Présentation

Article

1 - ENREGISTREMENT DES INTENSITÉS DE DIFFRACTION

2 - CALCUL DU MODULE DU FACTEUR DE STRUCTURE

3 - FONCTION DE PATTERSON

4 - MÉTHODES DIRECTES

5 - DÉPOUILLEMENT DE LA STRUCTURE

  • 5.1 - Repérage des atomes lourds
  • 5.2 - Facteur de reliabilité
  • 5.3 - Introduction des atomes d’hydrogène

6 - AFFINEMENT DES PARAMÈTRES PAR MOINDRES CARRÉS

  • 6.1 - Principe
  • 6.2 - Application

7 - FACTEURS DE TEMPÉRATURE

8 - DÉSORDRE ET MICROMACLAGE

9 - EXTINCTIONS PRIMAIRE ET SECONDAIRE

10 - DÉTERMINATION D’UNE CONFIGURATION ABSOLUE

Article de référence | Réf : P1075 v2

Affinement des paramètres par moindres carrés
Résolution d’une structure cristalline par rayons X

Auteur(s) : Yves JEANNIN

Date de publication : 10 déc. 1998 | Read in English

Pour explorer cet article
Télécharger l'extrait gratuit

Vous êtes déjà abonné ?Connectez-vous !

Sommaire

Présentation

Auteur(s)

  • Yves JEANNIN : Ingénieur de l’École Nationale Supérieure de Chimie de Paris - Professeur à l’Université Pierre et Marie Curie - Correspondant de l’Institut

Lire cet article issu d'une ressource documentaire complète, actualisée et validée par des comités scientifiques.

Lire l’article

INTRODUCTION

Avant de décrire les différentes phases de la résolution d’une structure, il est bon de rappeler que le modèle théorique utilisé pour établir les méthodes de résolution implique des hypothèses qu’il faut formuler précisément afin de bien voir les limites de la méthode

Les atomes ont une distribution électronique sphérique. Cette hypothèse se retrouve dans les tables donnant le facteur atomique de diffusion. On sait que les rayons X interagissent avec les électrons : en quelque sorte, ils comptent les électrons des différents atomes et l’on obtient le barycentre du nuage électronique de chaque atome. Ce point n’a pas de raison de coïncider avec le noyau ; toutefois, l’écart est d’autant plus petit que l’atome a un numéro atomique plus élevé. Dans ces conditions, les distances mesurées entre atomes légers, Li et H par exemple, même si la méthode les donne avec une précision de 0,001Å (1Å = 0,1 nm), ne sauraient être considérées sans un certain discernement.

Notons que les neutrons ignorent cette difficulté car ils interagissent avec les noyaux.

Les vibrations thermiques des atomes sont considérées comme centrosymétriques mais pas forcément isotropes. En fait, le temps d’observation est très long par rapport à la période de vibration si bien que la densité électronique observée est une moyenne dans le temps. Cette remarque a une conséquence : il sera impossible de distinguer par rayons X le désordre statique du désordre dynamique ; le désordre statique est lié, par exemple, à l’occupation d’un même site cristallographique par deux atomes ayant des dimensions analogues mais des numéros atomiques différents ; le désordre dynamique est celui d’un groupe d’atomes en mouvement rapide dans le cristal, par exemple un groupe CH3 tournant autour de son axe ternaire.

Les atomes sont considérés comme vibrant indépendamment les uns des autres. La spectrométrie infrarouge nous apprend que cela n’est pas vrai. Des tentatives, au prix d’un effort mathématique important, ont été faites pour cerner la réalité de plus près. Il ne semble pas que le prix à payer en vaille la peine. Parfois, lorsque l’on étudie une molécule dont l’organisation des liaisons lui confère un caractère particulièrement rigide, comme le camphre, on peut mettre en œuvre un modèle où la molécule est prise comme un seul bloc rigide.

Enfin, le modèle suppose un cristal parfait infini. Le cristal examiné est forcément fini, tout au plus 2 mm dans sa plus grande dimension. Par ailleurs, le cristal possède en fait une structure dite mosaïque, il est dit idéalement imparfait ; il est fait de parcelles dont la dimension est de l’ordre du micromètre et qui sont désorientées par rapport à leurs voisines de quelques secondes d’arc. L’orientation moyenne de ces blocs correspond à l’orientation du cristal. Chaque bloc est parfait et diffracte indépendamment de ses voisins. Cette situation particulière permet l’application de la théorie cinématique qui établit que l’intensité diffractée par un plan est proportionnelle au carré du module du facteur de structure.

Nota :

Le lecteur se reportera utilement à l’article « Cristallographie géométrique » du traité Sciences fondamentales.

Pour une utilisation plus pratique, le lecteur pourra se reporter utilement à l’article « Détermination de structure cristalline par rayons X : méthodes numériques » [24].

Cet article est réservé aux abonnés.
Il vous reste 92% à découvrir.

Pour explorer cet article
Téléchargez l'extrait gratuit

Vous êtes déjà abonné ?Connectez-vous !


L'expertise technique et scientifique de référence

La plus importante ressource documentaire technique et scientifique en langue française, avec + de 1 200 auteurs et 100 conseillers scientifiques.
+ de 10 000 articles et 1 000 fiches pratiques opérationnelles, + de 800 articles nouveaux ou mis à jours chaque année.
De la conception au prototypage, jusqu'à l'industrialisation, la référence pour sécuriser le développement de vos projets industriels.

