Présentation

Article

1 - EXEMPLES DE PROBLÈMES VARIATIONNELS

2 - MÉTHODES CLASSIQUES

  • 2.1 - Équation d'Euler-Lagrange
  • 2.2 - Formulation hamiltonienne et équation de Hamilton-Jacobi

3 - MÉTHODES DIRECTES

  • 3.1 - Espaces de Sobolev
  • 3.2 - Un résultat général
  • 3.3 - Régularité

4 - MÉTHODES DIRECTES (LE CAS VECTORIEL)

  • 4.1 - Les différentes notions de convexité
  • 4.2 - Un résultat d'existence

5 - PROBLÈMES NON CONVEXES DU CALCUL DES VARIATIONS

  • 5.1 - Les différentes enveloppes
  • 5.2 - Un théorème de relaxation
  • 5.3 - Exemples

6 - RÉFÉRENCES BIBLIOGRAPHIQUES

Article de référence | Réf : AF111 v1

Méthodes classiques
Calcul des variations

Auteur(s) : Bernard DACOROGNA

Date de publication : 10 oct. 2007 | Read in English

Pour explorer cet article
Télécharger l'extrait gratuit

Vous êtes déjà abonné ?Connectez-vous !

Sommaire

Présentation

RÉSUMÉ

Sujet classique des mathématiques, le calcul des variations a fait couler beaucoup d'encre et sur un grand nombre d'échanges, les modèles proposés étant souvent exprimés en termes de minimalité ou maximalité. Les méthodes classiques (équation d’Euler-Lagrange, formulation hamiltonienne et équation de Hamilton-Jacobi) et les méthodes directes (espaces de Sobolev, résultat général et régularité) sont ici explicitées. Le cas vectoriel des méthodes directes est ensuite abordé à l’aide des différentes notions de convexité et d’un résultat d’existence. Les problèmes non convexes du calcul des variations viennent terminer cet article : différentes enveloppes, théorème de relaxation et divers exemples.

Lire cet article issu d'une ressource documentaire complète, actualisée et validée par des comités scientifiques.

Lire l’article

Auteur(s)

  • Bernard DACOROGNA : Professeur, Section de mathématiques EPFL (École polytechnique fédérale de Lausanne), Suisse

INTRODUCTION

Le calcul des variations est un des sujets classiques des mathématiques. Il a attiré un grand nombre de mathématiciens célèbres. Avant de présenter le cas modèle le plus important, nous allons commencer par une discussion informelle. En mathématiques, en physique, dans les sciences de l'ingénieur ou même en économie ou en écologie, les modèles sont souvent exprimés en termes d'un principe de minimalité ou de maximalité. C'est précisément la question centrale du calcul des variations. Par exemple, en mathématiques, on peut être intéressé à trouver, sous certaines contraintes, une courbe de longueur minimale ou une surface d'aire minimale. En physique, un exemple typique est le principe de moindre action ; d'autres exemples seront donnés dans cet exposé de manière plus détaillée. Par ailleurs, les lois de conservation, qui correspondent mathématiquement à des équations différentielles, sont souvent dérivées à partir d'un principe variationnel. Les solutions du problème variationnel sont alors des solutions d'équations différentielles associées.

Cet article est réservé aux abonnés.
Il vous reste 95% à découvrir.

Pour explorer cet article
Téléchargez l'extrait gratuit

Vous êtes déjà abonné ?Connectez-vous !


L'expertise technique et scientifique de référence

La plus importante ressource documentaire technique et scientifique en langue française, avec + de 1 200 auteurs et 100 conseillers scientifiques.
+ de 10 000 articles et 1 000 fiches pratiques opérationnelles, + de 800 articles nouveaux ou mis à jours chaque année.
De la conception au prototypage, jusqu'à l'industrialisation, la référence pour sécuriser le développement de vos projets industriels.

