Présentation

Article

1 - ASPECT TRIDIMENSIONNEL DE L’ÉCOULEMENT

2 - ASPECT VISQUEUX DE L’ÉCOULEMENT

3 - ASPECT INSTATIONNAIRE DE L’ÉCOULEMENT

4 - CONCLUSION

5 - ANNEXE 1 — RAPPEL DES RELATIONS MONODIMENSIONNELLES FONDAMENTALES

  • 5.1 - Conservation de la rothalpie
  • 5.2 - Théorème d’Euler
  • 5.3 - Équations générales monodimensionnelles

6 - ANNEXE 2 — ÉQUATIONS D’UN ÉCOULEMENT AXISYMÉTRIQUE GIRATOIRE, VISQUEUX ET INSTATIONNAIRE

  • 6.1 - Équation de continuité
  • 6.2 - Équation de quantité de mouvement
  • 6.3 - Équation d’énergie

7 - ANNEXE 3 — RAPPEL DES ÉQUATIONS DE NAVIER-STOKES

  • 7.1 - Bilan de masse ou équation de continuité
  • 7.2 - Bilan de quantité de mouvement
  • 7.3 - Bilan d’énergie ou principe de conservation de l’énergie
  • 7.4 - Équations de Navier-Stokes dans un repère en rotation uniforme
  • 7.5 - Expression des équations de Navier-Stokes en 2,5D

Article de référence | Réf : B4181 v1

Annexe 2 — Équations d’un écoulement axisymétrique giratoire, visqueux et instationnaire
Turbomachines : calcul des écoulements compressibles

Auteur(s) : Georges MEAUZÉ

Relu et validé le 05 juil. 2018 | Read in English

Pour explorer cet article
Télécharger l'extrait gratuit

Vous êtes déjà abonné ?Connectez-vous !

Sommaire

Présentation

Auteur(s)

Lire cet article issu d'une ressource documentaire complète, actualisée et validée par des comités scientifiques.

Lire l’article

INTRODUCTION

Cette synthèse concerne les méthodes permettant une simulation numérique du comportement des écoulements qui traversent une turbomachine (parties fixes et mobiles des compresseurs et turbines axiales et centrifuges). Seul l’aspect aérodynamique sera étudié à l’exclusion de tout phénomène réactif. Il convient également de préciser que :

  • seuls les fluides compressibles monophasiques (gaz) sont ici considérés ;

  • les applications envisagées font intervenir la compressibilité du fluide excluant ainsi les régimes à basse vitesse ;

  • les méthodes de calcul appropriées, les plus avancées, sont surtout développées dans le domaine aéronautique.

L’écoulement dans une turbomachine est caractérisé par quatre aspects essentiels qui sont : la tridimensionnalité, la viscosité, l’instationnarité (même en régime stationnaire) et les transferts thermiques.

Si les deux premiers apparaissent naturellement, le troisième est à prendre en compte dès que l’on s’intéresse au défilement d’une ou de plusieurs roues mobiles par rapport à une ou plusieurs roues fixes, configurations plus courantes que celle qui consiste à étudier une roue mobile isolée. L’instationnarité peut également être due à des problèmes de distorsion ou d’hétérogénéités intrinsèques. En outre, tous les régimes transitoires sont également source d’effets instationnaires.

La prise en compte des transferts thermiques est indispensable pour déterminer les caractéristiques mécaniques des divers éléments fixes ou mobiles, compresseurs, turbines, disques, carters, et par conséquent leur durée de vie, mais aussi pour prévoir leur encombrement géométrique et maîtriser les divers jeux. Deux domaines particuliers d’application de l’aérothermique sont spécifiques aux turbomachines. Tout d’abord, il s’agit de l’écoulement dit interne qui concerne les cavités interdisques, ainsi que les canaux de refroidissement à l’intérieur des aubages de turbines fixes et mobiles. Les géométries réelles sont complexes avec des discontinuités volontaires afin d’améliorer les échanges convectifs. Enfin, le calcul de l’écoulement dit externe autour des aubages doit prendre en compte la présence des débits de refroidissement qui sortent de l’aubage soit par des fentes, surtout au bord de fuite, soit par des multiperforations. Il en est de même sur les carters internes et/ou externes. La complexité de l’écoulement est ainsi accrue et ces effets doivent être pris en compte dans le calcul aérodynamique général.

