Article de référence | Réf : E4045 v2

Annexe : extension de la notion d’optiques binaires
Optiques binaires et application à l’imagerie - Optiques focalisantes

Auteur(s) : Guillaume DRUART, Florence DE LA BARRIERE, Nicolas GUERINEAU

Relu et validé le 12 avr. 2021 | Read in English

Pour explorer cet article
Télécharger l'extrait gratuit

Vous êtes déjà abonné ?Connectez-vous !

Sommaire

Présentation

RÉSUMÉ

L’article traite des propriétés d’imagerie des optiques binaires qui sont des composants optiques codés par une succession de motifs, soit opaques ou transparents, soit gravés ou non gravés. Par rapport aux composants optiques classiques qui utilisent la réfraction ou la réflexion pour modifier la direction des rayons lumineux, les optiques binaires exploitent le phénomène de la diffraction qui sollicite l’aspect ondulatoire de la lumière. Sont développées les optiques binaires focalisantes, c'est-à-dire qui concentrent la lumière en un point focal et dont les propriétés sont proches de celles d’une optique classique.

Lire cet article issu d'une ressource documentaire complète, actualisée et validée par des comités scientifiques.

Lire l’article

Auteur(s)

INTRODUCTION

Les optiques binaires sont des composants optiques codés, soit en phase soit en amplitude par une succession de motifs. Par rapport aux composants optiques classiques qui utilisent la réfraction ou la réflexion pour modifier la direction des rayons lumineux, les composants binaires exploitent le phénomène de la diffraction qui sollicite l’aspect ondulatoire de la lumière. La diffraction longtemps considérée comme une limitation (on parle de systèmes optiques en limite de diffraction) a été progressivement exploitée dans des architectures optiques. Dans un premier temps, elle a été utilisée pour améliorer les performances de combinaisons d’optiques réfractives (par exemple pour corriger le chromatisme), puis progressivement, avec l’avènement des capteurs digitaux qui permettent de manipuler les images après leur acquisition, certaines équipes de chercheurs envisagent tout simplement de remplacer les optiques réfractives et réflectives, par des composants diffractifs, afin de réaliser des systèmes légers, peu coûteux et compacts.

L’imagerie à partir d’optiques binaires est prisée dans le domaine des rayons gamma et des rayons X où la matière est très absorbante. Cela rend en effet délicat la réalisation de lentilles réfractives qui impose la variation des épaisseurs optiques importantes ou bien l’utilisation de miroirs où l’empilement de couches diélectriques réfléchissantes peut être problématique. Ainsi, l’utilisation d’optiques binaires permet de limiter l’absorption du rayonnement tout en apportant une fonction de focalisation.

Dans cet article, les composants optiques binaires considérés sont les seuls « ingrédients » optiques pour former une image, avec un focus sur les optiques binaires focalisantes dont les propriétés d’imagerie sont proches de celles des optiques conventionnelles. Le formalisme de formation d’image sera rappelé dans un premier temps pour introduire les fonctions de mérite associées (ouverture, fonction de transfert, fonction d’étalement de point…). Plusieurs exemples d’optiques binaires focalisantes sont ensuite détaillés. Pour chacun, les équations utiles à leur modélisation sont décrites, ainsi que des exemples d’application à l’imagerie.

Enfin, un tableau comparatif est exposé récapitulant les différentes optiques binaires présentées avec leurs caractéristiques.

La notion d’optique binaire est étendue en annexe au domaine des optiques multi-niveaux pouvant être réalisées avec un unique masque de photolithographie, parents proches de la famille des optiques binaires.

Cet article constitue le premier volet d’une série de deux articles, il traite des aspects conventionnels d’imagerie, tandis que le second article[E 4 046] explore des approches moins conventionnelles basées sur des optiques binaires dites auto-imageantes.

Le lecteur trouvera en fin d’article un tableau des sigles et notations utilisés.

Cet article est réservé aux abonnés.
Il vous reste 93% à découvrir.

Pour explorer cet article
Téléchargez l'extrait gratuit

Vous êtes déjà abonné ?Connectez-vous !


L'expertise technique et scientifique de référence

La plus importante ressource documentaire technique et scientifique en langue française, avec + de 1 200 auteurs et 100 conseillers scientifiques.
+ de 10 000 articles et 1 000 fiches pratiques opérationnelles, + de 800 articles nouveaux ou mis à jours chaque année.
De la conception au prototypage, jusqu'à l'industrialisation, la référence pour sécuriser le développement de vos projets industriels.

