Présentation

Article

1 - DONNÉES

2 - ARMATURES LONGITUDINALES

3 - ANCRAGES DES ARMATURES DANS LES APPUIS

4 - RÉPARTITION DES ARMATURES TRANSVERSALES

5 - PLAN DE FERRAILLAGE

6 - LIMITATION DES CONTRAINTES (EC2 ART. 7.2)

  • 6.1 - Contrainte de compression dans le béton
  • 6.2 - Contrainte de traction dans les armatures

7 - CALCUL DE L’OUVERTURE DES FISSURES (EC2 ART. 7.3.4)

  • 7.1 - Remarques préalables
  • 7.2 - Calcul du moment fléchissant à mi-travée en combinaison quasi-permanente
  • 7.3 - Calcul de la contrainte dans les armatures
  • 7.4 - Calcul de l’aire de la section effective autour du béton tendu (EC2 art. 7.3.2 (3))
  • 7.5 - Calcul de la différence de déformation moyenne entre l’acier et le béton (EC2 art. 7.3.4 (2))
  • 7.6 - Calcul de l’espacement maximal des fissures
  • 7.7 - Calcul de l’ouverture des fissures

8 - CALCUL DES FLÈCHES (EC2 ART. 7.4)

  • 8.1 - Cas de dispense du calcul de la flèche (EC2 art. 7.4.2)
  • 8.2 - Calcul de la flèche nuisible selon le guide d'application des normes NF EN 1992 (clause 7.4.3 (7))
  • 8.3 - Valeur limite de flèche nuisible
  • 8.4 - Conclusions

9 - FORMULAIRE

Article de référence | Réf : C2335 v1

Calcul des flèches (EC2 art. 7.4)
Étude de cas sur une poutre isostatique selon l'Eurocode 2

Auteur(s) : Damien RICOTIER, Jean-Jacques MONTIN

Date de publication : 10 nov. 2014

Pour explorer cet article
Télécharger l'extrait gratuit

Vous êtes déjà abonné ?Connectez-vous !

Sommaire

Présentation

RÉSUMÉ

Cette étude de cas détaille le dimensionnement des armatures longitudinales et transversales d'une poutre rectangulaire isostatique en béton armé, conformément à l'Eurocode 2 et à l'annexe nationale française.

La partie flexion ELU traite du dimensionnement des armatures longitudinales en flexion simple, des ancrages, des contraintes dans les bielles d'abouts, de la répartition des armatures transversales, de l'incidence d'une reprise de bétonnage et de la résistance au feu.

La partie flexion ELS permet de s'assurer que les contraintes dans les matériaux, les ouvertures de fissures et les déformations sont acceptables.

Différentes solutions de plans de ferraillage de la poutre, directement exploitables pour le façonnage de la cage d'armatures, sont présentés en fin d'article.

Cette note de calcul est intégralement conforme à l'Eurocode 2 et à l'annexe nationale française, ainsi qu'à différentes normes à appliquer conjointement en France. Les "recommandations professionnelles" ne sont utilisées que pour calculer la flèche nuisible.

Lire cet article issu d'une ressource documentaire complète, actualisée et validée par des comités scientifiques.

Lire l’article

Auteur(s)

  • Damien RICOTIER : Professeur Agrégé de Génie Civil, ancien élève de l'École Normale Supérieure de Cachan, Ingénieur INSA - Enseignant au département Géotechnique de Polytech Grenoble

  • Jean-Jacques MONTIN : Ingénieur INSA/CHEBAP - Ingénieur structures au bureau d'études BETREC IG à Grenoble

INTRODUCTION

Depuis mars 2010, les normes NF EN 199X, appelées Eurocodes, remplacent progressivement les règles nationales dans le dimensionnement des structures (avant-propos de tous les Eurocodes). Les périodes de transition accordées par les autorités publiques françaises, entre le précédent corpus national (PS92, DTU FB) et le référentiel des Eurocodes, se sont achevées en 2014 pour les règles de calculs parasismiques et pour les méthodes de justification de la résistance au feu des structures (voir l'Arrêté du 22 octobre 2010 modifié et l'Arrêté du 22 mars 2004 modifié). La connaissance des Eurocodes est donc désormais obligatoire pour ceux qui pratiquent le dimensionnement des structures, et particulièrement l'Eurocode 2, pour le dimensionnement des structures en béton.

Par rapport aux règles BAEL, l'Eurocode 2 marque une exigence accrue vis-à-vis de la durabilité : classes d'expositions, classes structurales, calcul de l'enrobage nominal, calcul de l'ouverture des fissures, sont autant de nouveautés pour le concepteur.

Dans ce contexte, l'utilisation de l'ELS quasi permanent, qui correspond à des charges de longues durées d'application, est renforcé, notamment pour le calcul de l'ouverture des fissures et le calcul de la flèche. Le coefficient d'équivalence est à calculer pour chaque élément en fonction, entre autres, de l'hygrométrie ambiante et de la surface d'échange potentielle avec le milieu extérieur. Ce calcul est complexe, mais traduit beaucoup mieux le phénomène de fluage du béton, et conduit généralement à adopter une valeur supérieure au n = 15 du BAEL.