Il est clair qu’il sera impossible avant longtemps de prendre rigoureusement en compte tous ces aspects simultanément dans le calcul d’une machine complète, en particulier pour deux raisons essentielles :

  • la première est liée à la capacité de la mémoire et aux temps de calcul nécessaires, qui sont incompatibles, dans le cadre d’une utilisation fréquente, avec les ordinateurs les plus performants actuellement sur le marché ;

  • la seconde, plus cruciale, résulte du constat que tous les schémas de turbulence actuellement proposés, et qui sont indispensables à la résolution des équations de Navier-Stokes en régime turbulent, ne rendent pas compte avec une précision suffisante de la réalité physique, même pour des applications relativement simples.

Cela étant, il est nécessaire de poursuivre les recherches dans le domaine afin d’accroître l’efficacité des codes de calcul, notamment par la mise au point de schémas qui permettent une meilleure prise en compte des phénomènes physiques, associés si possible à une réduction sensible des temps d’occupation des ordinateurs.

Face aux problèmes soulevés par la détermination de ces écoulements tridimensionnels, visqueux et instationnaires, de nombreuses approches ont été entreprises ; elles font appel à des modélisations et à des simplifications variées qui sont développées ci-après.

Bien que les hypothèses simplificatrices ne soient pas toujours indépendantes, elles vont être analysées séparément pour les différents aspects évoqués ci-dessus.

L’approche la plus simplifiée correspond à la théorie monodimensionnelle fondée sur le théorème d’Euler. Rappelée en Annexe 1, elle porte sur les caractéristiques moyennes de l’écoulement : pression, température, rendement, etc. Il s’agit plus précisément des moyennes azimutales et radiales qui sont considérées sur la surface axisymétrique moyenne entre le moyeu et le carter. Cette approche est amplement développée dans le chapitre Théorie générale des turbomachines [B 4 400] de ce traité.

Nous nous attacherons dans ce chapitre à développer les deux autres voies restituant l’aspect tridimensionnel :

  • la méthode approchée, classique et d’utilisation courante, ou approche quasi 3D 1.1 ;

  • le calcul plus précis ou approche 3D complète 1.2, beaucoup plus récent et lié à l’emploi d’ordinateurs de plus en plus performants.

La première partie du développement concernera l’aspect tridimensionnel seul 1, auquel sera ajoutée la prise en compte de la viscosité et des transferts thermiques par la résolution des équations de Navier-Stokes 2, puis l’instationnarité 3.

Le tableau suivant regroupe et définit toutes les notations et tous les symboles utilisés dans les formules de ce chapitre.

Cet article est réservé aux abonnés.
Il vous reste 95% à découvrir.

Pour explorer cet article
Téléchargez l'extrait gratuit

Vous êtes déjà abonné ?Connectez-vous !


L'expertise technique et scientifique de référence

La plus importante ressource documentaire technique et scientifique en langue française, avec + de 1 200 auteurs et 100 conseillers scientifiques.
+ de 10 000 articles et 1 000 fiches pratiques opérationnelles, + de 800 articles nouveaux ou mis à jours chaque année.
De la conception au prototypage, jusqu'à l'industrialisation, la référence pour sécuriser le développement de vos projets industriels.

DOI (Digital Object Identifier)

https://doi.org/10.51257/a-v1-b4181


Cet article fait partie de l’offre

Machines hydrauliques, aérodynamiques et thermiques

(182 articles en ce moment)

Cette offre vous donne accès à :

Une base complète d’articles

Actualisée et enrichie d’articles validés par nos comités scientifiques

Des services

Un ensemble d'outils exclusifs en complément des ressources

Des modules pratiques

Opérationnels et didactiques, pour garantir l'acquisition des compétences transverses

Doc & Quiz

Des articles interactifs avec des quiz, pour une lecture constructive

ABONNEZ-VOUS

6. Annexe 2 — Équations d’un écoulement axisymétrique giratoire, visqueux et instationnaire

Dans un repère en rotation uniforme, pour un écoulement axisymétrique (¶ / ¶ θ = 0), les équations de Navier-Stokes sont les suivantes [J.P. Veuillot et F. Desbois, ONERA].