VERSIONS

Il existe d'autres versions de cet article :

DOI (Digital Object Identifier)

https://doi.org/10.51257/a-v2-e4045


Cet article fait partie de l’offre

Physique Chimie

(204 articles en ce moment)

Cette offre vous donne accès à :

Une base complète d’articles

Actualisée et enrichie d’articles validés par nos comités scientifiques

Des services

Un ensemble d'outils exclusifs en complément des ressources

Des modules pratiques

Opérationnels et didactiques, pour garantir l'acquisition des compétences transverses

Doc & Quiz

Des articles interactifs avec des quiz, pour une lecture constructive

ABONNEZ-VOUS

Lecture en cours
Présentation

5. Annexe : extension de la notion d’optiques binaires

Avec le développement de la photolithographie, la notion d’optique binaire peut être étendue augmentant ainsi le nombre de composants possibles. Un composant binaire peut donc être considéré comme une optique pouvant être réalisée à partir d’un seul, voire de quelques masques de photolithographie.

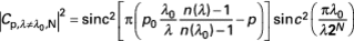
Ainsi, une lentille de Fresnel peut être approximée par un profil à plusieurs niveaux, 2 niveaux étant la définition initiale d’une optique binaire ; N étapes de photolithographie produisent un composant composé de 2 N niveaux de phase. On obtient alors un profil discret multi-niveaux, composé de N marches d’escalier (figure 13).

Le nombre de sauts de phase a un impact sur l’efficacité de diffraction du composant. Considérons une lentille de Fresnel (comme illustrée figure 13 a ) conçue pour être 100 % efficace dans l’ordre p 0 à une longueur d’onde λ 0. L’efficacité de diffraction d’un ordre p à la longueur d’onde λ s’exprime en fonction du nombre de sauts de phase de la lentille multi-niveaux équivalente  :

Plus le nombre de marches de phase est important, plus le profil résultant est proche du profil idéal continu, et plus l’efficacité de diffraction du composant dans l’ordre p sera importante à la longueur d’onde de conception λ 0. Toutefois, la contrepartie est un procédé de fabrication plus complexe et plus long à mettre en place.

Prenons maintenant une lentille de Fresnel d’ordre 1, conçue à la longueur d’onde λ 0, le tableau 1...

Cet article est réservé aux abonnés.
Il vous reste 95% à découvrir.

Pour explorer cet article
Téléchargez l'extrait gratuit

Vous êtes déjà abonné ?Connectez-vous !


L'expertise technique et scientifique de référence

La plus importante ressource documentaire technique et scientifique en langue française, avec + de 1 200 auteurs et 100 conseillers scientifiques.
+ de 10 000 articles et 1 000 fiches pratiques opérationnelles, + de 800 articles nouveaux ou mis à jours chaque année.
De la conception au prototypage, jusqu'à l'industrialisation, la référence pour sécuriser le développement de vos projets industriels.

TEST DE VALIDATION ET CERTIFICATION CerT.I. :

Cet article vous permet de préparer une certification CerT.I.

Le test de validation des connaissances pour obtenir cette certification de Techniques de l’Ingénieur est disponible dans le module CerT.I.

Obtenez CerT.I., la certification
de Techniques de l’Ingénieur !
Acheter le module

Cet article fait partie de l’offre

Physique Chimie

(204 articles en ce moment)

Cette offre vous donne accès à :

Une base complète d’articles

Actualisée et enrichie d’articles validés par nos comités scientifiques

Des services

Un ensemble d'outils exclusifs en complément des ressources

Des modules pratiques

Opérationnels et didactiques, pour garantir l'acquisition des compétences transverses

Doc & Quiz

Des articles interactifs avec des quiz, pour une lecture constructive

ABONNEZ-VOUS

Lecture en cours
Annexe : extension de la notion d’optiques binaires
Sommaire
Sommaire

BIBLIOGRAPHIE

  • (1) - WANG (S.), BERNABEU (E.), ALDA (J.) -   Unified and generalized Fresnel numbers.  -  Optical and Quantum Electronics, 24, p. 1351-1358 (1992).

  • (2) - GOODMAN (J.) -   Introduction to Fourier optics.  -  Mc Graw-Hill, New York, p. 30-56 (1968).

  • (3) - JAROSZEWICZ (Z.), BURVALL (A.), FRIBERG (A.T.) -   Axicon – The most important optical element.  -  Optics and Photonics News, 16(4), p. 34-39 (2005).

