Présentation

Article

1 - TRANSFORMÉE DE FOURIER. TFD. FFT

2 - SCHÉMA DE PRINCIPE D’UN ANALYSEUR FFT

3 - TRONCATURE DU SIGNAL ET UTILISATION DE FENÊTRES DE PONDÉRATION

4 - APPLICATION DE LA TRANSFORMATION DE FOURIER EN ANALYSE DU SIGNAL

5 - ANALYSE TEMPS-FRÉQUENCE DE SIGNAUX NON STATIONNAIRES

6 - LES ANALYSEURS DE SPECTRE : AUJOURD’HUI ET DEMAIN

7 - CONCLUSION

8 - GLOSSAIRE

Article de référence | Réf : R1156 v2

Troncature du signal et utilisation de fenêtres de pondération
Analyseurs de signaux à base de transformation de Fourier

Auteur(s) : Abdeldjalil OUAHABI

Date de publication : 10 août 2023 | Read in English

Pour explorer cet article
Télécharger l'extrait gratuit

Vous êtes déjà abonné ?Connectez-vous !

Sommaire

Présentation

RÉSUMÉ

Cet article traite de manière quasi exhaustive des avancées dans le domaine des analyseurs de signaux fondés sur la transformation de Fourier, tant en termes de méthodologie que de fonctionnalités.

En particulier, le principe de la FFT (Fast Fourier Transform) est revisité, l'utilisation de fenêtres de pondération ou d'analyse est étudiée en détail et l'analyse de Fourier de signaux déterministes, transitoires et aléatoires est rappelée. Cette analyse est étendue aux signaux non stationnaires en introduisant l'analyse conjointe dans le plan temps-fréquence.

Enfin, les analyseurs de signaux les plus courants et les plus performants sont présentés. La précision de la mesure et le compromis entre la résolution en temps et en fréquence sont également discutés.

Lire cet article issu d'une ressource documentaire complète, actualisée et validée par des comités scientifiques.

Lire l’article

Auteur(s)

  • Abdeldjalil OUAHABI : Professeur des universités - UMR 1253, iBrain, Inserm, université de Tours, France

INTRODUCTION

Les analyseurs de signaux basés sur la transformée de Fourier, parfois appelés de manière très réductrice « analyseurs de spectre », sont des instruments essentiels et en constante évolution. Ils sont utilisés pour analyser un signal à la fois dans le domaine temporel et dans le domaine fréquentiel, voire dans le domaine conjoint temps-fréquence. Ils peuvent également fournir d'autres informations telles que les fonctions d'autocorrélation et d'intercorrélation, la densité spectrale, la fonction de transfert et la réponse impulsionnelle d'un système, et mesurer certains paramètres utiles tels que les moyennes temporelles et statistiques, la dispersion, le rapport signal-bruit, la résolution temps-fréquence… Ils représentent l'un des segments les plus prometteurs du marché du test et de la mesure et affichent une croissance de près de 8 % par an. Cette croissance est soutenue par le besoin de bande passante dans diverses applications telles que les radars militaires et les télécommunications pour la technologie 5G, voire 6G.

Cet article traite de manière quasi exhaustive des avancées dans le domaine des analyseurs de signaux fondés sur la transformation de Fourier, tant en termes de méthodologie que de fonctionnalités. Il complète, met à jour et étend l’analyse classique de signaux à base de transformation de Fourier en tenant compte des récents développements des systèmes « analogiques » et numériques.

Une telle approche ouvre la voie à des outils de conception, de mesure, d’analyse et de traitement adaptés à la révolution du numérique et de l’intelligence artificielle que nous connaissons aujourd’hui.

En effet, sur le plan technologique mais aussi socio-économique, le monde a connu depuis 1996 – date de la parution de la première version de cet article –une véritable révolution du numérique avec l’explosion de l’utilisation d’Internet et les progrès exponentiels de l’informatique et de l’intelligence artificielle. Toutes les activités humaines ont connu des bouleversements sans précédent, que ce soit dans le domaine de la radio et la télévision, de la médecine, de l’industrie (industrie 4.0 et 4.1 et les prémisses de l’industrie 5.0) ou dans la mise en réseau planétaire des personnes et de toute organisation humaine, grâce aux nouvelles formes de communication telles que le courrier électronique ou e-mail, les réseaux sociaux, la messagerie instantanée, les blogs et la prolifération des sites web. La rupture technologique de ce siècle est sans doute liée à l’avènement d’Internet et ses multiples déclinaisons technologiques de la robotique intelligente avec la fameuse Sophia jusqu’à ChatGPT, ainsi qu’aux avancées fulgurantes des télécommunications, en particulier la téléphonie mobile qui passe de la première génération (1G) à la 5G avec comme horizon la 6G et ses possibilités insoupçonnées :

  • l’hologramme et la réalité virtuelle/augmentée ;

  • le débit des informations sans cesse croissant (jusqu’à 1 000 fois plus important que celui de la 5G) ;

  • la bande passante ou besoin en fréquences au-delà des ondes millimétriques (gigahertz) se focalisant désormais sur le spectre térahertz (radiations situées entre les micro-ondes et l’infrarouge) ;

  • son lien avec les objets connectés où tout sera connecté (Internet of Everything ou IoE).

