Présentation

Article

1 - LUMIÈRE, PROPRIÉTÉS ET PROPAGATION

2 - GRANDEURS PHOTOMÉTRIQUES

3 - APPLICATION À L'ÉCLAIRAGISME

  • 3.1 - Intensité et luminance
  • 3.2 - Intensité et éclairement : loi de Bouguer
  • 3.3 - Dépendance angulaire de l'éclairement
  • 3.4 - Éclairement dû à un ciel de luminance uniforme
  • 3.5 - Diffuseur lambertien
  • 3.6 - Facteur de luminance
  • 3.7 - Éblouissement
  • 3.8 - Facteur d'utilisation
  • 3.9 - Efficience énergétique

4 - SYSTÈME D'UNITÉS VISUELLES

5 - CONCLUSION

Article de référence | Réf : C3339 v1

Application à l'éclairagisme
Éclairage : les fondamentaux

Auteur(s) : Christophe CACHONCINLLE, Georges ZISSIS

Date de publication : 10 févr. 2014

Pour explorer cet article
Télécharger l'extrait gratuit

Vous êtes déjà abonné ?Connectez-vous !

Sommaire

Présentation

RÉSUMÉ

L'éclairage a vécu une véritable mutation technologique ces dernières années. L'arrivée des composants LEDs efficaces a drastiquement bouleversé le catalogue des fabricants de luminaires. Dans ce bref article, sont présentés les éléments fondamentaux de l'éclairagisme, la notion de propagation de la lumière, ainsi que les principes de base des sources lumineuses actuelles, les diverses formules de photométrie et leurs applications à l'éclairage des locaux.

Lire cet article issu d'une ressource documentaire complète, actualisée et validée par des comités scientifiques.

Lire l’article

Auteur(s)

  • Christophe CACHONCINLLE : Chercheur à Polytech Orléans/GREMI

  • Georges ZISSIS : Professeur des universités Directeur de recherche au Centre de physique des plasmas et de leurs applications (CPAT, UMR CNRS 5002) de l'université Paul-Sabatier Toulouse-III

INTRODUCTION

Le secteur de l'éclairage a subi une profonde mutation. La production de lumière à partir du « tout solide », ou « Solide State lighting » en anglais, a changé la donne. Certaines catégories de lampes ont disparu du marché alors que d'autres ont émergé.

Les technologies de lampes peuvent être grossièrement classées en trois catégories :

  • les lampes à incandescence ;

  • les lampes à décharge ;

  • les LEDs (Light Emitted Diodes).

Le principe de fonctionnement de la première catégorie de lampes, repose sur l'incandescence d'un filament de tungstène porté à une température proche de son seuil de fusion, soit environ 3 000 K. Cette technologie, vielle de plus d'un siècle, a été bannie du marché européen de l'éclairage, car son efficacité de conversion de l'énergie électrique en lumière est intrinsèquement très limitée. Notons, qu'il subsiste encore des lampes à incandescence de faible puissance et des lampes spécifiques (fours, congélateurs, etc). Malgré la très bonne qualité esthétique de leur lumière, ces lampes sont dorénavant obsolètes, car énergivores.

La technologie des lampes à décharge est quant à elle plus sophistiquée. Cette catégorie comprend, par exemple, les lampes à halogénures métalliques utilisées abondamment et pendant longtemps en éclairage extérieur. Mais aussi, les tubes fluorescents et leur miniaturisation en lampes fluocompactes. L'efficacité de conversion énergétique de ces lampes est nettement meilleure, parfois dix fois mieux que celle des lampes à incandescence. Aussi, ont-elles envahi tout le secteur tertiaire de l'éclairage sous formes d'encastrés et de plafonniers, par exemple.

Enfin, l'arrivée sur le marché des composants LEDs de puissance qui émettent en lumière blanche, permet pour la première fois de disposer de très bonnes sources lumineuses d'une efficacité intrinsèquement supérieure à celle des lampes à décharge, tout en gardant une qualité de lumière remarquable.

Dans cet article, après avoir abordé les principes physiques de la propagation des ondes lumineuses dans les milieux matériels, nous présentons les principes fondamentaux de la production de lumière par la matière. Nous décrivons d'abord l'émission de lumière à partir du rayonnement du « corps noir », milieu gazeux ionisé, ou plasma, porté à haute température. Puis, nous exposons le principe de la production de photons par l'état solide de la matière : les jonctions semi-conductrices, i.e. la technologie LEDs.

Nous rappelons ensuite les définitions de base de la photométrie, principalement :

  • le flux ;

  • l'intensité ;

  • l'éclairement ;

  • la luminance ;

  • le facteur de maintenance ;

  • le facteur d'utilisation d'une installation.

Puis, nous établissons quelques formules de base de l'éclairagisme, qui permettent de dimensionner simplement le flux lumineux à installer dans un local de géométrie donnée, tout en évaluant l'éfficience énergétique de l'installation.

Enfin, pour conclure, nous présentons les deux systèmes d'unités, radiométriques (W, W.m−2, W.sr−1...) et photométriques (lumen, lux candela...), ainsi que les relations mathématiques qui permettent le passage entre ces deux systèmes pour toutes les grandeurs.

Cet article est réservé aux abonnés.
Il vous reste 94% à découvrir.

Pour explorer cet article
Téléchargez l'extrait gratuit

Vous êtes déjà abonné ?Connectez-vous !


L'expertise technique et scientifique de référence

La plus importante ressource documentaire technique et scientifique en langue française, avec + de 1 200 auteurs et 100 conseillers scientifiques.
+ de 10 000 articles et 1 000 fiches pratiques opérationnelles, + de 800 articles nouveaux ou mis à jours chaque année.
De la conception au prototypage, jusqu'à l'industrialisation, la référence pour sécuriser le développement de vos projets industriels.