  • (4) - WILK (S.R.) -   Ancient optics : producing magnification without lenses.  -  Opt. Photon. News, p. 12-13, avr. 2006.

  • (5) - DRUART (G.) -   Nouvelles briques de conception de systèmes intégrés pour la vision infrarouge. D’une approche minimaliste à la camera sur puce.  -  Thèse (2009).

  • (6) - DENIS (L.), FOURNIER (C.), FOURNEL (T.), DUCOTTET (C.), JEULIN...

1 Outils logiciels

Unified optical design software « Wyrowski VirtualLab Fusion », developed by Wyrowski Photonics UG, distributed and supported by LightTrans GmbH, Jena, Germany

HAUT DE PAGE

2 Annuaire

L’étude des optiques binaires est une discipline ancienne et appartient à la boîte à outil du chercheur/ingénieur qui pourra revisiter ces concepts en fonction de ses besoins applicatifs. Le gros du travail actuel en photolithographie se situe dans le domaine des nanotechnologies et de la plasmonique qui ne sont pas traitées dans cet article. Les équipes mentionnées ci-dessous ont publié des documents qui ont inspiré cet article, ou bien leurs travaux sont connus par les auteurs. Néanmoins, leurs thèmes de recherche peuvent être aujourd’hui assez éloignés des optiques binaires.

Fraunhofer IOF, Institute for optics and precision https://www.iof.fraunhofer.de/en.html

EPFL, École Polytechnique Fédérale de Lausanne https://www.epfl.ch/

University of Osaka http://www.osaka-u.ac.jp/en

Recherche & Technologie, Thales Group https://www.thalesgroup.com/fr/global/innovation/recherche-technologie

Institut d’Optique, Laboratoire Charles Fabry https://www.institutoptique.fr/Laboratoire-Charles-Fabry

CEA LETI http://www.leti-cea.fr/cea-tech/leti

ONERA...

Cet article est réservé aux abonnés.
Il vous reste 95% à découvrir.

Pour explorer cet article
Téléchargez l'extrait gratuit

Vous êtes déjà abonné ?Connectez-vous !


L'expertise technique et scientifique de référence

La plus importante ressource documentaire technique et scientifique en langue française, avec + de 1 200 auteurs et 100 conseillers scientifiques.
+ de 10 000 articles et 1 000 fiches pratiques opérationnelles, + de 800 articles nouveaux ou mis à jours chaque année.
De la conception au prototypage, jusqu'à l'industrialisation, la référence pour sécuriser le développement de vos projets industriels.

Cet article fait partie de l’offre

Physique Chimie

(204 articles en ce moment)

Cette offre vous donne accès à :

Une base complète d’articles

Actualisée et enrichie d’articles validés par nos comités scientifiques

Des services

Un ensemble d'outils exclusifs en complément des ressources

Des modules pratiques

Opérationnels et didactiques, pour garantir l'acquisition des compétences transverses

Doc & Quiz

Des articles interactifs avec des quiz, pour une lecture constructive

ABONNEZ-VOUS

Sommaire

QUIZ ET TEST DE VALIDATION PRÉSENTS DANS CET ARTICLE

1/ Quiz d'entraînement

Entraînez vous autant que vous le voulez avec les quiz d'entraînement.

2/ Test de validation

Lorsque vous êtes prêt, vous passez le test de validation. Vous avez deux passages possibles dans un laps de temps de 30 jours.

Entre les deux essais, vous pouvez consulter l’article et réutiliser les quiz d'entraînement pour progresser. L’attestation vous est délivrée pour un score minimum de 70 %.


L'expertise technique et scientifique de référence

La plus importante ressource documentaire technique et scientifique en langue française, avec + de 1 200 auteurs et 100 conseillers scientifiques.
+ de 10 000 articles et 1 000 fiches pratiques opérationnelles, + de 800 articles nouveaux ou mis à jours chaque année.
De la conception au prototypage, jusqu'à l'industrialisation, la référence pour sécuriser le développement de vos projets industriels.

Cet article fait partie de l’offre

Physique Chimie

(204 articles en ce moment)

Cette offre vous donne accès à :

Une base complète d’articles

Actualisée et enrichie d’articles validés par nos comités scientifiques

Des services

Un ensemble d'outils exclusifs en complément des ressources

Des modules pratiques

Opérationnels et didactiques, pour garantir l'acquisition des compétences transverses

Doc & Quiz

Des articles interactifs avec des quiz, pour une lecture constructive

ABONNEZ-VOUS