Toute cette mutation en présence d’informations de plus en plus diverses et volumineuses (Big Data) requiert des besoins de mesure nouveaux, tant en termes de bande passante que de performances d’où la nécessité d’appareils de mesure, de développement et d’analyse qui répondent à ces exigences technologiques. C’est à ces défis que ce nouvel article sur les analyseurs des signaux à base de transformation de Fourier s’attelle à répondre.

Sur un plan purement opérationnel, les signaux et les systèmes peuvent être caractérisés de manière équivalente dans les domaines temporel et fréquentiel. Toutefois, selon l’application envisagée, un paramètre donné est généralement mis en évidence plus aisément dans un domaine que dans l’autre.

Cette dualité se retrouve dans les appareils de mesure classiques : l’analyseur de spectre est au domaine fréquentiel ce que l’oscilloscope est au domaine temporel.

Aujourd’hui, ces deux fonctions sont réalisées par un même appareil appelé parfois analyseur de signaux. De plus, ce type d’analyseur répond à l’exigence de représenter un signal de façon simultanée en temps et en fréquence : c’est la représentation conjointe temps-fréquence à base de transformée de Fourier, principe incontournable lorsqu’il s’agit d’analyser un signal présentant des non-stationnarités fréquentielles (la fréquence varie en fonction du temps) ou statistiques (sauts brusques, transitoires, moyenne variant au cours du temps…).

Aujourd’hui, les analyseurs de signaux peuvent monter jusqu’à des fréquences proches du térahertz et travailler en temps réel. Ils bénéficient d’une puissance jamais égalée en termes de performances et exploitent les dernières avancées de l’électronique analogique et du monde numérique.

Les grandeurs généralement fournies par les analyseurs numériques de signaux sont :

  • amplitude, phase spectrale ;

  • puissance, densité spectrale de puissance ;

  • densité spectrale d’énergie (transitoire) ;

  • autospectres, interspectres, fonctions de transfert, fonction de cohérence ;

  • représentation temporelle ;

  • représentation conjointe temps-fréquence ;

  • fonctions d’auto et d’intercorrélation ;

  • réponses impulsionnelles ;

  • analyse modale.

Cet article est réservé aux abonnés.
Il vous reste 93% à découvrir.

Pour explorer cet article
Téléchargez l'extrait gratuit

Vous êtes déjà abonné ?Connectez-vous !


L'expertise technique et scientifique de référence

La plus importante ressource documentaire technique et scientifique en langue française, avec + de 1 200 auteurs et 100 conseillers scientifiques.
+ de 10 000 articles et 1 000 fiches pratiques opérationnelles, + de 800 articles nouveaux ou mis à jours chaque année.
De la conception au prototypage, jusqu'à l'industrialisation, la référence pour sécuriser le développement de vos projets industriels.

VERSIONS

Il existe d'autres versions de cet article :

DOI (Digital Object Identifier)

https://doi.org/10.51257/a-v2-r1156


Cet article fait partie de l’offre

Bruit et vibrations

(95 articles en ce moment)

Cette offre vous donne accès à :

Une base complète d’articles

Actualisée et enrichie d’articles validés par nos comités scientifiques

Des services

Un ensemble d'outils exclusifs en complément des ressources

Des modules pratiques

Opérationnels et didactiques, pour garantir l'acquisition des compétences transverses

Doc & Quiz

Des articles interactifs avec des quiz, pour une lecture constructive

ABONNEZ-VOUS

3. Troncature du signal et utilisation de fenêtres de pondération

3.1 Troncature temporelle du signal

L’analyse spectrale par FFT repose sur le principe de la transformation « en bloc » de N valeurs temporelles du signal en N valeurs fréquentielles.

Nous nous intéressons dans ce paragraphe à l’influence sur la représentation spectrale obtenue du nombre de points de calcul N.

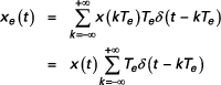
Soit x(t) le signal analogique à analyser, de transformée de Fourier X(f).