DOI (Digital Object Identifier)

https://doi.org/10.51257/a-v1-c3339


Cet article fait partie de l’offre

Optique Photonique

(223 articles en ce moment)

Cette offre vous donne accès à :

Une base complète d’articles

Actualisée et enrichie d’articles validés par nos comités scientifiques

Des services

Un ensemble d'outils exclusifs en complément des ressources

Des modules pratiques

Opérationnels et didactiques, pour garantir l'acquisition des compétences transverses

Doc & Quiz

Des articles interactifs avec des quiz, pour une lecture constructive

ABONNEZ-VOUS

Lecture en cours
Présentation

3. Application à l'éclairagisme

3.1 Intensité et luminance

L'intensité a été définie comme le flux par unité d'angle solide. On peut aussi écrire la luminance d'une surface en fonction de l'intensité émise par son aire :

( 37 )

Le dénominateur de cette dernière expression correspond à la surface apparente sous laquelle est vue la surface inclinée de l'angle θs par rapport à la direction d'observation.

On retiendra donc que la luminance d'une surface lumineuse correspond à l'intensité émise divisée par l'aire apparente sous laquelle elle est observée.

On écrira plus simplement :

( 38 )

Exemple

Un tube fluorescent cylindrique de 1 200 mm de long par 16 mm de diamètre présentant une intensité de 900 cd, présentera, vu de face, une surface apparente rectangulaire de 1 200 mm de long par 16 mm de coté. Sa luminance dans cette direction d'observation sera alors de 46 875 cd.m−2.

HAUT DE PAGE

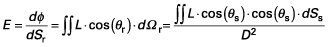
3.2 Intensité et éclairement : loi de Bouguer

Écrivons l'éclairement E reçu par une surface dS sous le flux lumineux dφ, et exprimons ce flux en fonction de l'intensité I du faisceaux. Il résulte des relations précédentes que :

( 39 )

Si la distance D est très grande devant la surface de la source, alors les angles θr sont pratiquement tous égaux, quel que soit le point d'observation...

Cet article est réservé aux abonnés.
Il vous reste 94% à découvrir.

Pour explorer cet article
Téléchargez l'extrait gratuit

Vous êtes déjà abonné ?Connectez-vous !


L'expertise technique et scientifique de référence

La plus importante ressource documentaire technique et scientifique en langue française, avec + de 1 200 auteurs et 100 conseillers scientifiques.
+ de 10 000 articles et 1 000 fiches pratiques opérationnelles, + de 800 articles nouveaux ou mis à jours chaque année.
De la conception au prototypage, jusqu'à l'industrialisation, la référence pour sécuriser le développement de vos projets industriels.

Cet article fait partie de l’offre

Optique Photonique

(223 articles en ce moment)

Cette offre vous donne accès à :

Une base complète d’articles

Actualisée et enrichie d’articles validés par nos comités scientifiques

Des services

Un ensemble d'outils exclusifs en complément des ressources

Des modules pratiques

Opérationnels et didactiques, pour garantir l'acquisition des compétences transverses

Doc & Quiz

Des articles interactifs avec des quiz, pour une lecture constructive

ABONNEZ-VOUS

Lecture en cours
Application à l'éclairagisme
Sommaire
Sommaire

BIBLIOGRAPHIE

  • (1) - KITSINELIS (S.) -   The Rigth Light : Matching technologie to the needs ans applications  -  CCR press Taylor & Francis Group (2012).

  • (2) - GASKA (R.), ZUKAUSKAS (A.), SHUR (M.S.) -   « Introduction to Solid-State Lighting »  -  John Wiley & Sons Inc (2002).

  • (3) - SANIAL (W.) -   *  -  . – Les sources de lumière artificielle, éditions Cépaduès (2011).

1 Événements

Congrès bisannuel « journées nationales de la lumière » organisé par l'Association Française de l'Éclairage.

HAUT DE PAGE

2 Normes et standards

NF EN 13032 : - Photométrie (elle remplace la normes NF C 71-121) : partie 1 : Mesurage et format des données & partie 2 : Présentation des données. - -

NF EN 12 464 : - Éclairage des lieux de travail : partie 1 : Intérieur & partie 2 : Extérieur. - -

NF X 53-103 - Principe d'ergonomie visuelle pour les lieux de travail. - -

NF 12193 : - Éclairage des installations sportives. - -

NF EN 13201 : - Éclairage public : partie 1 : Classe d'éclairage. Partie 2 : Exigence de performances. Partie 3 : Calcul des performances. Partie 4 : Méthode...

Cet article est réservé aux abonnés.
Il vous reste 92% à découvrir.

Pour explorer cet article
Téléchargez l'extrait gratuit

Vous êtes déjà abonné ?Connectez-vous !


L'expertise technique et scientifique de référence

La plus importante ressource documentaire technique et scientifique en langue française, avec + de 1 200 auteurs et 100 conseillers scientifiques.
+ de 10 000 articles et 1 000 fiches pratiques opérationnelles, + de 800 articles nouveaux ou mis à jours chaque année.
De la conception au prototypage, jusqu'à l'industrialisation, la référence pour sécuriser le développement de vos projets industriels.

Cet article fait partie de l’offre

Optique Photonique

(223 articles en ce moment)

Cette offre vous donne accès à :

Une base complète d’articles

Actualisée et enrichie d’articles validés par nos comités scientifiques

Des services

Un ensemble d'outils exclusifs en complément des ressources

Des modules pratiques

Opérationnels et didactiques, pour garantir l'acquisition des compétences transverses

Doc & Quiz

Des articles interactifs avec des quiz, pour une lecture constructive

ABONNEZ-VOUS