Présentation

Article

1 - BRUIT EN RÉCEPTION RADAR

2 - SIGNAL RADAR

3 - FILTRAGE OPTIMAL DU SIGNAL RADAR

4 - ÉQUATION DE PROPAGATION D'UN RADAR

5 - ÉQUATION DU RADAR

  • 5.1 - Exposé du problème de la détection
  • 5.2 - Détection d'une cible silencieuse
  • 5.3 - Détection d'une cible brouilleuse
  • 5.4 - Détection d'une cible dans un milieu brouilleur

6 - ASPECT PROBABILISTE DE LA RÉCEPTION RADAR

7 - EFFETS DUS À LA PROPAGATION DES ONDES RADAR

8 - RADARS DE POURSUITE

Article de référence | Réf : TE6655 v1

Effets dus à la propagation des ondes radar
Radars : principes de base - Paramètres de détection

Auteur(s) : Jacques DARRICAU

Relu et validé le 01 déc. 2022

Pour explorer cet article
Télécharger l'extrait gratuit

Vous êtes déjà abonné ?Connectez-vous !

Sommaire

Présentation

RÉSUMÉ

La « détection radar » est la capacité du radar à déceler la présence d'échos de cible dans un milieu perturbé par la présence de bruits, et à localiser ces cibles. Les notions de bases nécessaires à la quantification du bruit et du signal utile sont abordées. Elles constituent les bases théoriques strictement nécessaires et sont appliquées ici à l'étude du filtrage optimal d'un récepteur radar et à "l'équation du radar" en espace libre et en milieu brouilleur. Les radars de poursuite, avec un fonctionnement spécifique, permettent une localisation très précise des cibles radar grâce à des procédés particuliers de mesure de la distance et des angles.

Lire cet article issu d'une ressource documentaire complète, actualisée et validée par des comités scientifiques.

Lire l’article

Auteur(s)

  • Jacques DARRICAU : Ingénieur général de l'armement - Ingénieur ENICA et ENSAÉ

INTRODUCTION

Cet article concerne l'ensemble des phénomènes mis en jeu par la « détection radar », c'est-à-dire la capacité du radar à déceler la présence d'échos de cible dans un milieu perturbé par la présence de bruits, et à localiser ces cibles.

Il aborde, dans un premier temps, les notions de bases nécessaires à la quantification du bruit et du signal utile.

Pour ce qui concerne le bruit, sont abordées les notions de :

  • gain et bande passante d'un récepteur ;

  • température additionnelle de bruit ;

  • température de bruit et facteur de bruit d'une chaine de réception ;

  • caractéristiques fréquentielles et filtrage.

Pour ce qui concerne le signal utile, sont abordées les notions de :

  • expression mathématique du signal ;

  • expression temporelle des puissances et énergie ;

  • représentation vectorielle et complexe du signal ;

  • notion de signal complexe équivalent ;

  • spectre et filtrage, à partir d'une approche physique de la transformée de Fourier ;

  • examen de spectres typiques de signaux avec et sans porteuse ;

  • calcul spectral des puissances et énergie des signaux.

Ces notions simples constituent les bases théoriques strictement nécessaires à l'étude des performances des récepteurs radar, telle qu'elle sera abordée dans les articles « Détection des mobiles dans le clutter » et « Traitements avancés du signal radar », qui prendront la suite du présent article.

Ici, elles sont directement appliquées à l'étude du filtrage optimal d'un récepteur radar qui aborde successivement :

  • la problématique de la réception radar en présence de bruit ;

  • la recherche d'un filtre résolvant cette problématique et ses performances en terme de rapport signal sur bruit après filtrage.

Cela conduira à l'expression de « l'équation du radar » en étapes successives :

  • établissement de l'équation de propagation du signal entre le radar et l'objet à détecter ;

  • application de la notion de filtrage adapté à la détection en présence de bruit ;

  • équation du radar sur une cible silencieuse et brouilleuse ;

  • équation du radar en milieu brouilleur.

Est ensuite abordé l'aspect probabiliste de la détection radar, ce qui conduira à établir : des relations entre le rapport signal sur bruit à la sortie du récepteur, la probabilité de fausse alarme due au bruit résiduel et la probabilité de détection de la cible. Cela en exposant :

  • un rappel des notions de probabilité nécessaires à cette étude ;

  • l'étude du comportement aléatoire du bruit, conduisant à la fausse alarme ;

  • l'étude de divers comportements du signal et des traitements associés, conduisant à sa détection.

Ces études, centrées sur la présentation des phénomènes physiques, sont illustrées par de nombreux graphiques illustrant les phénomènes eux-mêmes, et les résultats obtenus. Elles sont complétées par un exposé pratique concernant le comportement des ondes dans le milieu naturel.

Enfin, est abordé le domaine particulier des radars de poursuite, qui permettent une localisation très précise des cibles radar grâce à des procédés particuliers :

  • de poursuite distance ;

  • de poursuite angulaire par « scanning » ;

  • de poursuite angulaire par « monopulse » ;

    en examinant dans chaque cas :

    • le principe de base du procédé,

    • le détail de la génération du signal d'erreur, conduisant à chiffrer la précision obtenue.

Des schémas synoptiques des radars de poursuite à « scanning » et « monopulse » illustrent l'organisation générale de ces radars.

Cet article est réservé aux abonnés.
Il vous reste 92% à découvrir.

Pour explorer cet article
Téléchargez l'extrait gratuit

Vous êtes déjà abonné ?Connectez-vous !


L'expertise technique et scientifique de référence

La plus importante ressource documentaire technique et scientifique en langue française, avec + de 1 200 auteurs et 100 conseillers scientifiques.
+ de 10 000 articles et 1 000 fiches pratiques opérationnelles, + de 800 articles nouveaux ou mis à jours chaque année.
De la conception au prototypage, jusqu'à l'industrialisation, la référence pour sécuriser le développement de vos projets industriels.

