Présentation

Article

1 - ANALYSE DU COMPORTEMENT MÉCANIQUE

2 - RÉSOLUTION ANALYTIQUE

3 - RÉSOLUTION SEMI-ANALYTIQUE

4 - APPLICATION AUX ASSEMBLAGES HYBRIDES (BOULONNÉS/COLLÉS)

5 - CONCLUSION

6 - GLOSSAIRE

Article de référence | Réf : TRP4037 v1

Résolution analytique
Modélisation simplifiée de structures planes élancées collées

Auteur(s) : Éric PAROISSIEN, Frédéric LACHAUD

Date de publication : 10 févr. 2022 | Read in English

Pour explorer cet article
Télécharger l'extrait gratuit

Vous êtes déjà abonné ?Connectez-vous !

Sommaire

Présentation

RÉSUMÉ

La fonction de transfert des efforts au sein d’une structure est assurée par les assemblages. Les assemblages sont donc garants de l’intégrité de la structure. Afin de dimensionner ces zones critiques, il est nécessaire d’évaluer le transfert des efforts d’un élément structural à un autre. L’objectif de cet article est de présenter des démarches de modélisation simplifiée et de résolution analytique et semi-analytique d’assemblages par collage et hybride (boulonné/collé) de deux éléments structuraux plans élancés. La modélisation par macro-élément est alors présentée. Elle permet d’aboutir à la détermination de la répartition des efforts transférés et des contraintes associées, en particulier dans la couche de colle vue comme une zone cohésive. 

Lire cet article issu d'une ressource documentaire complète, actualisée et validée par des comités scientifiques.

Lire l’article

Auteur(s)

  • Éric PAROISSIEN : Professeur ERE à l’Institut supérieur de l’espace et de l’aéronautique et de l’espace (ISAE-SUPAERO) - Institut Clément Ader (ICA), Université de Toulouse, ISAE-SUPAERO, INSA, IMT MINES ALBI, UTIII, CNRS, Toulouse, France

  • Frédéric LACHAUD : Professeur ERE à l’Institut supérieur de l’espace et de l’aéronautique et de l’espace (ISAE-SUPAERO) - Institut Clément Ader (ICA), Université de Toulouse, ISAE-SUPAERO, INSA, IMT MINES ALBI, UTIII, CNRS, Toulouse, France

INTRODUCTION

Les assemblages restent incontournables dans la conception des structures. Leur fonction principale est de permettre l’existence d’une structure, constituée elle-même d’éléments structuraux. Il existe de nombreuses technologies d’assemblage, tels que l’assemblage par fixation mécanique, le soudage ou le collage par exemple. En service, une structure est généralement soumise à un ensemble de charges extérieures, auxquelles elle doit résister afin d’assurer ses fonctions. Ces charges se répartissent dans les éléments structuraux sous forme d’efforts dont la nature dépend des choix de conception initiaux. Les éléments structuraux sont alors dimensionnés pour résister à ces efforts. Par exemple, une structure de type voilure possède une forme géométrique permettant de générer de la portance à partir de la réaction à la pression aérodynamique sur sa surface. Cette charge aérodynamique génère dans la structure des efforts tranchants, moments de flexion et moments de torsion. Le longeron est l’élément structural qui est capable de reprendre le moment de flexion, qu’il va transmettre au fuselage et permettre le vol de l’appareil. Les assemblages assurent alors l’équilibre des éléments structuraux sous les efforts résultants. Les éléments de liaison, comme la couche de colle, sont soumis aux réactions des efforts résultants. Ainsi, les éléments de liaison se déforment générant des contraintes qui s’opposent à ces déformations. Ces contraintes permettent alors d’équilibrer les efforts résultants. La déformation des éléments de liaison permet donc d’assurer l’équilibre des éléments structuraux ou, autrement dit, le transfert d’effort.

Cet article concerne l’assemblage de deux structures planes élancées (simple cisaillement) par collage sous chargement quasi statique. Ce type de structure peut être utilisé par exemple par les industries des transports (automobile, ferroviaire, naval, aéronautique et spatial) ou de la construction civile. Les structures planes élancées offrent la possibilité de réaliser des hypothèses suffisamment simplificatrices pour mener à l’écriture d’équations analytiques prédictives prêtes à l’emploi, tout en étant pertinentes avec la réalité physique. Pourtant, le champ d’application de ces formules peut être parfois restrictif. Le recours à des méthodes de résolution semi-analytique, qui sont des méthodes de résolution numériques appliquées à un jeu d’hypothèses suffisamment simplificatrices, peut s’avérer nécessaire. Sur la base des théories existantes dans la littérature, souvent développées pour des applications aéronautiques mais aussi en construction civile ou électronique, l’objectif de cet article est d’expliquer les démarches de modélisation ainsi que de résolution et les limites associées. De plus, une application à une configuration plus complexe, les assemblages hybrides (boulonnés/collés), est présentée afin d’illustrer l’intérêt d’une approche semi-analytique particulière : la modélisation par macro-élément (ME). Enfin, la conclusion portera sur l’utilisation des calculs réalisés pour le dimensionnement des structures planes élancées.

Cet article est réservé aux abonnés.
Il vous reste 94% à découvrir.

Pour explorer cet article
Téléchargez l'extrait gratuit

Vous êtes déjà abonné ?Connectez-vous !


L'expertise technique et scientifique de référence

La plus importante ressource documentaire technique et scientifique en langue française, avec + de 1 200 auteurs et 100 conseillers scientifiques.
+ de 10 000 articles et 1 000 fiches pratiques opérationnelles, + de 800 articles nouveaux ou mis à jours chaque année.
De la conception au prototypage, jusqu'à l'industrialisation, la référence pour sécuriser le développement de vos projets industriels.

