Présentation

Article

1 - CONTEXTE

2 - PRÉSENTATION DE LA MÉTHODE

3 - DESCRIPTION DU MOYEN DE MESURE

4 - RÉSULTATS DE MESURES

5 - DISCUSSIONS

Article de référence | Réf : R2805 v1

Présentation de la méthode
Pyroréflectométrie bicolore

Auteur(s) : Daniel HERNANDEZ

Date de publication : 10 mars 2012 | Read in English

Pour explorer cet article
Télécharger l'extrait gratuit

Vous êtes déjà abonné ?Connectez-vous !

Sommaire

Présentation

Auteur(s)

Lire cet article issu d'une ressource documentaire complète, actualisée et validée par des comités scientifiques.

Lire l’article

INTRODUCTION

En pyrométrie optique, la non-connaissance des propriétés thermo-radiatives constitue l'obstacle majeur pour accéder à la température réelle. Basée sur l'hypothèse d'indicatrices de réflexions identiques pour deux longueurs d'onde proches et s'appuyant sur des mesures simultanées de températures de luminance et de réflectivités bidirectionnelles, la pyroréflectométrie bicolore lève ce verrou pour les corps opaques. Des validations et des résultats expérimentaux démontrent la pertinence de la méthode et la maturité des systèmes associés.

Cet article est réservé aux abonnés.
Il vous reste 95% à découvrir.

Pour explorer cet article
Téléchargez l'extrait gratuit

Vous êtes déjà abonné ?Connectez-vous !


L'expertise technique et scientifique de référence

La plus importante ressource documentaire technique et scientifique en langue française, avec + de 1 200 auteurs et 100 conseillers scientifiques.
+ de 10 000 articles et 1 000 fiches pratiques opérationnelles, + de 800 articles nouveaux ou mis à jours chaque année.
De la conception au prototypage, jusqu'à l'industrialisation, la référence pour sécuriser le développement de vos projets industriels.

DOI (Digital Object Identifier)

https://doi.org/10.51257/a-v1-r2805


Cet article fait partie de l’offre

Mesures physiques

(118 articles en ce moment)

Cette offre vous donne accès à :

Une base complète d’articles

Actualisée et enrichie d’articles validés par nos comités scientifiques

Des services

Un ensemble d'outils exclusifs en complément des ressources

Des modules pratiques

Opérationnels et didactiques, pour garantir l'acquisition des compétences transverses

Doc & Quiz

Des articles interactifs avec des quiz, pour une lecture constructive

ABONNEZ-VOUS

Lecture en cours
Présentation

2. Présentation de la méthode

Pour un corps opaque, la loi de Kirchoff :

permet d’exprimer la relation () liant la température de luminance à la température réelle d’une surface en fonction de sa réflectivité hémisphérique  :

( 2 )

Ce terme qui nécessite une mesure intégrée sur l’hémisphère  [BE 8 210] est difficilement accessible in situ alors que la mesure d’une réflectivité bidirectionnelle avec une seule direction d’éclairement i0 et de mesure j0 est concevable.

Nota :

l’indice « F.D. » est rajouté à l’écriture classique de la réflectivité bidirectionnelle pour rappeler qu’il s’agit, pour chaque direction, de la valeur discrète d’une fonction de distribution.

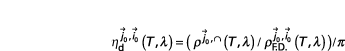
Il convient alors d’introduire ce terme dans l’équation (). Pour ce faire, un facteur dit « de diffusion » ηd, est défini par :

...

Cet article est réservé aux abonnés.
Il vous reste 95% à découvrir.

Pour explorer cet article
Téléchargez l'extrait gratuit

Vous êtes déjà abonné ?Connectez-vous !


L'expertise technique et scientifique de référence

La plus importante ressource documentaire technique et scientifique en langue française, avec + de 1 200 auteurs et 100 conseillers scientifiques.
+ de 10 000 articles et 1 000 fiches pratiques opérationnelles, + de 800 articles nouveaux ou mis à jours chaque année.
De la conception au prototypage, jusqu'à l'industrialisation, la référence pour sécuriser le développement de vos projets industriels.

Cet article fait partie de l’offre

Mesures physiques

(118 articles en ce moment)

Cette offre vous donne accès à :

Une base complète d’articles

Actualisée et enrichie d’articles validés par nos comités scientifiques

Des services

Un ensemble d'outils exclusifs en complément des ressources

Des modules pratiques

Opérationnels et didactiques, pour garantir l'acquisition des compétences transverses

Doc & Quiz

Des articles interactifs avec des quiz, pour une lecture constructive

ABONNEZ-VOUS

Lecture en cours
Présentation de la méthode
Sommaire
Sommaire

BIBLIOGRAPHIE

  • (1) - RUFFINO (G.) -   Incresing precision in two-colour pyrometry  -  Temperature Measurement: Inst. Phys. Conf. Ser, 26, p. 264-272 (1975).

  • (2) - TRAVERSE (J.P.), BADIE (J.M.) -   Mesure des températures par pyrométrie optique à l’aide d’un rayonnement laser  -  Éd. Ampère, Paris, p. 9-14 (1976).

  • (3) - MURRAY (T.P.) -   Polaradiometer – A new instrument for temperature measurements  -  Rev. Sci. Instrum., 38, p. 791-798 (1967).

  • (4) - COATES (T.B.) -   Multi-wavelength Pyrometry  -  Metrologia, 17, p. 103-109 (1981).

  • (5) - KUNZ (H.) -   On the state of ratio pyrometry with laser absorption measurements  -  Temperature Measurement: Inst. Phys. Conf. Ser, 26, p. 273-277 (1975).

  • (6) - HERVÉ (P.) et al -   Radiométrie L'ultraviolet  -  Rev. pratique...

Cet article est réservé aux abonnés.
Il vous reste 95% à découvrir.

Pour explorer cet article
Téléchargez l'extrait gratuit

Vous êtes déjà abonné ?Connectez-vous !


L'expertise technique et scientifique de référence

La plus importante ressource documentaire technique et scientifique en langue française, avec + de 1 200 auteurs et 100 conseillers scientifiques.
+ de 10 000 articles et 1 000 fiches pratiques opérationnelles, + de 800 articles nouveaux ou mis à jours chaque année.
De la conception au prototypage, jusqu'à l'industrialisation, la référence pour sécuriser le développement de vos projets industriels.

Cet article fait partie de l’offre

Mesures physiques

(118 articles en ce moment)

Cette offre vous donne accès à :

Une base complète d’articles

Actualisée et enrichie d’articles validés par nos comités scientifiques

Des services

Un ensemble d'outils exclusifs en complément des ressources

Des modules pratiques

Opérationnels et didactiques, pour garantir l'acquisition des compétences transverses

Doc & Quiz

Des articles interactifs avec des quiz, pour une lecture constructive

ABONNEZ-VOUS