DOI (Digital Object Identifier)

https://doi.org/10.51257/a-v1-te6655


Cet article fait partie de l’offre

Technologies radars et applications

(81 articles en ce moment)

Cette offre vous donne accès à :

Une base complète d’articles

Actualisée et enrichie d’articles validés par nos comités scientifiques

Des services

Un ensemble d'outils exclusifs en complément des ressources

Des modules pratiques

Opérationnels et didactiques, pour garantir l'acquisition des compétences transverses

Doc & Quiz

Des articles interactifs avec des quiz, pour une lecture constructive

ABONNEZ-VOUS

Lecture en cours
Présentation

7. Effets dus à la propagation des ondes radar

L'environnement dans lequel le radar est placé a un effet important sur la propagation des ondes, et peut affecter la couverture du radar et la précision de ses mesures.

Dans le cas des ondes radar, qui se trouvent généralement dans la gamme métrique et centimétrique, les principaux phénomènes venant influer sur les performances du radar sont :

  • les réflexions sur la surface de la terre ;

  • la réfraction due à la non homogénéité de l'atmosphère ;

  • l'atténuation dans l'atmosphère.

Les estimations qui vont être faites traiteront de cas types, et les résultats obtenus donneront une valeur quantitative moyenne des effets étudiés.

D'autres phénomènes (onde de sol, réflexion ionosphérique) existent en ondes décamétriques.

7.1 Réflexion des ondes sur un sol plan réfléchissant

Considérons une antenne radar placée à une hauteur h1 au-dessus d'un sol plan réflecteur. L'onde émise pourra atteindre un point C donné en suivant deux chemins (figure 53) :

  • l'un direct, de l'aérien R au point C ;

  • l'autre indirect, de l'aérien R au point C après réflexion sur le sol.

    Du résultat de la combinaison des ondes directes et réfléchies dépendra l'intensité et la phase de l'onde au point C.

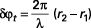
    Le déphasage dû au trajet est :

    Calculons r2 – r1 :

    D'où :

    Soit, en tenant compte d'un déphasage de « π » lors de la réflexion sur le sol :

    ...

Cet article est réservé aux abonnés.
Il vous reste 94% à découvrir.

Pour explorer cet article
Téléchargez l'extrait gratuit

Vous êtes déjà abonné ?Connectez-vous !


L'expertise technique et scientifique de référence

La plus importante ressource documentaire technique et scientifique en langue française, avec + de 1 200 auteurs et 100 conseillers scientifiques.
+ de 10 000 articles et 1 000 fiches pratiques opérationnelles, + de 800 articles nouveaux ou mis à jours chaque année.
De la conception au prototypage, jusqu'à l'industrialisation, la référence pour sécuriser le développement de vos projets industriels.

Cet article fait partie de l’offre

Technologies radars et applications

(81 articles en ce moment)

Cette offre vous donne accès à :

Une base complète d’articles

Actualisée et enrichie d’articles validés par nos comités scientifiques

Des services

Un ensemble d'outils exclusifs en complément des ressources

Des modules pratiques

Opérationnels et didactiques, pour garantir l'acquisition des compétences transverses

Doc & Quiz

Des articles interactifs avec des quiz, pour une lecture constructive

ABONNEZ-VOUS

Lecture en cours
Effets dus à la propagation des ondes radar
Sommaire
Sommaire

BIBLIOGRAPHIE

  • (1) - DARRICAU (J.), BLANCHARD (Y.) -   Histoire du radar dans le monde puis en France.  -  Revue PEGASE et revue de l'électricité et de l'électronique (2003).

  • (2) - DARRICAU (J.) -   Physique et théorie du radar.  -  Sodipe (1994).

  • (3) - BLANCHARD (Y.) -   Le radar 1904-2004 – Histoire d'un siècle d'innovations techniques et opérationnelles.  -  Ellipses, Thales (2004).

  • (4) - BARTON (D.K.) -   Radar system analysis.  -  Artech House.

  • (5) - CARPENTIER (M.H.) -   Le Radar.  -  Collection que sais-je (1987).

  • (6) - CARPENTIER (M.H.) -   Radars bases modernes.  -  Masson Paris, 5e édition (1984).

  • ...

DANS NOS BASES DOCUMENTAIRES

ANNEXES

  1. 1 Annuaire

    1 Annuaire

    Le constructeur de radar en France est THALES http://www.thalesgroup.com

    HAUT DE PAGE

    Cet article est réservé aux abonnés.
    Il vous reste 92% à découvrir.

    Pour explorer cet article
    Téléchargez l'extrait gratuit

    Vous êtes déjà abonné ?Connectez-vous !


    L'expertise technique et scientifique de référence

    La plus importante ressource documentaire technique et scientifique en langue française, avec + de 1 200 auteurs et 100 conseillers scientifiques.
    + de 10 000 articles et 1 000 fiches pratiques opérationnelles, + de 800 articles nouveaux ou mis à jours chaque année.
    De la conception au prototypage, jusqu'à l'industrialisation, la référence pour sécuriser le développement de vos projets industriels.

    Cet article fait partie de l’offre

    Technologies radars et applications

    (81 articles en ce moment)

    Cette offre vous donne accès à :

    Une base complète d’articles

    Actualisée et enrichie d’articles validés par nos comités scientifiques

    Des services

    Un ensemble d'outils exclusifs en complément des ressources

    Des modules pratiques

    Opérationnels et didactiques, pour garantir l'acquisition des compétences transverses

    Doc & Quiz

    Des articles interactifs avec des quiz, pour une lecture constructive

    ABONNEZ-VOUS