DOI (Digital Object Identifier)

https://doi.org/10.51257/a-v1-trp4037


Cet article fait partie de l’offre

Systèmes aéronautiques et spatiaux

(81 articles en ce moment)

Cette offre vous donne accès à :

Une base complète d’articles

Actualisée et enrichie d’articles validés par nos comités scientifiques

Des services

Un ensemble d'outils exclusifs en complément des ressources

Des modules pratiques

Opérationnels et didactiques, pour garantir l'acquisition des compétences transverses

Doc & Quiz

Des articles interactifs avec des quiz, pour une lecture constructive

ABONNEZ-VOUS

Lecture en cours
Présentation

2. Résolution analytique

2.1 Cinématique de membrane

HAUT DE PAGE

2.1.1 Hypothèses

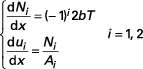
Le modèle présenté pour l’analyse d’un simple recouvrement collé sous à un effort de tension f (figure 3) repose sur les hypothèses simplificatrices qui découlent des travaux d’Arnovljevic  ou de Volkersen  :

  1. Cadre des hypothèses des petites perturbations sous charge quasi statique ;

  2. Les matériaux sont homogènes linéaires élastiques ;

  3. Les substrats sont modélisés comme des barres ;

  4. La colle est modélisée par une fondation élastique homogène à un paramètre, associé au cisaillement, reliant les deux interfaces ;

  5. Les paramètres géométriques sont quelconques mais constants.

Cette modélisation implique alors que toutes les composantes des tenseurs des contraintes respectifs sont négligées devant (i) la contrainte normale pour les substrats et (ii) la contrainte de cisaillement pour la couche de colle. De plus, la contrainte de cisaillement dans la colle est constante dans l’épaisseur de colle. À partir de ces hypothèses simplificatrices, l’équilibre local et les relations constitutives de chacun des deux substrats peut être écrit, fournissant un système de quatre équations différentielles linéaires du premier ordre couplées :

...

Cet article est réservé aux abonnés.
Il vous reste 93% à découvrir.

Pour explorer cet article
Téléchargez l'extrait gratuit

Vous êtes déjà abonné ?Connectez-vous !


L'expertise technique et scientifique de référence

La plus importante ressource documentaire technique et scientifique en langue française, avec + de 1 200 auteurs et 100 conseillers scientifiques.
+ de 10 000 articles et 1 000 fiches pratiques opérationnelles, + de 800 articles nouveaux ou mis à jours chaque année.
De la conception au prototypage, jusqu'à l'industrialisation, la référence pour sécuriser le développement de vos projets industriels.

Cet article fait partie de l’offre

Systèmes aéronautiques et spatiaux

(81 articles en ce moment)

Cette offre vous donne accès à :

Une base complète d’articles

Actualisée et enrichie d’articles validés par nos comités scientifiques

Des services

Un ensemble d'outils exclusifs en complément des ressources

Des modules pratiques

Opérationnels et didactiques, pour garantir l'acquisition des compétences transverses

Doc & Quiz

Des articles interactifs avec des quiz, pour une lecture constructive

ABONNEZ-VOUS

Lecture en cours
Résolution analytique
Sommaire
Sommaire

BIBLIOGRAPHIE

  • (1) - De BRUYNE (N.) -   The strength of glued joints.  -  Aircraft Engineering and Aerospace Technology, DOI:10.1108/eb031117, 16(4), p. 115-118 (1944).

  • (2) - DEMARKLES (L.R.) -   Investigation of the use of a rubber analog in the study of stress distribution in riveted and cemented joints.  -  NACA, TN-3413, Washington (DC) (1955).

  • (3) - ARNOVLJEVIC (I.) -   Das Verteilungsgesetz der Tiefspannungen in axial beanspruchten Verbundstaben.  -  Z.F. Archund-Ing-Wesen, 55, p. 415-418 (1909).

  • (4) - VOLKERSEN (O.) -   Die Nietkraftverteilung in Zugbeanspruchten Nietverbindungen mit konstanten Laschenquerschnitten.  -  Luftfahrforschung, 15(24), p. 41-47 (1938).

  • (5) - ROSS (R.D.) -   An electrical computer for the solution of shear-lag and bolted joints problems.  -  NACA, TN-1281, 1947, Langley Field (VA) (1946).

  • (6)...

NORMES

  • Adhesives – Determination of shear behaviour of structural adhesives – Part 2 : Tensile test method using thick adherends - ISO 11003-2 - 2019

Cet article est réservé aux abonnés.
Il vous reste 93% à découvrir.

Pour explorer cet article
Téléchargez l'extrait gratuit

Vous êtes déjà abonné ?Connectez-vous !


L'expertise technique et scientifique de référence

La plus importante ressource documentaire technique et scientifique en langue française, avec + de 1 200 auteurs et 100 conseillers scientifiques.
+ de 10 000 articles et 1 000 fiches pratiques opérationnelles, + de 800 articles nouveaux ou mis à jours chaque année.
De la conception au prototypage, jusqu'à l'industrialisation, la référence pour sécuriser le développement de vos projets industriels.

Cet article fait partie de l’offre

Systèmes aéronautiques et spatiaux

(81 articles en ce moment)

Cette offre vous donne accès à :

Une base complète d’articles

Actualisée et enrichie d’articles validés par nos comités scientifiques

Des services

Un ensemble d'outils exclusifs en complément des ressources

Des modules pratiques

Opérationnels et didactiques, pour garantir l'acquisition des compétences transverses

Doc & Quiz

Des articles interactifs avec des quiz, pour une lecture constructive

ABONNEZ-VOUS