L’échantillonnage de x(t) est supposé respecter le théorème de Shannon et fournit :

de transformée de Fourier :

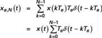
La tranche de signal prise en compte dans le calcul de la FFT est donnée par :

de transformée de Fourier :

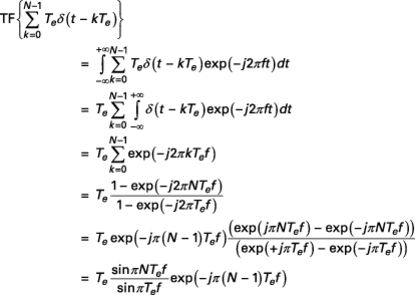
Cette relation s’obtient en utilisant la propriété de la transformée de Fourier (TF) :

où le symbole * désigne le produit de convolution.

Avec :

Enfin, la TFD revient à échantillonner, en fréquence, au pas

Cet article est réservé aux abonnés.
Il vous reste 94% à découvrir.

Pour explorer cet article
Téléchargez l'extrait gratuit

Vous êtes déjà abonné ?Connectez-vous !


L'expertise technique et scientifique de référence

La plus importante ressource documentaire technique et scientifique en langue française, avec + de 1 200 auteurs et 100 conseillers scientifiques.
+ de 10 000 articles et 1 000 fiches pratiques opérationnelles, + de 800 articles nouveaux ou mis à jours chaque année.
De la conception au prototypage, jusqu'à l'industrialisation, la référence pour sécuriser le développement de vos projets industriels.

Cet article fait partie de l’offre

Bruit et vibrations

(95 articles en ce moment)

Cette offre vous donne accès à :

Une base complète d’articles

Actualisée et enrichie d’articles validés par nos comités scientifiques

Des services

Un ensemble d'outils exclusifs en complément des ressources

Des modules pratiques

Opérationnels et didactiques, pour garantir l'acquisition des compétences transverses

Doc & Quiz

Des articles interactifs avec des quiz, pour une lecture constructive

ABONNEZ-VOUS

Lecture en cours
Troncature du signal et utilisation de fenêtres de pondération
Sommaire
Sommaire

BIBLIOGRAPHIE

  • (1) - MAX (J.), LACOUME (J.L.) -   Méthodes et techniques de traitement du signal et applications aux mesures physiques.  -  5e édition, Masson (2004).

  • (2) - MAX (J.), DIOT (M.), BIGRET (R.) -   Les analyseurs de spectre à FFT et les analyseurs de spectre à corrélation.  -  Traitement du signal, vol. 3, no 4-5 (1986).

  • (3) - OPPENHEIM (A.V.), SCHAFER (R.W.) -   Discrete – time signal processing.  -  3e édition. Prentice-Hall (2009).

  • (4) - OUAHABI (A.) -   Analyse spectrale paramétrique de signaux lacunaires.  -  Traitement du Signal, Volume 9, n° 2, pp. 181-191 (1992).

  • (5) - OUAHABI (A.), LACOUME (J.L.) -   New results in spectral estimation of decimated processes.  -  IEE Electronics Letters, Volume 27, n° 16, pp. 1430-1432 (1991).

  • (6)...

1 Outils logiciels

MATLAB 2019 – R2019b Compagnie Mathworks France.

https://fr.mathworks.com/products/new_products/release2019b.html

Python

https://www.python.org

HAUT DE PAGE

2 Annuaire

Constructeurs – Fournisseurs – Distributeurs (liste non exhaustive)

Anritsu

https://www.anritsu.com/en-gb/

Keysight

https://www.keysight.com/us/en/home.html

Rhode & Schwartz

https://www.rohde-schwarz.com/fr/accueil_48230.html

Tektronix

https://www.tek.com/fr

Thurlby Thandar instruments

https://www.aimtti.com/

HAUT DE PAGE

Cet article est réservé aux abonnés.
Il vous reste 95% à découvrir.

Pour explorer cet article
Téléchargez l'extrait gratuit

Vous êtes déjà abonné ?Connectez-vous !


L'expertise technique et scientifique de référence

La plus importante ressource documentaire technique et scientifique en langue française, avec + de 1 200 auteurs et 100 conseillers scientifiques.
+ de 10 000 articles et 1 000 fiches pratiques opérationnelles, + de 800 articles nouveaux ou mis à jours chaque année.
De la conception au prototypage, jusqu'à l'industrialisation, la référence pour sécuriser le développement de vos projets industriels.

Cet article fait partie de l’offre

Bruit et vibrations

(95 articles en ce moment)

Cette offre vous donne accès à :

Une base complète d’articles

Actualisée et enrichie d’articles validés par nos comités scientifiques

Des services

Un ensemble d'outils exclusifs en complément des ressources

Des modules pratiques

Opérationnels et didactiques, pour garantir l'acquisition des compétences transverses

Doc & Quiz

Des articles interactifs avec des quiz, pour une lecture constructive

ABONNEZ-VOUS