VERSIONS

Il existe d'autres versions de cet article :

DOI (Digital Object Identifier)

https://doi.org/10.51257/a-v2-p1075


Cet article fait partie de l’offre

Techniques d'analyse

(290 articles en ce moment)

Cette offre vous donne accès à :

Une base complète d’articles

Actualisée et enrichie d’articles validés par nos comités scientifiques

Des services

Un ensemble d'outils exclusifs en complément des ressources

Des modules pratiques

Opérationnels et didactiques, pour garantir l'acquisition des compétences transverses

Doc & Quiz

Des articles interactifs avec des quiz, pour une lecture constructive

ABONNEZ-VOUS

Lecture en cours
Présentation

6. Affinement des paramètres par moindres carrés

6.1 Principe

La formule donnant l’expression du facteur de structure (cf § 7) :

montre qu’elle se présente comme une équation à 9 N inconnues, chacun des N atomes ayant neuf paramètres : les trois coordonnées et les six composantes du facteur de température. En principe, 9 N équations suffisent pour résoudre le problème. En fait, on prend un nombre de valeurs de F, donc un nombre d’équations très supérieur du fait des erreurs sur F.

Dès lors, la méthode des moindres carrés s’impose pour obtenir la solution la plus probable. Rappelons le principe : on considère une équation :

ax + by + cz + .... = g

Le premier membre représente une valeur calculée d’une fonction g. Si l’on a des valeurs approximatives x ′, y ′, z ′.... des variables, on obtiendra un résultat différent de ε

ax ′ + by ′ + cz ′ + .... = g + ε

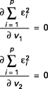
Supposons que l’on ait p équations de ce genre à 9 N inconnues, avec p > 9 N. Le principe de Legendre postule que la solution la meilleure est celle qui rend :

Cette relation est une fonction des 9 N variables vi qui sera minimale si simultanément :

Cet article est réservé aux abonnés.
Il vous reste 94% à découvrir.

Pour explorer cet article
Téléchargez l'extrait gratuit

Vous êtes déjà abonné ?Connectez-vous !


L'expertise technique et scientifique de référence

La plus importante ressource documentaire technique et scientifique en langue française, avec + de 1 200 auteurs et 100 conseillers scientifiques.
+ de 10 000 articles et 1 000 fiches pratiques opérationnelles, + de 800 articles nouveaux ou mis à jours chaque année.
De la conception au prototypage, jusqu'à l'industrialisation, la référence pour sécuriser le développement de vos projets industriels.

Cet article fait partie de l’offre

Techniques d'analyse

(290 articles en ce moment)

Cette offre vous donne accès à :

Une base complète d’articles

Actualisée et enrichie d’articles validés par nos comités scientifiques

Des services

Un ensemble d'outils exclusifs en complément des ressources

Des modules pratiques

Opérationnels et didactiques, pour garantir l'acquisition des compétences transverses

Doc & Quiz

Des articles interactifs avec des quiz, pour une lecture constructive

ABONNEZ-VOUS

Lecture en cours
Affinement des paramètres par moindres carrés
Sommaire
Sommaire

1 Constructeurs. Fournisseurs

Bruker

Nonius France

Huber Diffraktionstechnik

Osmic

Oxford Instruments

Stoe

X-Ray Research

HAUT DE PAGE

2 Références bibliographiques

###

Ouvrages de références

International tables for X-Ray cristallography - . Vol. I (1969), Vol. II (1972), Vol. III (1968), Vol. IV (1974). Kynoch Press.

Ouvrages généraux

BUERGER (M.) - X-ray crystallography - . 1962 Wiley.

WOOLFSON (M.M.) - X-ray crystallography - . 1970 Cambridge University Press.

LADD (M.F.C.) - PALMER (R.A.) - Structure determination by X-ray crystallography - . 1977 Plenum Press.

BUERGER (M.) - Crystal structure analysis - . 1967 Wiley.

BUERGER (M.) - Vector space - . 1959 Wiley.

GUINIER (A.) - Théorie et pratique de la radiocristallographie - . 1956 Dunod.

JAMES (R.W.) - The optical principles of the diffraction of X-rays - . 1954 Bell and Sons.

LIPSON (H.) - COCHRAN (W.) - The determination of crystal structures - . 1954 Bell and Sons.

Méthodes directes

LADO (M.F.C.) - PALMER (R.A.) - Theory and practice of direct methods in crystallography - . 1980 Plenum Press.

AHMED (F.R.) - Crystallographic computing techniques - . 1976 Munksgaard.

Calculs cristallographiques

ROLLETT (J.S.) - Computing methods in crystallography - . 1965...

Cet article est réservé aux abonnés.
Il vous reste 93% à découvrir.

Pour explorer cet article
Téléchargez l'extrait gratuit

Vous êtes déjà abonné ?Connectez-vous !


L'expertise technique et scientifique de référence

La plus importante ressource documentaire technique et scientifique en langue française, avec + de 1 200 auteurs et 100 conseillers scientifiques.
+ de 10 000 articles et 1 000 fiches pratiques opérationnelles, + de 800 articles nouveaux ou mis à jours chaque année.
De la conception au prototypage, jusqu'à l'industrialisation, la référence pour sécuriser le développement de vos projets industriels.

Cet article fait partie de l’offre

Techniques d'analyse

(290 articles en ce moment)

Cette offre vous donne accès à :

Une base complète d’articles

Actualisée et enrichie d’articles validés par nos comités scientifiques

Des services

Un ensemble d'outils exclusifs en complément des ressources

Des modules pratiques

Opérationnels et didactiques, pour garantir l'acquisition des compétences transverses

Doc & Quiz

Des articles interactifs avec des quiz, pour une lecture constructive

ABONNEZ-VOUS