À l'ELU, le changement principal concerne l'inclinaison variable des bielles de béton comprimé sous effort tranchant, qui peut permettre d'engendrer des gains substantiels sur la quantité d'armatures transversales. Le calcul des longueurs d'ancrages et des longueurs de recouvrements est également beaucoup plus complexe qu'au BAEL, puisqu'il fait intervenir jusqu'à six paramètres !

Par conséquent, l'ingénieur peut se trouver désemparé devant toutes ces évolutions, dont il ne comprend pas toujours le fondement, la pertinence, et l'interprétation possible.

Certes, le « Guide d'application des normes NF EN 1992 » existe, mais il a l'inconvénient de contenir à la fois des méthodes conformes et des méthodes non conformes à l'Eurocode 2 (issues des règles BAEL), ce qui peut engendrer de la confusion. L'ingénieur peut également se tourner vers des ouvrages de références, des sites internet dédiés ou s'inscrire à des formations organisées un peu partout en France. Mais, dans l'ensemble, le dimensionnement exhaustif d'un cas simple, jusqu'au plan de ferraillage, est rarement traité.

C'est pourquoi nous avons choisi de détailler le cas de la poutre isostatique rectangulaire, avec un chargement uniformément réparti. C'est un élément courant de structure, sollicité en flexion simple, qui permet d'aborder simplement les sections matériaux, durabilité, ELU (moment fléchissant et effort tranchant), ELS (limitation des contraintes, maîtrise de la fissuration et limitation des flèches), et les dispositions constructives de l'Eurocode 2. L'aboutissement du dimensionnement conduit au plan de ferraillage, présenté en annexe de cet article et disponible au format pdf. Le « Guide d'application des normes NF EN 1992 » est utilisé essentiellement pour le calcul de la flèche nuisible. Cette note de calcul est donc strictement conforme à l'Eurocode 2 et à l'Annexe nationale française, ainsi qu'aux différentes normes à appliquer conjointement en France.

Pour conclure, cet article s'adresse à tous ceux qui souhaitent, de façon exhaustive, comprendre les différentes étapes et paramètres de calculs d'une poutre isostatique en béton armé, selon l'Eurocode 2.

Mise en garde

Lorsque cet article se réfère aux normes et réglementations, il s'agit de celles en vigueur au moment de la publication. Aussi, nous invitons le lecteur à vérifier leur validité au moment de leur application.

De plus, nous invitons le lecteur à se référer aux documents officiels, plutôt qu'aux extraits de tableaux ou formules repris dans cet article. En effet, malgré toute notre application, des erreurs peuvent subsister.

La mise à disposition de cet article vise à un but pédagogique et informatif et ne saurait engager la responsabilité de ses auteurs.

Cet article est réservé aux abonnés.
Il vous reste 94% à découvrir.

Pour explorer cet article
Téléchargez l'extrait gratuit

Vous êtes déjà abonné ?Connectez-vous !


L'expertise technique et scientifique de référence

La plus importante ressource documentaire technique et scientifique en langue française, avec + de 1 200 auteurs et 100 conseillers scientifiques.
+ de 10 000 articles et 1 000 fiches pratiques opérationnelles, + de 800 articles nouveaux ou mis à jours chaque année.
De la conception au prototypage, jusqu'à l'industrialisation, la référence pour sécuriser le développement de vos projets industriels.

DOI (Digital Object Identifier)

https://doi.org/10.51257/a-v1-c2335


Cet article fait partie de l’offre

Les superstructures du bâtiment

(120 articles en ce moment)

Cette offre vous donne accès à :

Une base complète d’articles

Actualisée et enrichie d’articles validés par nos comités scientifiques

Des services

Un ensemble d'outils exclusifs en complément des ressources

Des modules pratiques

Opérationnels et didactiques, pour garantir l'acquisition des compétences transverses

Doc & Quiz

Des articles interactifs avec des quiz, pour une lecture constructive

ABONNEZ-VOUS

Lecture en cours
Présentation

8. Calcul des flèches (EC2 art. 7.4)

8.1 Cas de dispense du calcul de la flèche (EC2 art. 7.4.2)

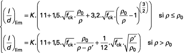
Il est possible de se dispenser du calcul de la flèche si le rapport l/d de la poutre est inférieur à la valeur limite suivante :

avec :

l
 : 
portée entre axes : l = 5,225 m,
d
 : 
hauteur utile : d = 0,65 m.

Ainsi :

avec :

ρ0
 : 
pourcentage d'armatures de référence :
ρ
 : 
pourcentage d'armatures de traction nécessaires à mi-portée :

avec :

ρ
 : 
pourcentage d'armatures de compression à mi-portée :

Les armatures de compression sont prises en compte uniquement si elles sont maintenues par des armatures transversales espacées au plus de 15.φ (EC2 art. 9.2.1.2 (3)). Dans notre cas ρ′ = 0.

avec :

K
 : 
coefficient qui tient compte des différents systèmes structuraux : K = 1 pour une poutre sur appuis simples.