DOI (Digital Object Identifier)

https://doi.org/10.51257/a-v1-af111


Cet article fait partie de l’offre

Mathématiques

(170 articles en ce moment)

Cette offre vous donne accès à :

Une base complète d’articles

Actualisée et enrichie d’articles validés par nos comités scientifiques

Des services

Un ensemble d'outils exclusifs en complément des ressources

Des modules pratiques

Opérationnels et didactiques, pour garantir l'acquisition des compétences transverses

Doc & Quiz

Des articles interactifs avec des quiz, pour une lecture constructive

ABONNEZ-VOUS

Lecture en cours
Présentation

2. Méthodes classiques

On va se restreindre ici au cas N = n = 1, même si bon nombre de résultats et, notamment, le plus important, se généralisent au cas des dimensions supérieures. Le problème est alors :

et

Par la suite, nous dénoterons très souvent les dérivées partielles par des indices.

Exemple :

si f = f (x, u, ξ), alors :

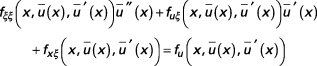
2.1 Équation d'Euler-Lagrange

Le résultat le plus important de cette section est le suivant.

Théorème 1. Soit fC 2 , f = f (x, u, ξ), et

X = {uC1 ([a, b]) : u(a) = α, u(b) = β }.

• Première partie. Si (P  ) admet un minimiseur :

alors :

ou, en dérivant :

Cet article est réservé aux abonnés.
Il vous reste 92% à découvrir.

Pour explorer cet article
Téléchargez l'extrait gratuit

Vous êtes déjà abonné ?Connectez-vous !


L'expertise technique et scientifique de référence

La plus importante ressource documentaire technique et scientifique en langue française, avec + de 1 200 auteurs et 100 conseillers scientifiques.
+ de 10 000 articles et 1 000 fiches pratiques opérationnelles, + de 800 articles nouveaux ou mis à jours chaque année.
De la conception au prototypage, jusqu'à l'industrialisation, la référence pour sécuriser le développement de vos projets industriels.

Cet article fait partie de l’offre

Mathématiques

(170 articles en ce moment)

Cette offre vous donne accès à :

Une base complète d’articles

Actualisée et enrichie d’articles validés par nos comités scientifiques

Des services

Un ensemble d'outils exclusifs en complément des ressources

Des modules pratiques

Opérationnels et didactiques, pour garantir l'acquisition des compétences transverses

Doc & Quiz

Des articles interactifs avec des quiz, pour une lecture constructive

ABONNEZ-VOUS

Lecture en cours
Méthodes classiques
Sommaire
Sommaire

BIBLIOGRAPHIE

  • (1) - AKHIEZER (N.I.) -   The calculus of variations  -  . Blaisdell, New York (1962).

  • (2) - BLISS (G.) -   Lectures on the calculus of variations  -  . University of Chicago Press, Chicago (1951).

  • (3) - BOLZA (O.) -   Lectures on the calculus of variations  -  . Chelsea Publication, New York (1946).

  • (4) - BUTTAZZO (G.), GIAQUINTA (M.), HILDEBRANDT (S.) -   One dimensional variational problems  -  . Oxford University Press, Oxford (1998).

  • (5) - CARATHÉODORY (C.) -   Calculus of variations and partial differential equations of the first order  -  . Holden Day, San Francisco (1965).

  • (6) - CESARI (L.) -   Optimization – Theory and applications  -  . Springer, New York (1983).

  • ...

Cet article est réservé aux abonnés.
Il vous reste 95% à découvrir.

Pour explorer cet article
Téléchargez l'extrait gratuit

Vous êtes déjà abonné ?Connectez-vous !


L'expertise technique et scientifique de référence

La plus importante ressource documentaire technique et scientifique en langue française, avec + de 1 200 auteurs et 100 conseillers scientifiques.
+ de 10 000 articles et 1 000 fiches pratiques opérationnelles, + de 800 articles nouveaux ou mis à jours chaque année.
De la conception au prototypage, jusqu'à l'industrialisation, la référence pour sécuriser le développement de vos projets industriels.

Cet article fait partie de l’offre

Mathématiques

(170 articles en ce moment)

Cette offre vous donne accès à :

Une base complète d’articles

Actualisée et enrichie d’articles validés par nos comités scientifiques

Des services

Un ensemble d'outils exclusifs en complément des ressources

Des modules pratiques

Opérationnels et didactiques, pour garantir l'acquisition des compétences transverses

Doc & Quiz

Des articles interactifs avec des quiz, pour une lecture constructive

ABONNEZ-VOUS