6.1 Équation de continuité

HAUT DE PAGE

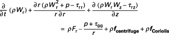
6.2 Équation de quantité de mouvement

Avec le tenseur des contraintes :

et, avec :

l’expression du tenseur des contraintes visqueuses est la suivante :

avec :

λ
 : 
coefficient de conductivité thermique (coefficient de Lamé),

et les équations de quantité de mouvement sont :

avec :

F
 : 
somme des forces extérieures...

Cet article est réservé aux abonnés.
Il vous reste 94% à découvrir.

Pour explorer cet article
Téléchargez l'extrait gratuit

Vous êtes déjà abonné ?Connectez-vous !


L'expertise technique et scientifique de référence

La plus importante ressource documentaire technique et scientifique en langue française, avec + de 1 200 auteurs et 100 conseillers scientifiques.
+ de 10 000 articles et 1 000 fiches pratiques opérationnelles, + de 800 articles nouveaux ou mis à jours chaque année.
De la conception au prototypage, jusqu'à l'industrialisation, la référence pour sécuriser le développement de vos projets industriels.

Cet article fait partie de l’offre

Machines hydrauliques, aérodynamiques et thermiques

(182 articles en ce moment)

Cette offre vous donne accès à :

Une base complète d’articles

Actualisée et enrichie d’articles validés par nos comités scientifiques

Des services

Un ensemble d'outils exclusifs en complément des ressources

Des modules pratiques

Opérationnels et didactiques, pour garantir l'acquisition des compétences transverses

Doc & Quiz

Des articles interactifs avec des quiz, pour une lecture constructive

ABONNEZ-VOUS

Lecture en cours
Annexe 2 — Équations d’un écoulement axisymétrique giratoire, visqueux et instationnaire
Sommaire
Sommaire

BIBLIOGRAPHIE

  • (1) - LORENZ (H.) -   Theorie und Berechung der Volturbinen und Kriseslpumpen.  -  Zeitschrift des Vereines deutscher Ingenieure, Vol. 49, p. 1650-1675, (1905).

  • (2) - WU (C.H.) -   A general through flow theory of fluid flow with subsonic or supersonic velocity in turbomachines having arbitrary hub and casing shapes.  -  NASA TN 2388, mars 1951.

  • (3) - GUIRAUD (J.-P.), ZEYTOUNIAN (R.Kh.) -   Application du concept d’échelles multiples à l’écoulement dans une turbomachine axiale.  -  International Journal of Engineering Sciences, Vol. 12, p. 311-330, (1974).

  • (4) -   Aerodynamics of cascades.  -  Agardograph no 220 (éd. Agard).

  • (5) -   Modern Prediction Methods for Turbomachine Performance.  -  AGARD Lecture Series no 83.

  • (6) - VEUILLOT (J.-P.) -   Calcul de l’écoulement moyen dans une roue de turbomachine...

Cet article est réservé aux abonnés.
Il vous reste 94% à découvrir.

Pour explorer cet article
Téléchargez l'extrait gratuit

Vous êtes déjà abonné ?Connectez-vous !


L'expertise technique et scientifique de référence

La plus importante ressource documentaire technique et scientifique en langue française, avec + de 1 200 auteurs et 100 conseillers scientifiques.
+ de 10 000 articles et 1 000 fiches pratiques opérationnelles, + de 800 articles nouveaux ou mis à jours chaque année.
De la conception au prototypage, jusqu'à l'industrialisation, la référence pour sécuriser le développement de vos projets industriels.

Cet article fait partie de l’offre

Machines hydrauliques, aérodynamiques et thermiques

(182 articles en ce moment)

Cette offre vous donne accès à :

Une base complète d’articles

Actualisée et enrichie d’articles validés par nos comités scientifiques

Des services

Un ensemble d'outils exclusifs en complément des ressources

Des modules pratiques

Opérationnels et didactiques, pour garantir l'acquisition des compétences transverses

Doc & Quiz

Des articles interactifs avec des quiz, pour une lecture constructive

ABONNEZ-VOUS