Nous sommes dans le cas où ρ > ρ0 :

...

Cet article est réservé aux abonnés.
Il vous reste 92% à découvrir.

Pour explorer cet article
Téléchargez l'extrait gratuit

Vous êtes déjà abonné ?Connectez-vous !


L'expertise technique et scientifique de référence

La plus importante ressource documentaire technique et scientifique en langue française, avec + de 1 200 auteurs et 100 conseillers scientifiques.
+ de 10 000 articles et 1 000 fiches pratiques opérationnelles, + de 800 articles nouveaux ou mis à jours chaque année.
De la conception au prototypage, jusqu'à l'industrialisation, la référence pour sécuriser le développement de vos projets industriels.

Cet article fait partie de l’offre

Les superstructures du bâtiment

(120 articles en ce moment)

Cette offre vous donne accès à :

Une base complète d’articles

Actualisée et enrichie d’articles validés par nos comités scientifiques

Des services

Un ensemble d'outils exclusifs en complément des ressources

Des modules pratiques

Opérationnels et didactiques, pour garantir l'acquisition des compétences transverses

Doc & Quiz

Des articles interactifs avec des quiz, pour une lecture constructive

ABONNEZ-VOUS

Lecture en cours
Calcul des flèches (EC2 art. 7.4)
Sommaire
Sommaire

BIBLIOGRAPHIE

  • (1) -   Recommandations professionnelles pour l'application de la norme NF EN 1992-1-1 (NF P 18-711-1) et de son annexe nationale (NF P 18-711-1/NA-Eurocode 2, partie 1-1) relatives au calcul des structures en béton  -  Editeur(s) : SEBTP. 32 pages (septembre 2007).

  • (2) -   Les classes d'exposition – Aide à la prescription – Recommandations professionnelles  -  Edité par le CERIB et la FIB (réf. DP 093 – décembre 2009).

  • (3) - CORTADE (J.) -   Poutres et dalles en béton armé. Calculs en environnement agressif – Effort tranchant et bielles d'appuis – d'après l'Eurocode 2  -  CSTB Collection : Guide Eurocode. 58 pages (2011).

  • (4) -   Guide d'application des normes NF EN 1992  -  Rédigé par la Commission de normalisation BNTRA CN EC2. Indice de classement : FD P18-717 (décembre 2013).

  • (5) - CALGARO (J.-A.), CORTADE (J.) -   « Applications de l'Eurocode 2 »  -  Calcul des bâtiments en béton conforme aux normes NF EN 1992-1-1,...

NORMES

  • Eurocode 0 – Bases de calcul des structures. 2ème tirage avril 2003. - NF EN 1990 - Mars 2003

  • Eurocode 0 – Bases de calcul des structures – Annexe nationale à la NF EN 1990 : 2003. - NF EN 1990/NA - Décembre 2011

  • Eurocode 1 – Actions sur les structures – Partie 1-1 : actions générales – Poids volumiques, poids propres, charges d'exploitation des bâtiments. 3ème tirage novembre 2009. - NF EN 1991-1-1 - Mars 2003

  • Eurocode 2 – Calcul des structures en béton – Partie 1-1 : règles générales et règles pour les bâtiments. 4ème tirage mai 2013. - NF EN 1992-1-1 - Octobre 2005

  • Eurocode 2 : calcul des structures en béton – Partie 1-1 : règles générales et règles pour les bâtiments – Annexe Nationale à la NF EN 1992-1-1:2005 – Règles générales et règles pour les bâtiments. - NF EN 1992-1-1/NA - Mars 2007

  • Eurocode 2 : Calcul des structures en béton – Partie 1-2 : règles...

1 Règlementation

Arrêté du 22 mars 2004 modifié relatif à la résistance au feu des produits, éléments de construction et d'ouvrages.

Arrêté du 22 octobre 2010 modifié relatif à la classification et aux règles de construction parasismique applicables aux bâtiments de la classe dite « à risque normal ».

HAUT DE PAGE

Cet article est réservé aux abonnés.
Il vous reste 93% à découvrir.

Pour explorer cet article
Téléchargez l'extrait gratuit

Vous êtes déjà abonné ?Connectez-vous !


L'expertise technique et scientifique de référence

La plus importante ressource documentaire technique et scientifique en langue française, avec + de 1 200 auteurs et 100 conseillers scientifiques.
+ de 10 000 articles et 1 000 fiches pratiques opérationnelles, + de 800 articles nouveaux ou mis à jours chaque année.
De la conception au prototypage, jusqu'à l'industrialisation, la référence pour sécuriser le développement de vos projets industriels.

Cet article fait partie de l’offre

Les superstructures du bâtiment

(120 articles en ce moment)

Cette offre vous donne accès à :

Une base complète d’articles

Actualisée et enrichie d’articles validés par nos comités scientifiques

Des services

Un ensemble d'outils exclusifs en complément des ressources

Des modules pratiques

Opérationnels et didactiques, pour garantir l'acquisition des compétences transverses

Doc & Quiz

Des articles interactifs avec des quiz, pour une lecture constructive

ABONNEZ-VOUS