodèles de type Takagi-Sugeno. José RAGOT (Université de Lorraine), Mohammed CHADLI (Université de Picardie-Jules Verne).

Organisateur : S3/GDRMACS

HAUT DE PAGE

3 Annuaire

HAUT DE PAGE

3.1 Organismes – Fédérations – Associations (liste non exhaustive)

GDR MACS (Groupement de recheche...

Cet article est réservé aux abonnés.
Il vous reste 94% à découvrir.

Pour explorer cet article
Téléchargez l'extrait gratuit

Vous êtes déjà abonné ?Connectez-vous !


L'expertise technique et scientifique de référence

La plus importante ressource documentaire technique et scientifique en langue française, avec + de 1 200 auteurs et 100 conseillers scientifiques.
+ de 10 000 articles et 1 000 fiches pratiques opérationnelles, + de 800 articles nouveaux ou mis à jours chaque année.
De la conception au prototypage, jusqu'à l'industrialisation, la référence pour sécuriser le développement de vos projets industriels.

Cet article fait partie de l’offre

Automatique et ingénierie système

(138 articles en ce moment)

Cette offre vous donne accès à :

Une base complète d’articles

Actualisée et enrichie d’articles validés par nos comités scientifiques

Des services

Un ensemble d'outils exclusifs en complément des ressources

Des modules pratiques

Opérationnels et didactiques, pour garantir l'acquisition des compétences transverses

Doc & Quiz

Des articles interactifs avec des quiz, pour une lecture constructive

ABONNEZ-VOUS